chevron_left
chevron_right
Todo
Apuntes
Ejercicios
Exámenes
chevron_left
chevron_right
Anónimo

@Anónimo

Apuntes y ejercicios (la primera parte copiados del profesor, la segunda en rosa, son de cara al examen, bien estructurados)

46 páginas

He publicado nuevos apuntes de 1º Física II: T1-i-T2.pdf

1 página

He publicado nuevos apuntes de 1º Física II: Tema-1-Temperatura-i-calor-Confort-higrotermic-Fisica-II.pdf

12 páginas

He publicado nuevos apuntes de 1º Física II: FISICA-II-Test-Radiacio.pdf

4 páginas

He publicado nuevos examenes de 1º Física II: segon-parcial.pdf

2 páginas

apuntes

-

FISICA II

CHULETARIOS CON TODO LOS FUNDAMENTAL

CHULETARIO-FISICA-II-TEMPERATURA-Y-CALOR.pdf
CHULETARIO-FISICA-II-PSICROMETRIA.pdf
CHULETARIO-FISICA-II-TRANSFERENCIA-DE-ENERGIA.pdf

He publicado nuevos examenes de 1º Física II: Parcial-1-Fisica-II.pdf

2 páginas

He publicado nuevos examenes de 1º Física II: Examen-Parcial-1-Fisica-II.pdf

2 páginas

Apuntes hechos a mano con imágenes del PDF de clase

13 páginas

He publicado nuevos apuntes de 1º Física II: Tema-1-fisica-II.pdf

12 páginas

He publicado nuevos apuntes de 1º Física II: Tema-123-fisica-II.pdf

13 páginas
Anónimo

@Anónimo

apuntes

-

física II

He publicado nuevos apuntes de 1º Física II: física II

Tema-5-Prof.-Giulia-De-Rosi-Grupo-T2.pdf
PROBLEMES-DE-FISICA-II-2023-2024-castellano.pdf
ejercicios-fisica-II-t1-8.odt
Tema-1.1-Prof.-Giulia-De-Rosi-Grupo-T2.pdf

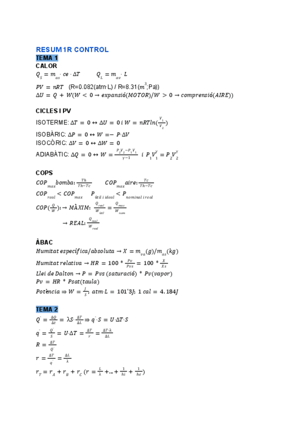
He publicado nuevos apuntes de 1º Física II: formulari-fisica-II-1r-PARCIAL.jpg

Imagen

He publicado nuevos apuntes de 1º Física II: formulari-fisica-II-2n-PARCIAL.pdf

1 página

He publicado nuevos apuntes de 1º Física II: Fisica-2-Problemas-parcial-1.pdf

16 páginas

He publicado nuevos apuntes de 1º Física II: Fisica-2-P2.pdf

1 página

He publicado nuevos apuntes de 1º Física II: Fisica-2-Problemas-parcial-2.pdf

13 páginas

He publicado nuevos apuntes de 1º Física II: Preparcial-1-Fisica-2.pdf

3 páginas

He publicado nuevos examenes de 1º Física II: EXAMEN-FISICA-Parcial-II-M2.pdf

3 páginas

He publicado nuevos apuntes de 1º Física II: Fisica-2-parcial-1.pdf

10 páginas

He publicado nuevos apuntes de 1º Física II: PARCIAL 1: formulari.pdf

6 páginas

He publicado nuevos apuntes de 1º Física II: Examen-2023-Fisica-2.pdf

2 páginas

He publicado nuevos apuntes de 1º Física II: TEMA-1-FISICA.pdf

5 páginas

He publicado nuevos apuntes de 1º Física II: formulari-2n-parcial.pdf

3 páginas

He publicado nuevos apuntes de 1º Física II: FISICA-II-2n-PARCIAL-Laura-Girona.pdf

34 páginas

He publicado nuevos apuntes de 1º Física II: Tema-6-Illuminacio.pdf

27 páginas

He publicado nuevos apuntes de 1º Física II: Tema-5-Radiacio.pdf

16 páginas

He publicado nuevos apuntes de 1º Física II: Tema-4-Acustica.pdf

24 páginas

He publicado nuevos apuntes de 1º Física II: Tema-3-2-Ones-mecaniques.pdf

19 páginas

He publicado nuevos apuntes de 1º Física II: Tema-3-1-Vibracions.pdf

13 páginas

He publicado nuevos apuntes de 1º Física II: Tema-2-Propagacio-calor.pdf

18 páginas

He publicado nuevos apuntes de 1º Física II: Tema-12-Psicrometria.pdf

22 páginas

He publicado nuevos apuntes de 1º Física II: Tema-1-Temperatura-i-calor.pdf

28 páginas

He publicado nuevos apuntes de 1º Física II: formulari-segon-parcial-fisica-II.pdf

2 páginas

He publicado nuevos apuntes de 1º Física II: Tema-1.-Temperatura-i-Calor.pdf

8 páginas

He publicado nuevos apuntes de 1º Física II: Tema-2.-Propagacio-de-la-calor.-Aillamen.pdf

5 páginas

He publicado nuevos apuntes de 1º Física II: Tema-3.-Oscillacions-i-ones-mecaniques..pdf

7 páginas

apuntes

-

apunts 1r control fisica II

He publicado nuevos apuntes de 1º Física II: apunts 1r control fisica II

TEMA-1-PART-1.pdf
TEMA-1PART-2.pdf
TEMA-2.pdf
TEMA-3.pdf
resum-fisica-II-1r-parcial.pdf

He publicado nuevos ejercicios de 1º Física II: FISICA-II-Primer-parcial-Laura-Girona.pdf

30 páginas

He publicado nuevos ejercicios de 1º Física II: Problemes-T1-part-2-Abacs.pdf

5 páginas

He publicado nuevos ejercicios de 1º Física II: PROBLEMES-T1-parte-1.pdf

7 páginas

He publicado nuevos apuntes de 1º Física II: T1.-Temperatura-i-calor.pdf

4 páginas

He publicado nuevos apuntes de 1º Física II: PROBLEMES-DE-FISICA-II-2022-2023-castellano.pdf

24 páginas

He publicado nuevos examenes de 1º Física II: Examen-Mayo-2016.pdf

2 páginas

He publicado nuevos examenes de 1º Física II: Examen-Abril-2016.pdf

2 páginas

He publicado nuevos ejercicios de 1º Física II: PROBLEMES-DE-FISICA-II-2016-2017.pdf

32 páginas

He publicado nuevos examenes de 1º Física II: Examenfinal2016.pdf

2 páginas
Anónimo

@Anónimo

He publicado nuevos examenes de 1º Física II: 2nParcialFisicaII.pdf

1 página

He publicado nuevos apuntes de 1º Física II: Fisica-II-ArquitecturaExFormulas.pdf

14 páginas
Anónimo

@Anónimo

He publicado nuevos apuntes de 1º Física II: FISICA-II.pdf

57 páginas

He publicado nuevos apuntes de 1º Física II: Apuntes-Fisica-II1r-parcial-2-Quatri.pdf

4 páginas

He publicado nuevos apuntes de 1º Física II: fisicaIIT1.pdf

3 páginas
¡Estás al día!

¡Estás al día!

Has visto todos los archivos