Física Matemática

chevron_left
chevron_right
Todo
Apuntes
Ejercicios
Exámenes
chevron_left
chevron_right

He publicado nuevos examenes de 3º Física Matemática: examen-prefinal-25-26.pdf

1 página

He publicado nuevos examenes de 3º Física Matemática: 2a-Convocatoria-2024-2025-resuelto.pdf

2 páginas

He publicado nuevos examenes de 3º Física Matemática: Examen-Prefinal-2025-Manana.pdf

4 páginas

He publicado nuevos examenes de 3º Física Matemática: Examen-Prefinal-2025.pdf

3 páginas

He publicado nuevos apuntes de 3º Física Matemática: FORMULARIO-FISICA-MATEMATICA-VALIDO-PARA-EXAMEN.pdf

2 páginas

Examen pre final del curso 2025-2026 resuelto por el profesor de mañana (José Manuel).

7 páginas

He publicado nuevos examenes de 3º Física Matemática: Examen-3a-Convocatoria-2024-2025-RESUELTO.pdf

5 páginas

He publicado nuevos examenes de 3º Física Matemática: Examen-1a-Convocatoria-2025-RESUELTO.pdf

4 páginas

He publicado nuevos examenes de 3º Física Matemática: Examen-Prefinal-2024-2025-RESUELTO.pdf

6 páginas

apuntes

-

Formulario

Formulario para el examen con el visto bueno del profesor

ProblemadeSturm-Liouvilleresumenblanco.pdf
ProblemadeSturm-Liouvilleresumencolor.pdf

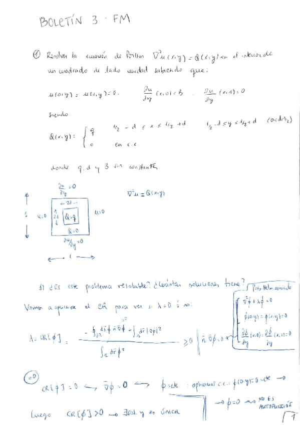
He publicado nuevos apuntes de 3º Física Matemática: BOLETIN3FM.pdf

64 páginas

He publicado nuevos ejercicios de 3º Física Matemática: BOLETIN4FM.pdf

18 páginas

Ejercicio resuelto de la tercera convocatoria de 2025

5 páginas

He publicado nuevos ejercicios de 3º Física Matemática: Boletin-tema-3.pdf

25 páginas

He publicado nuevos ejercicios de 3º Física Matemática: Boletin-tema-2.pdf

9 páginas

He publicado nuevos apuntes de 3º Física Matemática: TEMA-4-FISMAT.pdf

4 páginas

He publicado nuevos examenes de 3º Física Matemática: 3Convo20252026.pdf

1 página

examenes

-

Examenes 24/25

Examenes que se hicieron durante el curso 24-25 en el grupo de mañana

ExaFM.pdf
examen-15-enero-25.pdf
examen-3a-convo.pdf
prefinal.pdf

Resumen del Tema 4 a Latex

5 páginas

Resumen del Tema 3 en Latex

6 páginas

Resumen Tema 2 en Latex

7 páginas

He publicado nuevos examenes de 3º Física Matemática: PREFINAL-24-25-RESUELTO-POR-PROFESORA.pdf

3 páginas

He publicado nuevos examenes de 3º Física Matemática: EJERCICIOS-DE-EXAMENES.pdf

3 páginas

He publicado nuevos examenes de 3º Física Matemática: EJERCICIO LAPLACE EXAMEN.pdf.pdf

2 páginas

ejercicios

-

BOLETINES DE PROBLEMAS RESUELTOS

He publicado nuevos ejercicios de 3º Física Matemática: BOLETINES DE PROBLEMAS RESUELTOS

Boletin-1-Problemas-S-L-y-Helmholtz.pdf
Boletin-2-Problemas-Laplace-y-Poisson-parte-1.pdf
Boletin-2-Problemas-Laplace-y-Poisson-parte-2.pdf
Boletin-3-Problemas-calor-y-ondas.pdf

apuntes

-

APUNTES Y EJERCICIOS RESUELTOS EN CLASE

He publicado nuevos apuntes de 3º Física Matemática: APUNTES Y EJERCICIOS RESUELTOS EN CLASE

Tema-1-Introduccion.pdf
Tema-2-Problemas-de-S-L-y-Helmholtz-parte-1.pdf
Tema-2-Problemas-de-S-L-y-Helmholtz-parte-2.pdf
Tema-3-Problemas-Laplace-y-Poisson-parte-1.pdf
Tema-3-Problemas-Laplace-y-Poisson-parte-2.pdf
Tema-4-Problemas-calor-y-ondas.pdf

Resumen Tema 1

5 páginas

Apuntes propios hechos a LaTeX, del curso 2023/24. No están completos pero seguro que son de utilidad aún así

122 páginas

ejercicios

-

Todos los ejercicios

He publicado nuevos ejercicios de 3º Física Matemática: Todos los ejercicios

Problemas-TEMA-2.pdf
Problemas-Examenes.pdf
Problemas-TEMA-1.pdf
Problemas-TEMA-3.pdf

He publicado nuevos ejercicios de 3º Física Matemática: Boletin-3-COMPLETO.pdf

13 páginas

ejercicios

-

Boletín 2 COMPLETO

He publicado nuevos ejercicios de 3º Física Matemática: Boletín 2 COMPLETO

Boletin-2.-Parte-1.pdf
Boletin-2.-Parte-2.pdf

He publicado nuevos apuntes de 3º Física Matemática: RecetarioFISMAT.pdf

3 páginas

Todos los ejercicios corregidos

21 páginas

He publicado nuevos ejercicios de 3º Física Matemática: BOLETIN ASIGNATURA COMPLETA(FISICA MATEMÁTICA-2024/25).pdf

91 páginas

ejercicios

-

Boletines

He publicado nuevos ejercicios de 3º Física Matemática: Boletines

BOLETÍN_Laplace-y-Poisson-IV.pdf
BOLETÍN_Laplace-y-Poisson-I.pdf
BOLETÍN_ Laplace-y-Poisson-II.pdf
BOLETÍN_Laplace-y-Poisson-III.pdf

He publicado nuevos examenes de 3º Física Matemática: RESUELTO_1ª_CONVO_23-24.pdf

15 páginas

He publicado nuevos apuntes de 3º Física Matemática: Formulario-Fisica-Matematica.pdf

1 página

He publicado nuevos apuntes de 3º Física Matemática: formulario_fismat.pdf

1 página

Formulario para el examen en 1 carilla

1 página

He publicado nuevos examenes de 3º Física Matemática: Examenes-FISMAT-parte-2.pdf

29 páginas

He publicado nuevos examenes de 3º Física Matemática: Examenes-FISMAT-parte-1.pdf

29 páginas

He publicado nuevos apuntes de 3º Física Matemática: algunos-boletin-1.pdf

19 páginas

He publicado nuevos apuntes de 3º Física Matemática: Formulario-para-examen.pdf

1 página

He publicado nuevos apuntes de 3º Física Matemática: Esquema-Definitivo-de-EDPs.pdf

1 página

He publicado nuevos apuntes de 3º Física Matemática: Formulario-para-el-examen.pdf

2 páginas

He publicado nuevos apuntes de 3º Física Matemática: Teoria-Poisson-y-Lapace-2-dimensiones.pdf

5 páginas

He publicado nuevos apuntes de 3º Física Matemática: Teoria-Posisson-Laplace-Ondas-y-Calor-3D.pdf

2 páginas

He publicado nuevos apuntes de 3º Física Matemática: Teoria-Ondas-y-Calor-2-dimensiones.pdf

4 páginas

apuntes

-

APUNTES CLASE

He publicado nuevos apuntes de 3º Física Matemática: APUNTES CLASE

T1.-Intro-Ecs-Derivadas-Parciales.pdf
T2.-Sistemas-de-Coordenadas-Ortogonales.pdf
T4.-Laplace-y-Poisson.pdf
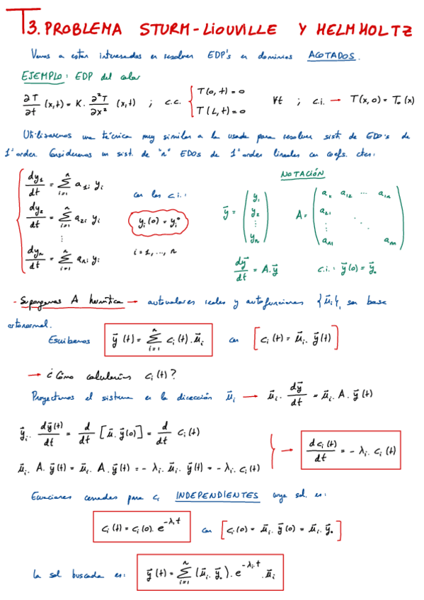
T3.-Sturm-Liouville-y-Helmholtz.pdf

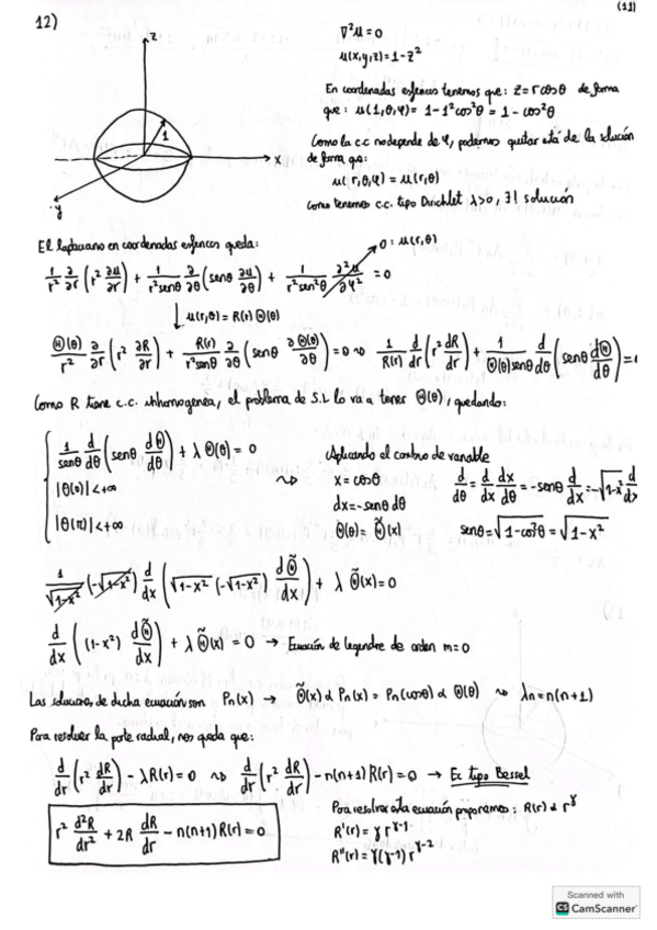
He publicado nuevos apuntes de 3º Física Matemática: Tema-3-El-problema-de-Sturm-Liouville-y-de-Helmholtz.pdf

27 páginas

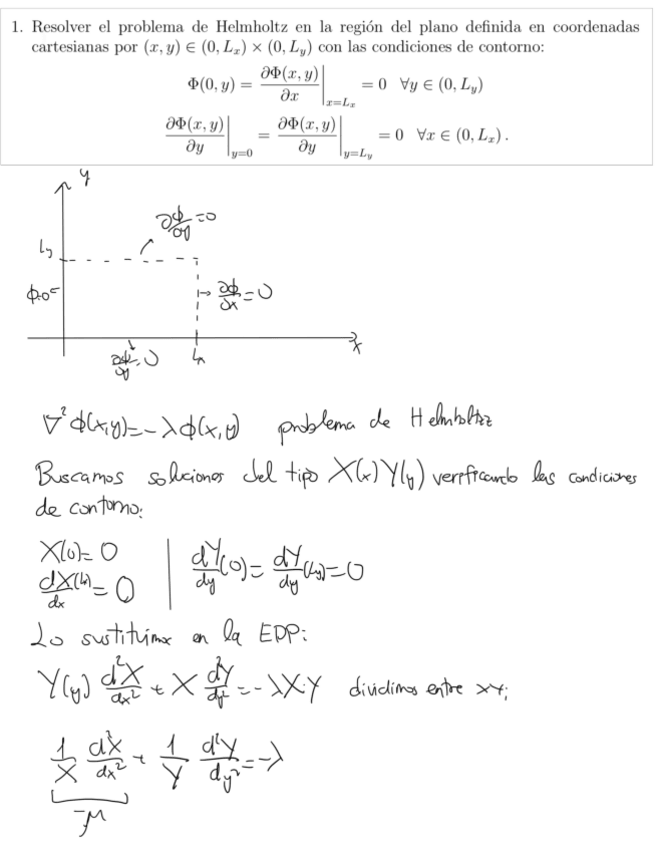
Solo problema Helmholtz

12 páginas

He publicado nuevos ejercicios de 3º Física Matemática: Boletin-2-FisMat.pdf

69 páginas

He publicado nuevos apuntes de 3º Física Matemática: Ejs-Tema-5.pdf

5 páginas

He publicado nuevos apuntes de 3º Física Matemática: Ejs-Tema-4.pdf

8 páginas

He publicado nuevos apuntes de 3º Física Matemática: Tema-1-Introduccion-a-las-ecuaciones-en-derivadas-parciales.pdf

15 páginas

He publicado nuevos apuntes de 3º Física Matemática: Tema-2-Sistemas-de-coordenadas-ortogonales.pdf

6 páginas

He publicado nuevos apuntes de 3º Física Matemática: Tema-1-parte-2-FM.pdf

14 páginas

He publicado nuevos apuntes de 3º Física Matemática: Tema-1-parte-1-FM.pdf

14 páginas

He publicado nuevos apuntes de 3º Física Matemática: Formulario-FM.pdf

2 páginas

He publicado nuevos examenes de 3º Física Matemática: Examen-prefinal-resuelto-202223.pdf

6 páginas