chevron_left
chevron_right
Todo
Apuntes
Ejercicios
Exámenes
Prácticas
chevron_left
chevron_right

Apuntes tema 8: Electrostática (Física 2º cuatrimestre)

6 páginas

Apuntes tema 7: Ondas (2º cuatrimestre Ingeniería Química)

2 páginas

He publicado nuevos apuntes de 1º Física: fisika-teoria-2.-lauhilekoa.pdf

22 páginas

He publicado nuevos ejercicios de 1º Física: fisika-ariketak-2.-lauhilekoa.pdf

30 páginas

He publicado nuevos ejercicios de 1º Física: fisika-ariketak-egiteko-laburpena-2.-lauhilekoa.pdf

11 páginas

He publicado nuevos apuntes de 1º Física: fisika-teoria-1-cuatri.pdf

25 páginas

He publicado nuevos apuntes de 1º Física: fisika-laburpena-1-cuatri.pdf

8 páginas

He publicado nuevos examenes de 1º Física: 2025/07/04 Ezohikoa Emaitzekin.pdf

3 páginas

Ohiko deialdia : 1P1, 1P2, 1P3, 2P1 eta 2P3 egin behar dituzte; 2. partzialekoek: 2P guztiak

3 páginas

He publicado nuevos examenes de 1º Física: 2025/06/10-2. Partziala + Ohiko deialdia.pdf

9 páginas

He publicado nuevos ejercicios de 1º Física: 11. eta 12. gaiak - Ariketa Ebatziak.pdf

4 páginas

He publicado nuevos ejercicios de 1º Física: 10. Indukzio Elektromagnetikoa - Ariketa Ebatziak batziak.pdf

6 páginas

He publicado nuevos ejercicios de 1º Física: 9. Eremu Magnetikoa - Ariketa Ebatziak.pdf

9 páginas

He publicado nuevos ejercicios de 1º Física: 8. Korronte Elektrikoa - Ariketa Ebatziak.pdf

9 páginas

He publicado nuevos ejercicios de 1º Física: 7. Eremu Elektrikoa - Ariketa Ebatziak.pdf

9 páginas

He publicado nuevos ejercicios de 1º Física: 6. Higidura Oszilakorra eta Ondulatorioa - Ariketa Ebatziak.pdf

7 páginas

He publicado nuevos ejercicios de 1º Física: 5.1-5.2.gaiak - Ariketa Ebatziak.pdf

21 páginas

He publicado nuevos ejercicios de 1º Física: Masa Zentroak + 4. gaiko ariketa batzuk - Ebatzita.pdf

5 páginas

He publicado nuevos ejercicios de 1º Física: 3.2. gaia -Ariketa Ebatziak.pdf

8 páginas

He publicado nuevos ejercicios de 1º Física: 3.1. gaia - Ariketa Ebatziak.pdf

13 páginas

He publicado nuevos ejercicios de 1º Física: 2. gaia - Ariketa Ebatziak.pdf

10 páginas

He publicado nuevos apuntes de 1º Física: 55.1.-Solido-zurrunaren-estatika-5.2.-Solido-zurrunaren-dinamika-eta-energia.pdf

3 páginas

He publicado nuevos apuntes de 1º Física: 4.-Partikula-sistemak.pdf

3 páginas

He publicado nuevos apuntes de 1º Física: 3.2.-Partikularen-energia.pdf

3 páginas

He publicado nuevos apuntes de 1º Física: 3.1.-Partikularen-dinamika.pdf

3 páginas

He publicado nuevos examenes de 1º Física: Fisika Urtarrila azterketa 2025/01/24.pdf

3 páginas

Hau eguneratu behar dut. Edozein zalantza → vlezama002@ikasle.ehu.eus

8 páginas
Anónimo

@Anónimo

ejercicios

-

FISIKA II. Lauhilabetea

Denetarik, ariketak, azterketak, galdetegiak…

ELKARRAKZIO-MAGNETIKO.pdf
EREMU-MAGNETIKOA.pdf
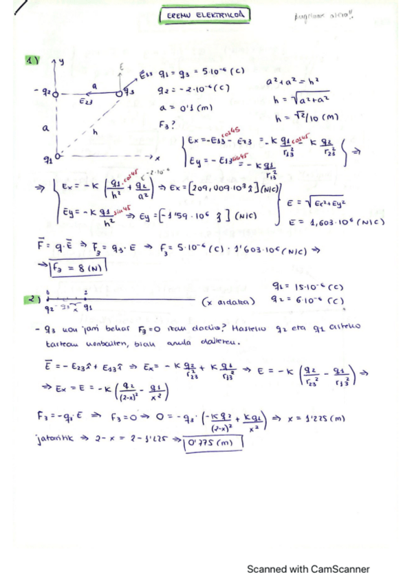
EREMU-ELEKTRIKOA.pdf
FISIKA-II-TEORIA-LABURTUTA-de-nada-juga.pdf
KORRONTE-JARRAITUA.pdf
UHIN-ELEKTROMAGNETIKOAK.pdf
Anónimo

@Anónimo

ejercicios

-

FISIKA I. Lauhilabetea

Denetarik, ariketak, azterketak, galdetegiak…

2021-01-22.pdf
SOLIDO-ZURRUNA.pdf
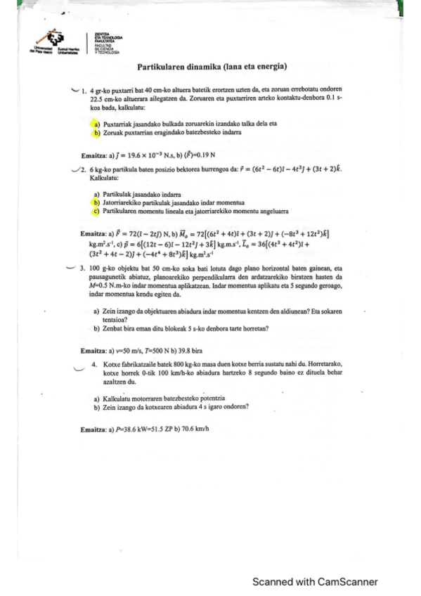
PARTIKULEN-DINAMIKA-lana-eta-energia.pdf
PARTIKULEN-ZINEMATIKA-ARIKETAK-EGINDA.pdf
PARTIKULA-SISTEMEN-DINAMIKA.pdf
PARTIKULEN-INDARREN-DINAMIKA.pdf

He publicado nuevos practicas de 1º Física: Practica-Movimiento-Parabolico.pdf

5 páginas

He publicado nuevos examenes de 1º Física: Examen-1-cuatri.pdf

10 páginas
Anónimo

@Anónimo

practicas

-

Prácticas 1-4

He publicado nuevos practicas de 1º Física: Prácticas 1-4

Practica-2-muelle.pdf
Practica-4-espectrometro-de-masas.pdf
Practica-1-proyectil.pdf
Practica-3-condensadores.pdf
Anónimo

@Anónimo

examenes

-

Exámenes-Física

He publicado nuevos examenes de 1º Física: Exámenes-Física

Examenesfisica-1-2.pdf
Examenesfisica-3-5.pdf
Examenesfisica-7-8.pdf
Examenesfisica-9-11.pdf
Examenesfisica-13-15.pdf
Examenesfisica-17-18.pdf
Anónimo

@Anónimo

He publicado nuevos examenes de 1º Física: Examen-fisica-enero-2023.pdf

6 páginas

He publicado nuevos examenes de 1º Física: uztaila-22.pdf

3 páginas

He publicado nuevos apuntes de 1º Física: zinematika-ariketak-ebazteko.pdf

1 página

He publicado nuevos apuntes de 1º Física: zinematika-ariketa-ebatziak.pdf

9 páginas

He publicado nuevos examenes de 1º Física: CamScanner-12-02-2022-10.pdf

2 páginas

He publicado nuevos examenes de 1º Física: CamScanner-12-02-2022-10.pdf

5 páginas
¡Estás al día!

¡Estás al día!

Has visto todos los archivos