chevron_left
chevron_right
Todo
Apuntes
Ejercicios
chevron_left
chevron_right

He publicado nuevos apuntes de 1º Física II: Tema-3.-Energia-de-campo-electrostatico.pdf

4 páginas

He publicado nuevos apuntes de 1º Física II: Tema-2.-Campo-electrico-en-presencia-de-aislantes-o-dielectricos.pdf

6 páginas

He publicado nuevos apuntes de 1º Física II: Tema-1.-Campo-Electrico-en-el-vacio.pdf

30 páginas

He publicado nuevos apuntes de 1º Física II: Tema-4.-Corriente-electrica-y-circuitos-de-corriente-continua.pdf

8 páginas
Anónimo

@Anónimo

apuntes

-

enunciados de problemas de clase

He publicado nuevos apuntes de 1º Física II: enunciados de problemas de clase

problemasconceptualesT6.pdf
boletinbloque4.pdf
problemasconceptualesT8.pdf
boletinbloque2.pdf
problemasconceptuales.pdf
problemasconceptualesT5.pdf
Anónimo

@Anónimo

ejercicios

-

Todos los seminarios

He publicado nuevos ejercicios de 1º Física II: Todos los seminarios

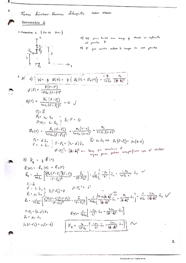
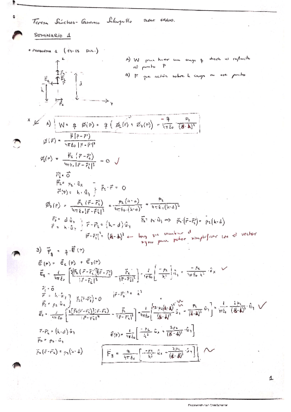
Fisica-ii-seminario-1.pdf
Fisica-ii-seminario-2.pdf
Fisica-ii-seminario-3.pdf
Fisica-ii-seminario-4.pdf

He publicado nuevos apuntes de 1º Física II: Examen-final-junio-2019-resuelto.pdf

4 páginas
¡Estás al día!

¡Estás al día!

Has visto todos los archivos