Todo
Apuntes
Ejercicios
Exámenes
Prácticas
Test
Trabajos
chevron_left
chevron_right
Anónimo

@Anónimo

apuntes

-

Temas vegetal

He publicado nuevos apuntes de 2º Física II: Temas vegetal

TEMA-1-DIVERSIDAD-VEGETAL.pdf
TEMA-2-PROCARIOTAS-FOTOSINTETICOS-ALGAS-PROCARIOTAS.pdf
TEMA-3-ALGAS-EUCARIOTAS-I.pdf
TEMA-4-ALGAS-EUCARIOTAS-II.pdf
TEMA-5-BRIOFITAS.pdf
TEMA-7PLANTAS-VASCULARES-SIN-SEMILLA.pdf

apuntes

-

Formulario completo física II

Formulario completo (algunos signos pueden variar con la situación)

WhatsApp-Image-2026-01-17-at-12.40.58.jpeg
WhatsApp-Image-2026-01-17-at-12.40.58-1.jpeg
WhatsApp-Image-2026-01-17-at-12.40.59.jpeg
WhatsApp-Image-2026-01-17-at-12.40.59-1.jpeg
WhatsApp-Image-2026-01-17-at-12.40.59-2.jpeg
WhatsApp-Image-2026-01-17-at-12.40.59-3.jpeg

He publicado nuevos ejercicios de 2º Física II: Ejercicios-Tema-1-Segunda-mitad-17-32.pdf

13 páginas

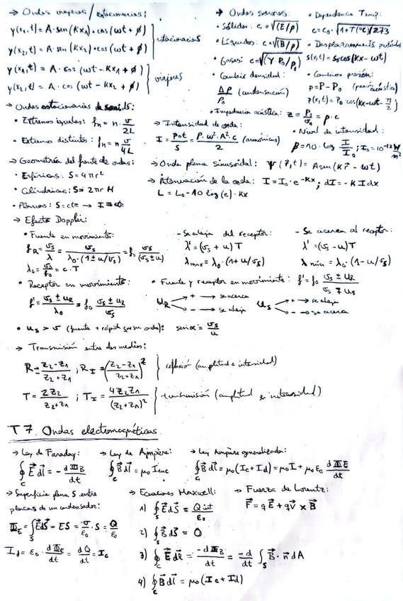
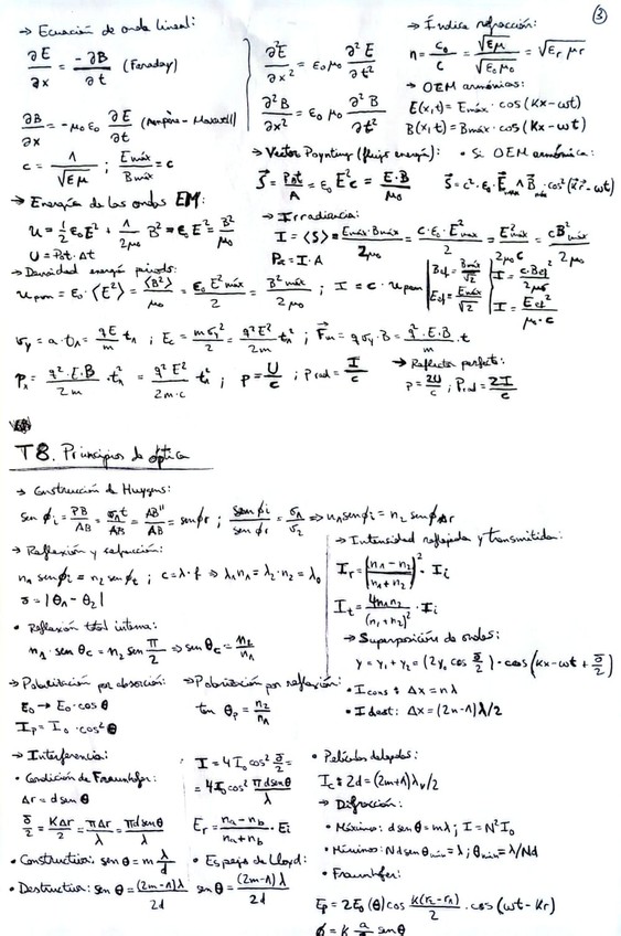
He publicado nuevos apuntes de 2º Física II: TEMA-8-PRINCIPIOS-DE-OPTICA.pdf

13 páginas

He publicado nuevos apuntes de 2º Física II: FORMULARIO-TEMA-7.pdf

1 página

He publicado nuevos apuntes de 2º Física II: FORMULARIO-TEMA-6.pdf

2 páginas

He publicado nuevos apuntes de 2º Física II: FORMULARIO-TEMA-5.pdf

1 página

apuntes

-

Ejercicios tema 3 + teoría

He publicado nuevos apuntes de 2º Física II: Ejercicios tema 3 + teoría

EJERCICIOS-1-10.-LEY-DE-OHM.pdf
EJERCICIOS-11-19.-FUENTES-FEM-CIRCUITOS-DC.pdf

apuntes

-

Ejercicios Tema 2

He publicado nuevos apuntes de 2º Física II: Ejercicios Tema 2

Ejercicios-1-6-Tema-2.pdf
Tema-2-Ejercicios-11-15-Expresiones-de-campo-y-diferencial-de-potencial.pdf
Ejercicios-16-26-Capacidad-y-circuitos.pdf

He publicado nuevos apuntes de 2º Física II: FORMULARIO-TEMA-3.pdf

1 página

He publicado nuevos apuntes de 2º Física II: FORMULARIO-TEMA-2.pdf

1 página

He publicado nuevos apuntes de 2º Física II: FORMULARIO-TEMA-1.pdf

1 página

He publicado nuevos apuntes de 2º Física II: Formulas-tema-8.pdf

1 página

He publicado nuevos apuntes de 2º Física II: TEMA-7-ONDAS-ELECTROMAGNETICAS.pdf

12 páginas

He publicado nuevos apuntes de 2º Física II: TEMA-6-ONDAS.pdf

13 páginas

He publicado nuevos apuntes de 2º Física II: Formulas-tema-7.pdf

1 página

He publicado nuevos practicas de 2º Física II: Lab-Pr2-Balanza-de-corriente.pdf

9 páginas

He publicado nuevos practicas de 2º Física II: LAB1LeyOhm.pdf

8 páginas

He publicado nuevos apuntes de 2º Física II: Formulas-tema-6.pdf

1 página

He publicado nuevos apuntes de 2º Física II: TEMA-5-INDUCCION-MAGNETICA.pdf

12 páginas

He publicado nuevos practicas de 2º Física II: PRACTICA-1.pdf

12 páginas

He publicado nuevos apuntes de 2º Física II: Formulas.-Tema-5.pdf

1 página

He publicado nuevos ejercicios de 2º Física II: Ejercicios-Tema-2-Primera-mitad-(1-17).pdf.pdf

14 páginas

He publicado nuevos apuntes de 2º Física II: TEMA-4-EL-CAMPO-ELECTRICO.pdf

13 páginas

He publicado nuevos ejercicios de 2º Física II: Ejercicios-Tema-1-Primera-mitad-(1-16).pdf.pdf

13 páginas

He publicado nuevos apuntes de 2º Física II: ResumenteoriaFisicaII.pdf

13 páginas

He publicado nuevos ejercicios de 2º Física II: Ejercicios-Tema-3.pdf

13 páginas

He publicado nuevos apuntes de 2º Física II: TEMA-3-CIRCUITOS-ELECTRICOS.pdf

10 páginas

He publicado nuevos apuntes de 2º Física II: TEMA-2-POTENCIAL-ELECTRICO-Y-CONDENSADORES.pdf

13 páginas

He publicado nuevos apuntes de 2º Física II: formulas-fisica-II-tema-3.pdf

1 página

He publicado nuevos apuntes de 2º Física II: Formulas-tema-2.pdf

2 páginas
Anónimo

@Anónimo

Cuestionario del Tema 2 de Condensadores y potencial eléctrico.

4 páginas

He publicado nuevos apuntes de 2º Física II: Formulas-Tema-2.pdf

1 página

He publicado nuevos apuntes de 2º Física II: Formulas-Tema-1.pdf

1 página

Ejercicios del 1 al 10 de Tema 1 de Fisica II relacionados con la Ley de coulomb y su aplicación

10 páginas

He publicado nuevos apuntes de 2º Física II: Tema-1-Fisica-II-Con-ejemplos-Ley-de-gauss-comprimido-comprimido.pdf

17 páginas

He publicado nuevos apuntes de 2º Física II: Fisica-II-Tema-1.pdf

6 páginas

Actividades evaluables de clase

2 páginas

Preguntas corregidas test final del tema 1

4 páginas

He publicado nuevos apuntes de 2º Física II: TEMA-1-EL-CAMPO-ELECTROESTATICO.pdf

9 páginas

apuntes

-

Ejercicios

He publicado nuevos apuntes de 2º Física II: Ejercicios

Solucion-examenes-wuolah.pdf

apuntes

-

Apuntes por temas

He publicado nuevos apuntes de 2º Física II: Apuntes por temas

Campo-electrostatico.pdf
Potencial-electrico-y-condensadores.pdf
Circuitos-electricos.pdf
Campo-magnetico.pdf

practicas

-

Prácticas laboratorio

He publicado nuevos practicas de 2º Física II: Prácticas laboratorio

LAB1-FIS.pdf
LAB2-FIS.pdf

He publicado nuevos examenes de 2º Física II: Examen-Convocatoria-Septiembre-2025-FISICA-II.pdf

3 páginas

apuntes

-

Apuntes Física II

Están los temas del 1 al 5.

Tema-1.-Campo-electrostatico.pdf
Tema-2.-Condensadores-y-corriente-electrica.pdf
Tema-3.-Campo-magnetico.pdf
Tema-4.-Induccion-magnetica.pdf
Tema-5.-Ondas-mecanicas.pdf

He publicado nuevos examenes de 2º Física II: Recopilatorio-de-Preguntas-Teoricas-de-Examenes.pdf

13 páginas

He publicado nuevos ejercicios de 2º Física II: Ejercicios-de-CLASIFICA-FISICA-II.pdf

27 páginas

He publicado nuevos examenes de 2º Física II: Examen-Convocatoria-Junio-2025-FISICA-II.pdf

2 páginas

He publicado nuevos examenes de 2º Física II: Examen-Convocatoria-Febrero-2025-FISICA-II.pdf

2 páginas
Anónimo

@Anónimo

He publicado nuevos test de 2º Física II: TEST-FINAL-TEMA-8-fis-ii.pdf

2 páginas

saque notazaaa con estos apuntes

23 páginas
Anónimo

@Anónimo

He publicado nuevos examenes de 2º Física II: EXAMEN-FIS-FEBRERO-2025.pdf

1 página

He publicado nuevos apuntes de 2º Física II: TEORIA-PARA-EL-EXAMEN-FIS-II.pdf

9 páginas

He publicado nuevos apuntes de 2º Física II: Tema-3-FIS-II.pdf

8 páginas

He publicado nuevos apuntes de 2º Física II: Tema-1-FIS-II.pdf

7 páginas

He publicado nuevos apuntes de 2º Física II: Tema-2-FIS-II.pdf

9 páginas

He publicado nuevos ejercicios de 2º Física II: Ejercicios-Tema-7-Optica.pdf

2 páginas
Anónimo

@Anónimo

He publicado nuevos apuntes de 2º Física II: Recopilacion-clasificas-resueltos.pdf

32 páginas

apuntes

-

Ejercicios Física II

He publicado nuevos apuntes de 2º Física II: Ejercicios Física II

Fisica-II-Ejercicios-TEMA-1.pdf
Fisica-II-Ejercicios-TEMA-2-Parte-1.pdf
Fisica-II-Ejercicios-TEMA-2-Parte-2.pdf
Fisica-II-Ejercicios-TEMA-3.pdf
Fisica-II-Ejercicios-TEMA-4-Parte-1.pdf
Fisica-II-Ejercicios-TEMA-5-Parte-1.pdf

apuntes

-

Apuntes física II

He publicado nuevos apuntes de 2º Física II: Apuntes física II

Tema-1.-Campo-electrostatico.pdf
Tema-2.-Potencial-electrico.pdf
Tema-3.-Circuitos-electricos.pdf
Tema-4.-Campo-magnetico.pdf
Tema-5.-Induccion-magnetica.pdf
Tema-6.-Ondas.pdf