Todo
Apuntes
Ejercicios
Exámenes
Prácticas
Test
Trabajos
chevron_left
chevron_right

ESTO ES SOLO UN RESUMEN QUE HICE PARA ESTUDIAR APARA EL PARCIAL DE FÍSICA.

1 página

ejercicios

-

Problemas de Física

Son problemas copiados de clase y dos sacados de Chat gpt.

Circuitosclasepilar.pdf
fisicaproblemas.pdf
induccionelectromagnetica.pdf

Formulario y ejercicios complementarios sobre Corriente Alterna. Pueden ser útiles!

6 páginas

He publicado nuevos practicas de 1º Física: Seccion-8-Corriente-Alterna-GG1-Plantilla-y-Resuelto.docx

word

TODO lo de magnético e inducción.

28 páginas

Repaso Circuitos. OJO: Ejercicios no corregidos, puede ser que haya algunas cosas que puedan estar incorrectas.

16 páginas

He publicado nuevos apuntes de 1º Física: PROBLEMA-ELECTROSTATICA-TEMA-2.pdf

4 páginas

He publicado nuevos apuntes de 1º Física: Problemas-Energia-Y-Potencial.pdf

9 páginas

Problemas Gauss Física

6 páginas

Problemas Potencial Física

4 páginas

Tema 1. Teoría campos. Gradiente, rotacional, flujo…

9 páginas

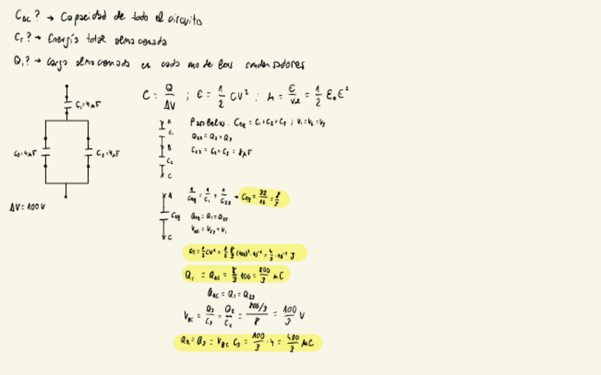
Boletín condensadores

9 páginas

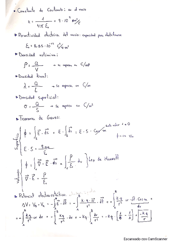
Apuntes curso de Física entero. Con formulas, definiciones y tipos de ejercicios clásicos. Nota: Hay un error en la página de energía almacenada en un condensador que cuando estoy deduciendo la fórmula y haciendo la integral pongo [q^2/q] y es [q^2/2], e

20 páginas

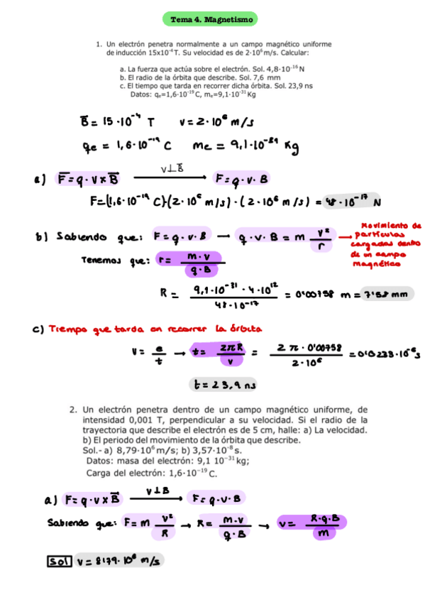
Apuntes y ejemplos del Tema 4 - Magnetismo.

8 páginas

apuntes

-

TEMAS RESUMIDOS (ESENCIAL)

He publicado nuevos apuntes de 1º Física: TEMAS RESUMIDOS (ESENCIAL)

T1-CAMPO-ELECTRICO.pdf
T3-CAPACIDAD-ELECTRICA.pdf
T4-CORRIENTE-ELECTRICA.pdf
T5-CAMPO-MAGNETICO.pdf
T6-INDUCCION-ELECTROMAGNETICA.pdf
T7-EQUILIBRIO-TERMODINAMICO.pdf

examenes

-

EXAMENES RESUELTOS

He publicado nuevos examenes de 1º Física: EXAMENES RESUELTOS

ENERO-2019-RESUELTO-2-PARTES.pdf
EXAMEN-ELECTRICIDAD-2020.pdf
EXAMEN-MAGNETISMO-2020.pdf

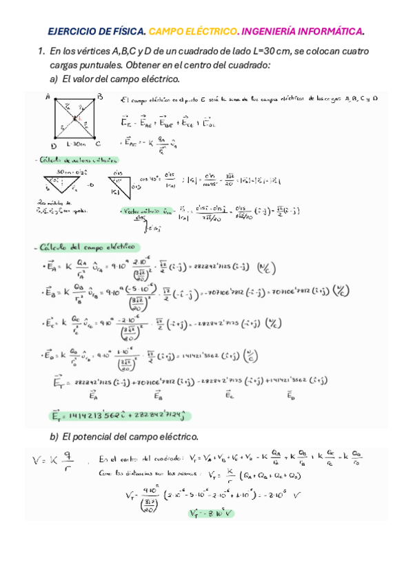
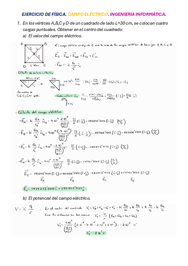
Ejercicios Resueltos del T2 de Electrostática. 1ª ley de Maxwell, Flujo, Fuerzas y campos eléctricos.

5 páginas

Ejercicios resueltos de condensadores.

8 páginas

Apuntes SOLO de condensadores. Ejercicios incluidos.

3 páginas

Apuntes de Corriente Eléctrica. (Electrocinética). Teoría + Circuitos resueltos.

12 páginas

Tema 2 de electroestática con ejercicios resueltos y explicados.

8 páginas

Apuntes y ejercicios del tema 1. (Vectores, Operador Nablas, Campos, Gauss, Campos electroestáticos...)

11 páginas

Mira bien el documento, te renta

3 páginas
Anónimo

@Anónimo

apuntes

-

Toda la Teoria

Teoría necesaria para aprobar el examen.

Teoria-Corriente-electrica.pdf
Teoria-de-Campos.pdf
Teoria-de-Electrostatica.pdf
Teoria-Magnetismo.pdf

He publicado nuevos apuntes de 1º Física: Apuntes-Fisica.pdf

15 páginas
Anónimo

@Anónimo

He publicado nuevos examenes de 1º Física: CUESTIONARIOS-FISICA.pdf

18 páginas
Anónimo

@Anónimo

He publicado nuevos examenes de 1º Física: CuestionarioMagnetismo-5.pdf

3 páginas
Anónimo

@Anónimo

He publicado nuevos examenes de 1º Física: CuestionarioMagnetismo-4.pdf

3 páginas
Anónimo

@Anónimo

He publicado nuevos examenes de 1º Física: CuestionarioMagnetismo-2.pdf

4 páginas
Anónimo

@Anónimo

He publicado nuevos examenes de 1º Física: CuestionarioMagnetismo-3.pdf

3 páginas
Anónimo

@Anónimo

He publicado nuevos examenes de 1º Física: Cuestionario-Magnetismo-1.pdf

3 páginas
Anónimo

@Anónimo

He publicado nuevos examenes de 1º Física: 1er-parcial-fisica-pares.pdf

1 página
Anónimo

@Anónimo

He publicado nuevos examenes de 1º Física: 1er-parcial-fisica-impares.pdf

1 página

He publicado nuevos apuntes de 1º Física: FORMULARIO-COMPLETO-FISICA.pdf

13 páginas

He publicado nuevos examenes de 1º Física: Examen-fisica-1er-parcial-2324.pdf

2 páginas

He publicado nuevos ejercicios de 1º Física: Ejercicios-repaso-fisica.pdf

7 páginas

He publicado nuevos ejercicios de 1º Física: Ejercicios-de-examen-fisica-2024.pdf

4 páginas

He publicado nuevos apuntes de 1º Física: Ecuaciones-de-Maxwell.pdf

3 páginas

tema 3;

6 páginas

tema 1;

3 páginas

tema 4;

6 páginas

tema 2;

4 páginas

He publicado nuevos apuntes de 1º Física: TODA-FiSICA-Formulas.pdf

17 páginas

GUIA DE 6 PASOS PARA RESOLVER CIRCUITOS DE THEVENIN

2 páginas

Incluye lo necesario de campo eléctrico, circuitos de corriente continua, magnetismo e inducción

10 páginas

Tema 1 y 2

6 páginas

apuntes

-

RESUMEN TEMAS

Completitos y aprobables (se aprueba se aprueba))

TEMA-1-ALGEBRA-VECTORIAL-Y-TEORIA-DE-CAMPOS.pdf
TEMA-2-ELECTROESTATICA.pdf
TEMA-3-MAGNETISMO.pdf
TEMA-4-CORRIENTE-ALTERNA.pdf

He publicado nuevos apuntes de 1º Física: FISICA.-REPASO-TEORICO-SEGUNDA-PARTE.pdf

10 páginas

He publicado nuevos apuntes de 1º Física: FISICA.-REPASO-TEORICO-PRIMERA-PARTE.pdf

33 páginas

He publicado nuevos apuntes de 1º Física: FISICA-REPASO-SEGUNDO-PARCIAL-ALBERTO.pdf

3 páginas

He publicado nuevos apuntes de 1º Física: FISICA-REPASO-COMPLETO-PRIMER-PARCIAL-PILAR.pdf

37 páginas

He publicado nuevos apuntes de 1º Física: Resumen-paraaprobarMAGNETISMO.pdf

14 páginas

He publicado nuevos apuntes de 1º Física: Tema5CorrienteAlterna.pdf

6 páginas

Formulario Primer Parcial Física Completo Curso 2023/24

28 páginas

Formulario Segundo Parcial Física Completos Curso 2023/24

26 páginas

Cuestionarios Primer Parcial Física Completos Curso 2023/24

11 páginas

ejercicios

-

Problemas 1er Parcial Física

Problemas Primer Parcial Física Completos Curso 2023/24

Problemas Efecto Joule Resistencias.pdf
Problemas Resolución de Circuitos.pdf
Problemas Energía y Potencial Electromagnético.pdf
Problemas Circuitos.pdf
Problemas Teorema de Gauss.pdf
Problemas Condensadores.pdf

He publicado nuevos apuntes de 1º Física: Ejercicio-fisica-informatica.pdf

2 páginas

He publicado nuevos apuntes de 1º Física: Formulario-Segundo-Parcial.pdf

9 páginas

He publicado nuevos ejercicios de 1º Física: Ejercicios-Moodle-COMPLETOS-Tema-5.-Corriente-alterna.pdf

7 páginas