chevron_left
chevron_right
Todo
Apuntes
Ejercicios
Exámenes
Otros
Prácticas
chevron_left
chevron_right
Anónimo

@Anónimo

He publicado nuevos ejercicios de 1º Física: E1-Moviment-ciclista-en-velodrom.pdf

1 página
Anónimo

@Anónimo

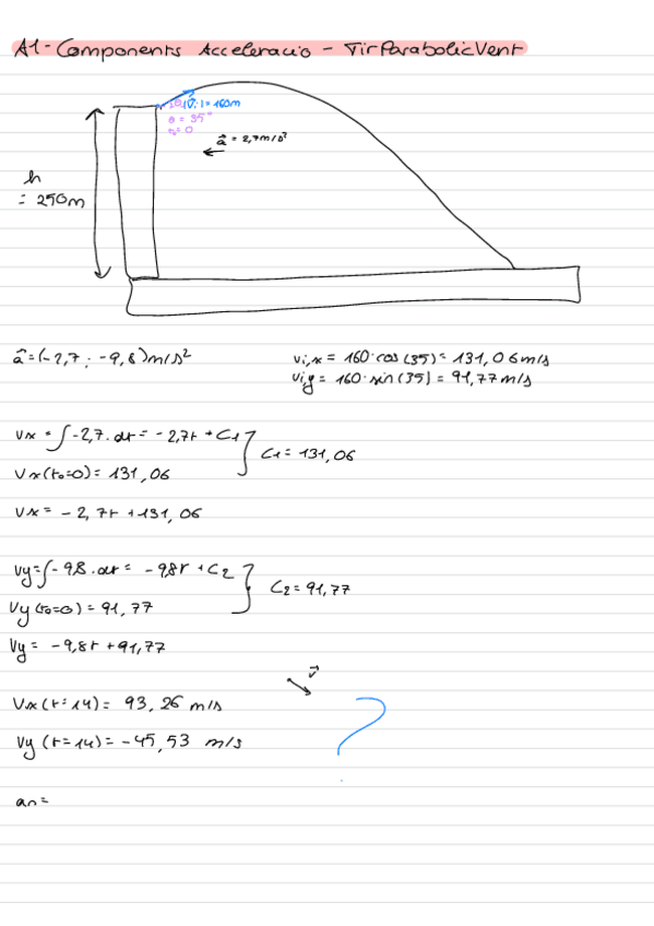
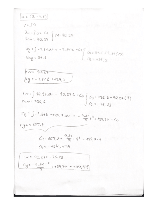
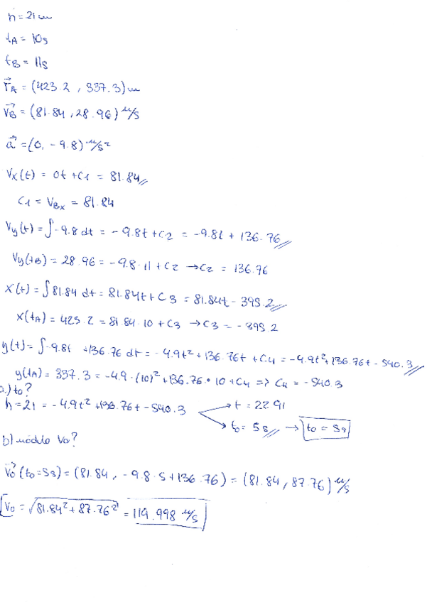
He publicado nuevos ejercicios de 1º Física: E1-Tir-parabolic-amb-GPS.pdf

2 páginas
Anónimo

@Anónimo

He publicado nuevos ejercicios de 1º Física: E7-Ciclotro.pdf

2 páginas
Anónimo

@Anónimo

He publicado nuevos ejercicios de 1º Física: E5-Esfera-amb-forat-concentric.pdf

1 página
Anónimo

@Anónimo

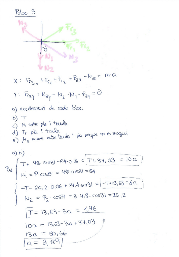
He publicado nuevos ejercicios de 1º Física: E2-Pla-inclinat-Dos-nlocs-amb-corda-i-politja-01.pdf

1 página

He publicado nuevos ejercicios de 1º Física: Problemas-fisica-Atenea.pdf

16 páginas
Anónimo

@Anónimo

He publicado nuevos ejercicios de 1º Física: atenea-actividades- resueltas-fisica.pdf

22 páginas
Anónimo

@Anónimo

ejercicios

-

Entregables

He publicado nuevos ejercicios de 1º Física: Entregables

TE1-Tir-parabolic-amb-GPS-01.pdf
TE1-Moviment-ciclista-en-velodrom-02.pdf
TE2-Cotxe-Peralte-01.pdf
TE2-Pla-inclinat-Dos-blocs-amb-corda-i-politja-01.pdf
TE3-PlaInclinat-Bloc-Molla-01.pdf
TE3-MollaLoopingTirParabolic.pdf
Anónimo

@Anónimo

ejercicios

-

Entregable 1 - Tiro parabólico con GPS

Entregables

tiro-parabolico-con-GPS.pdf
atenea.pdf

He publicado nuevos apuntes de 1º Física: blanco.pdf

1 página

He publicado nuevos apuntes de 1º Física: RB-2021-11-19-10.pdf

2 páginas
Anónimo

@Anónimo

He publicado nuevos apuntes de 1º Física: RB-2021-11-11-09.pdf

5 páginas
Anónimo

@Anónimo

He publicado nuevos apuntes de 1º Física: RB-2021-10-19-21.pdf

4 páginas
Anónimo

@Anónimo

He publicado nuevos apuntes de 1º Física: fisica.pdf

3 páginas
Anónimo

@Anónimo

He publicado nuevos apuntes de 1º Física: fisica-21.pdf

3 páginas
Anónimo

@Anónimo

He publicado nuevos apuntes de 1º Física: apunts-1.pdf

2 páginas

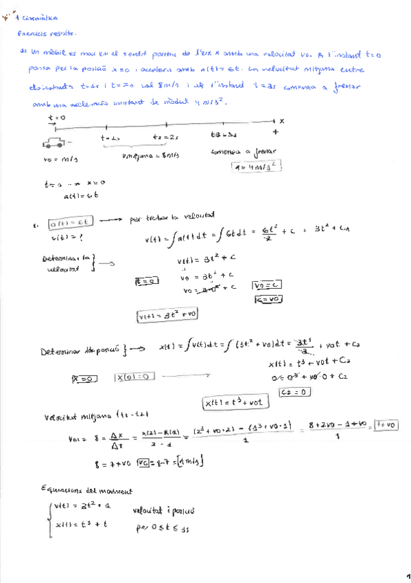
He publicado nuevos apuntes de 1º Física: 1-cinematica-teoria2.pdf

5 páginas

He publicado nuevos apuntes de 1º Física: 2-dinamica-teoria.pdf

16 páginas

He publicado nuevos apuntes de 1º Física: 1-cinematica-teoria.pdf

30 páginas
Anónimo

@Anónimo

He publicado nuevos apuntes de 1º Física: FisicaT3-T5.pdf

14 páginas
Anónimo

@Anónimo

Primeros temas de física, con teoría y ejercicios

7 páginas
Anónimo

@Anónimo

He publicado nuevos apuntes de 1º Física: quiz-fis-manana.pdf

4 páginas
Anónimo

@Anónimo

He publicado nuevos apuntes de 1º Física: Fisica-T5.pdf

11 páginas
Anónimo

@Anónimo

He publicado nuevos apuntes de 1º Física: Fisica-T9.pdf

6 páginas
Anónimo

@Anónimo

apuntes

-

Entregable 1

He publicado nuevos apuntes de 1º Física: Entregable 1

E1-sol.pdf
E1-enunciado-fisica.pdf
Anónimo

@Anónimo

He publicado nuevos apuntes de 1º Física: act.pdf

5 páginas
Anónimo

@Anónimo

He publicado nuevos examenes de 1º Física: parcial2essol.pdf

6 páginas
Anónimo

@Anónimo

apuntes

-

Fisica parte 2

He publicado nuevos apuntes de 1º Física: Fisica parte 2

condensadores.pdf
parcial1essol.pdf
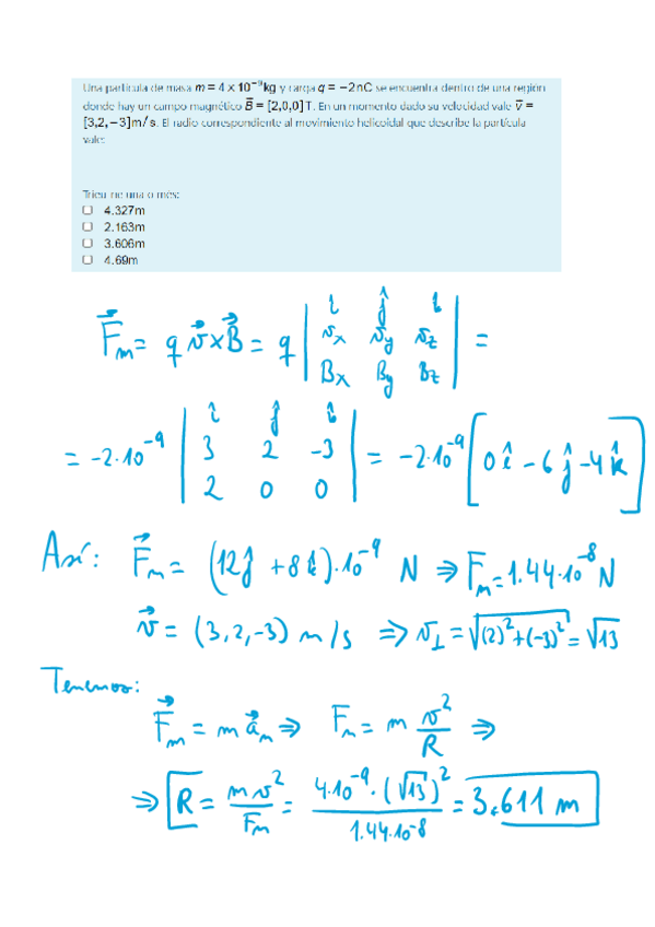
Movimiento-helicoidal.pdf
fontmagnetiques.pdf
inducciomagnetica.pdf
corrienteelectrica.pdf
Anónimo

@Anónimo

apuntes

-

Fisica parte 1

He publicado nuevos apuntes de 1º Física: Fisica parte 1

dinamica.pdf
lleigauss.pdf
campelectric.pdf
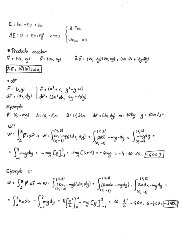
treballenergia.pdf
rotacion.pdf
potencial.pdf
Anónimo

@Anónimo

He publicado nuevos examenes de 1º Física: parcial1essol.pdf

10 páginas
Anónimo

@Anónimo

ejercicios

-

Actividades

He publicado nuevos ejercicios de 1º Física: Actividades

20210317-1828-Office-Lens.pdf
E1-Cotxe.pdf
E2-Fisica.pdf
E3-fisica.pdf
E4.pdf
act-fis.pdf
Anónimo

@Anónimo

He publicado nuevos apuntes de 1º Física: Fisica-T4.pdf

11 páginas
Anónimo

@Anónimo

He publicado nuevos apuntes de 1º Física: Fisica-T9.pdf

6 páginas
Anónimo

@Anónimo

He publicado nuevos apuntes de 1º Física: Fisica-T2.pdf

5 páginas
Anónimo

@Anónimo

He publicado nuevos apuntes de 1º Física: Fisica-T1.pdf

6 páginas

He publicado nuevos apuntes de 1º Física: fisica-entregables.pdf

113 páginas
Anónimo

@Anónimo

He publicado nuevos apuntes de 1º Física: Fisica-T1-T2-T3.pdf

20 páginas
Anónimo

@Anónimo

He publicado nuevos ejercicios de 1º Física: 2019-2-23_61558.pdf

4 páginas

apuntes

-

Resumen de Todo el Temario.

He publicado nuevos apuntes de 1º Física: Resumen de Todo el Temario.

Tema 1. Vectores Libres.pdf
Tema 2. Cinemática del punto..pdf
Tema 3. Dinámica del punto..pdf
Tema 4. Cinemática del sólido rígido..pdf
Tema 5. Movimiento relativo..pdf

ejercicios

-

Fisica

He publicado nuevos ejercicios de 1º Física: Fisica

tir_parabolic.pdf
treball_energia.pdf
Anónimo

@Anónimo

apuntes

-

Física

He publicado nuevos apuntes de 1º Física: Física

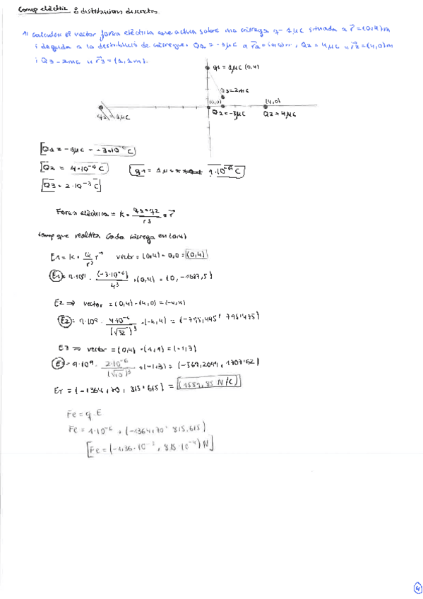
Apuntes Campo Eléctrico - distribucions continues.pdf
Apuntes Campo Eléctrico (1).pdf
Apuntes Campo Magnético (1).pdf
Apuntes Campo Magnético (2).pdf
Apuntes Campo Magnético (3).pdf
Apuntes Campo Magnético (4).pdf
Anónimo

@Anónimo

ejercicios

-

Física

He publicado nuevos ejercicios de 1º Física: Física

Ejercicios Campo Eléctrico (1).pdf
Ejercicios Campo Eléctrico (2).pdf
Ejercicios Campo Eléctrico (3).pdf
Ejercicios Importante Looping Dinámica.pdf
Ejercicios Leyes de Newton.pdf
Ejercicios Resueltos Cinemática (1).pdf
Anónimo

@Anónimo

He publicado nuevos otros de 1º Física: Formulario.pdf

4 páginas
Anónimo

@Anónimo

practicas

-

Física

He publicado nuevos practicas de 1º Física: Física

Entregables (1) Arc-Fil y Dos Conductors.pdf
Entregables Camp Eléctric i Potencial (2) Parte 1.pdf
Entregables Camp Eléctric i Potencial (2) Parte 2.pdf
Entregables Camp Eléctric i Potencial (2) Parte 3.pdf
¡Estás al día!

¡Estás al día!

Has visto todos los archivos