Todo
Apuntes
Ejercicios
Exámenes
Prácticas
chevron_left
chevron_right

He publicado nuevos examenes de 1º Física: EXAMEN-PARCIAL-FISICA-2023.docx

word

ejercicios

-

Seminarios fisica

He publicado nuevos ejercicios de 1º Física: Seminarios fisica

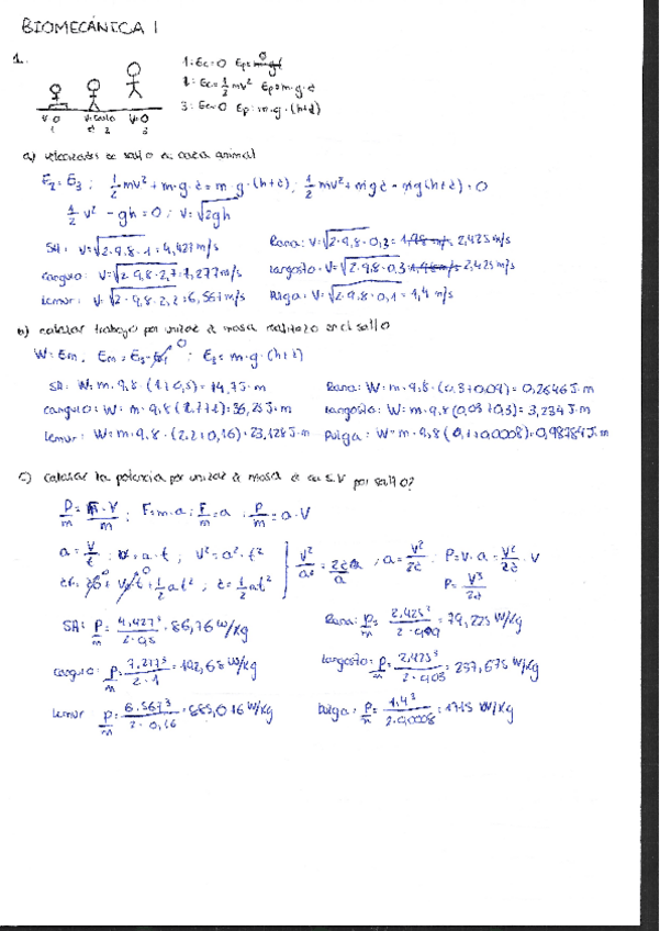
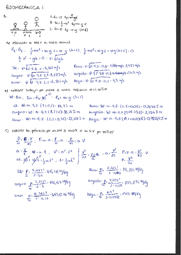
Biomecanica-1.pdf
Biomecanica-2.pdf
Biomecanica-3.pdf
seminario-bioelectricidad.pdf
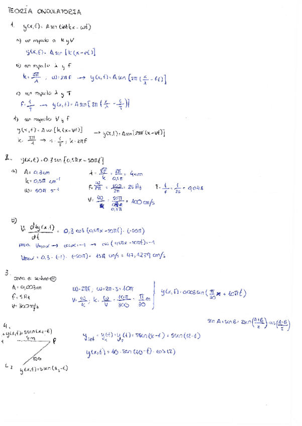
seminario-optica-y-ondas.pdf
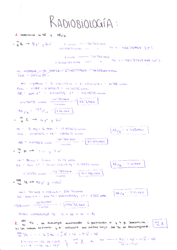
seminario-radiobiologia.pdf

ejercicios

-

Seminarios

He publicado nuevos ejercicios de 1º Física: Seminarios

termodinamica-1.pdf
termodinamica-2.pdf
biomecanica.pdf
fluidos-1.pdf
fluidos-2.pdf
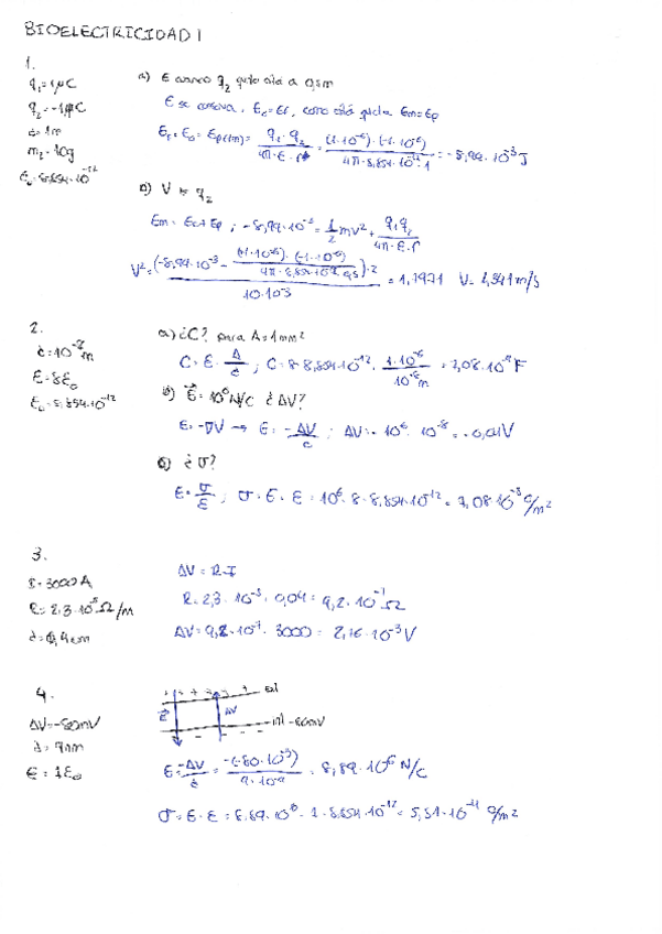
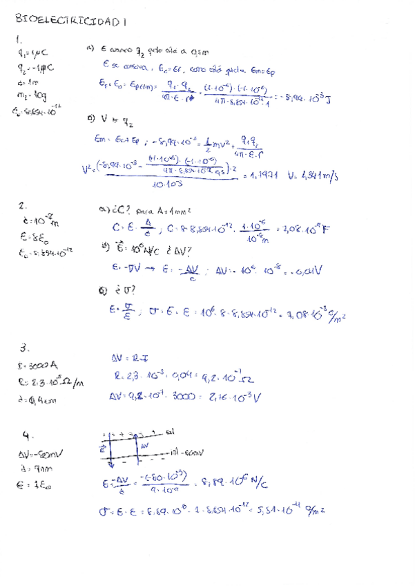
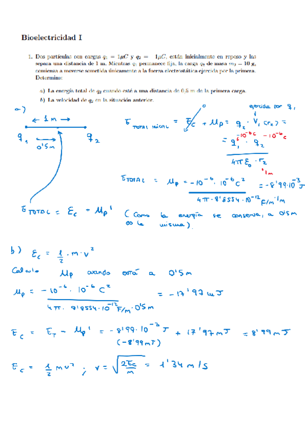
bioelectricidad-1.pdf

Apuntes Radiobiología

2 páginas

Apuntes óptica

4 páginas

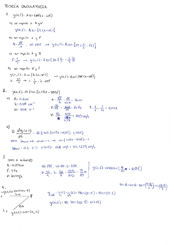
Apuntes teoría ondulatoria

1 página

Apuntes Bioelectricidad

2 páginas

Apuntes Biomecánica y Fluidos

2 páginas

Apuntes termodinámica 1 y 2

2 páginas

Apuntes seminario 1: ERRORES

2 páginas

apuntes

-

Fórmulas física

He publicado nuevos apuntes de 1º Física: Fórmulas física

Formulas-fisica-parcial-1.pdf
Formulas-ondas.pdf
Formulas-radiobiologia.pdf
Resumen-optica.pdf
Formulas-potencial-de-membrana.pdf

ejercicios

-

Problemas resueltos 23-24

Problemas explicados con todos los pasos intermedios para que se entienda bien

Termodinamica-de-la-vida-I.pdf
Termodinamica-de-la-vida-II.pdf
Biomecanica-II.pdf
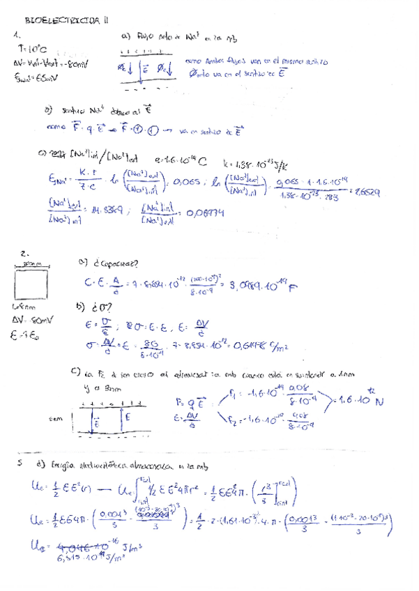
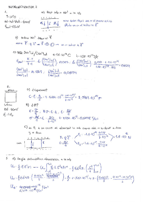
Bioelectricidad-II.pdf
Ondas.pdf
Optica-fisica.pdf

examenes

-

EXAMEN PRÁCTICAS FÍSICA

Nota: 9,4

Examen-fisica-practico.pdf

He publicado nuevos apuntes de 1º Física: RESUMEN-Fisica-teoria.pdf

64 páginas

ejercicios

-

Seminarios física (23-24)

He publicado nuevos ejercicios de 1º Física: Seminarios física (23-24)

seminarios-de-fisica.pdf

He publicado nuevos apuntes de 1º Física: formulas-temas-1-3.pdf

3 páginas

apuntes

-

Teoría física (23-24)

He publicado nuevos apuntes de 1º Física: Teoría física (23-24)

TEMA-1.pdf
TEMA-2.pdf
biomecanica-de-fluidos.pdf
locomocion-acuatica.pdf
locomocion-aerea.pdf
locomocion-humana.pdf

apuntes

-

Teoría

Curso 2023-2024

Teoria-Termodinamica-de-la-Vida-I-y-II.pdf
Teoria-Biomecanica.pdf
Teoria-Mecanica-de-Fluidos.pdf
Teoria-Bioelectricidad.pdf
Teoria-Potencial-de-membrana-y-de-accion.pdf
Teoria-Ondas-y-Optica.pdf

ejercicios

-

Ejercicios Seminarios

Curso 2023-2024

ejercicios-termodinamica-de-la-vida-I.pdf
Ejercicios-Termodinamica-de-la-Vida-I.pdf
ejercicios-termodinamica-de-la-vida-II.pdf
Ejercicios-Termodinamica-de-la-Vida-II.pdf
ejercicios-biomecanica-I.pdf
Ejercicios-Biomecanica-I.pdf

He publicado nuevos ejercicios de 1º Física: Ejercicios-Practica-1.pdf

2 páginas

practicas

-

Apuntes Práctica 1

Curso 2023-2024

Practica-1-Teoria.pdf

He publicado nuevos examenes de 1º Física: EXAMEN-RESUELTO-2024-MAYO.pdf

4 páginas

He publicado nuevos ejercicios de 1º Física: Ejercicios-membrana ondas y optica.pdf

2 páginas

He publicado nuevos examenes de 1º Física: EXAMEN-PRACTICO-FISICA-NOTA-10.pdf

7 páginas

He publicado nuevos apuntes de 1º Física: FORMULAS-FISICA.pdf

4 páginas

He publicado nuevos apuntes de 1º Física: EXAMEN-PRIMER-PARCIAL-2023.pdf

2 páginas

apuntes

-

SEMINARIOS física

He publicado nuevos apuntes de 1º Física: SEMINARIOS física

seminario-1.pdf
seminario-2.pdf
seminario-3.pdf
seminario-4.pdf
seminario-5.pdf
seminario-5-fisica.pdf

ejercicios

-

Seminarios fisica

He publicado nuevos ejercicios de 1º Física: Seminarios fisica

termo1-Bio.pdf
TermoVida-2.pdf
biomecanica-II-fluidos.pdf
Bioelectricidad11.pdf
bioelectricidad-11.pdf
biomecanica-I-3.pdf

apuntes

-

PRÁCTICAS física

He publicado nuevos apuntes de 1º Física: PRÁCTICAS física

Fisica.-Practica-2.pdf
Fisica.-Practica-3.pdf
Fisica.-Practica-4.pdf

apuntes

-

Teoría y prácticas

He publicado nuevos apuntes de 1º Física: Teoría y prácticas

Termodinamica.pdf
Practica-1-Tratamiento-de-datos-experi.pdf
Electricidad-y-potencial-de-membrana.pdf
Biomecanica-y-locomocion.pdf
Ondas.pdf
Mecanica-de-fluidos.pdf

ejercicios

-

SEMINARIOS FÍSICA

He publicado nuevos ejercicios de 1º Física: SEMINARIOS FÍSICA

SEMINARIOS-PRIMER-PARCIAL.pdf
SEMINARIOS-GLOBAL.pdf

He publicado nuevos apuntes de 1º Física: PR1-TRATAMIENTO-DE-DATOS.pdf

8 páginas

ejercicios

-

SEMINARIOS RESUELTOS 22-23

He publicado nuevos ejercicios de 1º Física: SEMINARIOS RESUELTOS 22-23

Seminarios-ondas.pdf
Seminarios-bioelectricidad.pdf
Seminarios-biomecanica-y-fluidos.pdf
Seminarios-termodinamica.pdf

He publicado nuevos apuntes de 1º Física: Areas-y-volumenes.pdf

1 página

ejercicios

-

Seminarios física 2021-22

He publicado nuevos ejercicios de 1º Física: Seminarios física 2021-22

Seminarios-termodinamica-fisica-2021-22.pdf
Seminarios-Radiobiologia-fisica-2021-22.pdf
Seminarios-biomecanica-fluidos-fisica-2021-22.pdf
Seminarios-biomecanica-fisica-2021-22.pdf
Seminarios-bioelectricidad-fisica-2021-22.pdf
Anónimo

@Anónimo

He publicado nuevos examenes de 1º Física: Parcial-1-con-formulas.pdf

1 página

apuntes

-

HOJAS DE FÓRMULAS CON DIAGRAMAS FÍSICA 22-23

He publicado nuevos apuntes de 1º Física: HOJAS DE FÓRMULAS CON DIAGRAMAS FÍSICA 22-23

TERMODINAMICA-DE-LA-VIDA.pdf
BIOMECANICA.pdf
FLUIDOS.pdf
BIOELECTRICIDAD.pdf
ONDAS--OPTICA--DIAGRAMAS-ESPEJOS.pdf

ejercicios

-

SEMINARIOS (Año 22-23)

He publicado nuevos ejercicios de 1º Física: SEMINARIOS (Año 22-23)

Teoria-ondulatoria-y-3ejs-Ondas-I.pdf
Termodinamica-I.pdf
Termodinamica-II.pdf
Bioelectricidad-I.pdf
Bioelectricidad-II.pdf
Biomecanica-I.pdf

apuntes

-

TEORÍA (Año 22-23)

He publicado nuevos apuntes de 1º Física: TEORÍA (Año 22-23)

TEMA-9-POTENCIAL-DE-MEMBRANA.pdf
TEMA-10-POTENCIAL-DE-ACCION.pdf
TEMA-11-ONDAS.pdf
TEMA-12-OPTICA-GEOMETRICA.pdf
FORMULARIO.pdf
TEMA-1-TERMODINAMICA-DE-LA-VIDA.pdf

apuntes

-

teoría 2º parcial

He publicado nuevos apuntes de 1º Física: teoría 2º parcial

tema4-ondas.pdf
tema5-optica-geometrica.pdf
tema6-radiobiologia.pdf

ejercicios

-

seminarios 2º parcial

He publicado nuevos ejercicios de 1º Física: seminarios 2º parcial

seminario5-ondas-y-optica.pdf
seminario6-optica-geometrica.pdf
seminario7-radiobiologia.pdf

He publicado nuevos examenes de 1º Física: 1-parcial-fisica.pdf

2 páginas

He publicado nuevos practicas de 1º Física: practica1.pdf

3 páginas

He publicado nuevos examenes de 1º Física: examen-practicas.pdf

3 páginas

ejercicios

-

seminarios 1º parcial

He publicado nuevos ejercicios de 1º Física: seminarios 1º parcial

seminario1-termodinamica.pdf
seminario2-biomecanica.pdf
seminario3-fluidos.pdf
seminario4-bioelectricidad.pdf

apuntes

-

teoría 1º parcial

He publicado nuevos apuntes de 1º Física: teoría 1º parcial

tema1-termodinamica.pdf
tema2-biomecanica.pdf
tema2-fluidos.pdf
tema2-locomocion.pdf
tema3-bioelectricidad.pdf

apuntes

-

Seminarios física

He publicado nuevos apuntes de 1º Física: Seminarios física

Bioelectricidad-I.pdf
Biomecanica-I-y-II.pdf
Ondas-y-optica.pdf
Optica-geometrica.pdf
Radiobiologia.pdf
Termodinamica-de-la-vida-I.pdf

apuntes

-

Teoría física

He publicado nuevos apuntes de 1º Física: Teoría física

Biomecanica-fluidos.pdf
Biomecanica.pdf
Corriente-electrica.pdf
Fundamentos-de-electricidad.pdf
Locomocion-acuatica.pdf
Locomocion-humana.pdf