chevron_left
chevron_right
Todo
Apuntes
chevron_left
chevron_right

He publicado nuevos apuntes de 3º Física II: Examen-Parcial-III-Unidad-3-ESTEBAN-BURGOS-EDIN.pdf

10 páginas

He publicado nuevos apuntes de 3º Física II: SM14-CAMPOS-MAGNETICOS.pdf

7 páginas

He publicado nuevos apuntes de 3º Física II: SM13-CIRCUITOS-ELECTRICOS.pdf

12 páginas

He publicado nuevos apuntes de 3º Física II: SM12-CORRIENTES-CONSTANTES-LEY-DE-OHM.pdf

10 páginas

He publicado nuevos apuntes de 3º Física II: PARCIAL-DE-FIISICA-II-ESTEBAN-BURGOS-EDIN.pdf

5 páginas

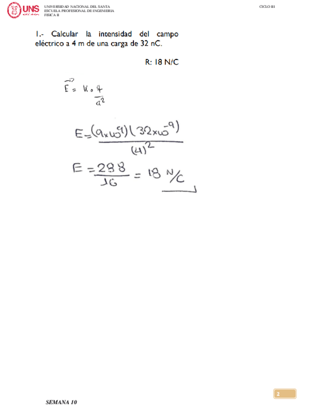
He publicado nuevos apuntes de 3º Física II: SM10-CAMPO-ELECTRICO.pdf

10 páginas

He publicado nuevos apuntes de 3º Física II: SM9-PRIMERA-Y-SEGUNDA-LEY-DE-LA-TERMODINAMICA.pdf

8 páginas

He publicado nuevos apuntes de 3º Física II: DINAMICA-DE-FLUIDOS-HIDRODINAMICA-SM3.pdf

13 páginas

He publicado nuevos apuntes de 3º Física II: HIDROSTATICA-ESTATICA-DE-FLUIDOS-SEMANA-2.pdf

11 páginas

He publicado nuevos apuntes de 3º Física II: PRACTICA-DE-FIISCA-II-ELASTICIDAD.pdf

13 páginas

apuntes

-

FISICA 2

He publicado nuevos apuntes de 3º Física II: FISICA 2

TEMPERATURA-Y-CALOR-FISICA-II-PRACTICA.pdf
PROBLEMAS-DE-LA-PRIMERA-Y-SEGUNDA-LEY-DE-LA-TERMODINAMICA-FISICA-II.pdf
SILABO-FISICA-IIAGRIND.pdf
PROBLEMAS-DE-TERMODINAMIOCA-FISICA-II.pdf
PRODUCTO-DE-FISICA-II-diapositivas.pdf
EJERCICIOS-HIDRODINAMICA-FISICA-II.pdf

He publicado nuevos apuntes de 3º Física II: PROYECTO-DE-INVESTIGACION-FISICA-1.pdf

34 páginas

apuntes

-

FISICA 1

He publicado nuevos apuntes de 3º Física II: FISICA 1

MOMENTO-Y-TORQUE-FISICA.pdf
Miniatura no disponible
Laboratorio-N7-MOVIMIENTO-DE-UN-PROYECTIL-FISICA.pdf
MOVIMIENTO-CIRCULAR-FISICA.pdf
PRACTICA1-FISICA-Y-MEDICION-1.pdf
Lab-01-Mediciones-y-Calculo-de-errores-FISICA-I.pdf
Lab-11-CONSERVACION-DE-LA-ENERGIA-MECANICA-FISICA.pdf

He publicado nuevos apuntes de 3º Física II: CINEMATICA-RECTILINEA-FISICA-1.pdf

14 páginas
¡Estás al día!

¡Estás al día!

Has visto todos los archivos