chevron_left
chevron_right
Todo
Apuntes
Ejercicios
Exámenes
Otros
Prácticas
Trabajos
chevron_left
chevron_right

He publicado nuevos apuntes de 1º Física: Apuntes-de-clase.pdf

318 páginas

He publicado nuevos apuntes de 1º Física: Fisica-General.pdf

150 páginas

He publicado nuevos apuntes de 1º Física: FORMULARIODISENO16-17.pdf

1 página
Anónimo

@Anónimo

examenes

-

EXAMENES

He publicado nuevos examenes de 1º Física: EXAMENES

Examen-Enero-Cuestiones-Diseno-16-17.pdf
Examen-Enero-Problemas-Diseno-16-17.pdf
Examen-Julio-Cuestiones-Diseno-2017.pdf
Examen-Julio-Problemas-Diseno-2017.pdf

apuntes

-

Laboratorio mecanica y ondas

He publicado nuevos apuntes de 1º Física: Laboratorio mecanica y ondas

Constante-MuelleSteiner-y-Momento-Inercia.pdf
GRAVES.PDF
HOOKE.PDF
MRUACarril-de-aire.pdf
Ondas-estacionarias-cuerda.PDF
Pendulo-de-torsion-con-celula.pdf

practicas

-

Laboratorio

He publicado nuevos practicas de 1º Física: Laboratorio

Puente-de-Wheatstone-v2.pdf
Tubo-de-Kundt.pdf
Tubo-de-Quincke.pdf
CAMPO-MAGNETICO-CREADO-POR-CONDUCTORES-RECTOS.pdf
Campo-magnetico-terrestre.pdf
Miniatura no disponible
CONSTANTE-DIELECTRICA-DE-MATERIALES.pdf

practicas

-

Problemas segundo cuatrimestre

He publicado nuevos practicas de 1º Física: Problemas segundo cuatrimestre

TemaIII-Problemas-del-campo-magnetico.pdf
TemaII-Problemas-de-electrocinetica.pdf
TemaI-Problemas-de-electroestatica.pdf

apuntes

-

Teoria Segundo Cuatrimestre

He publicado nuevos apuntes de 1º Física: Teoria Segundo Cuatrimestre

Tema-4-Ondas.pdf
Tema1-Electroestaticav2.pdf

He publicado nuevos apuntes de 1º Física: Mecanica-vectorial-para-ingenieros-estatica.pdf

631 páginas
Anónimo

@Anónimo

apuntes

-

Ejercicios

He publicado nuevos apuntes de 1º Física: Ejercicios

Hoja-1-ejercicios.pdf
Hoja-2-ejercicios.pdf
Hoja-4-ejercicios.pdf
Hoja-5-ejercicios.pdf
Hoja-6-ejercicios.pdf

apuntes

-

Apunter y ejercicios fisica 2ª Cuatri

He publicado nuevos apuntes de 1º Física: Apunter y ejercicios fisica 2ª Cuatri

Tema-5-Electroestatica-Ejercicios.pdf
Tema-5-Electroestatica-Resumen-Teoria.pdf
Tema-6-Electrocinetica-Ejercicios.pdf
Tema-6-Electrocinetica-Resumen-Teoria.pdf
Tema-7-Campo-Magnetico-Ejercicios2.pdf
Tema-7-Campo-Magnetico-Resumen-Teoria.pdf

apuntes

-

Física 1ªCuatrimestre

He publicado nuevos apuntes de 1º Física: Física 1ªCuatrimestre

SISTEMAS-EN-EQUILIBRIO-EJERCICIOS.pdf
Tema-1-Cinematica-Ejercicios.pdf
Tema-1-Cinematica-RESUMENTEORIA.pdf
Tema-2-Dinamica-Ejercicios.pdf
Tema-2-Dinamica-RESUMEN-TEORIA.pdf
Tema-3-Trabajo-y-Energia-Ejercicios.pdf

He publicado nuevos practicas de 1º Física: P4.pdf

15 páginas

He publicado nuevos practicas de 1º Física: P3.pdf

14 páginas

He publicado nuevos practicas de 1º Física: P7.pdf

16 páginas

He publicado nuevos practicas de 1º Física: P2.pdf

8 páginas

He publicado nuevos practicas de 1º Física: P6.pdf

19 páginas

He publicado nuevos practicas de 1º Física: P5.pdf

16 páginas

practicas

-

PRÁCTICA: Fuerza magnética

He publicado nuevos practicas de 1º Física: PRÁCTICA: Fuerza magnética

Medida-de-la-fuerza-magnetica.pdf
Medida-de-la-fuerza-magnetica.xlsx

practicas

-

PRÁCTICA: Fuerza centrípeta

He publicado nuevos practicas de 1º Física: PRÁCTICA: Fuerza centrípeta

Estudio-de-fuerza-centripeta.pdf
parte-I.xlsx
parte-II.xlsx

practicas

-

PRÁCTICA: Constante dieléctrica de materiales

He publicado nuevos practicas de 1º Física: PRÁCTICA: Constante dieléctrica de materiales

Constante-dielectrica-de-materiales.pdf
Constante-dielectrica-de-materiales.xlsx

practicas

-

PRÁCTICA: Ley de Ohm y resistividad

He publicado nuevos practicas de 1º Física: PRÁCTICA: Ley de Ohm y resistividad

Comprobacion-de-la-Ley-de-Ohm-y-obtencion-de-la-resistividad-de-materiales.pdf
Comprobacion-de-la-Ley-de-Ohm-y-obtencion-de-la-resistividad-de-materiales.xlsx

apuntes

-

PRÁCTICA: Ley de Hooke

He publicado nuevos apuntes de 1º Física: PRÁCTICA: Ley de Hooke

Comprobacion-de-la-Ley-de-Hooke.pdf
estudio-dinamico.xlsx
estudio-estatico.xlsx

practicas

-

PRÁCTICA: Teorema de Steiner

He publicado nuevos practicas de 1º Física: PRÁCTICA: Teorema de Steiner

Aplicacion-del-Teorema-de-Steiner-al-calculo.pdf
Aplicacion-del-Teorema-de-Steiner-al-calculo.xlsx

He publicado nuevos examenes de 1º Física: ordinario-parcial-2023.pdf

2 páginas

He publicado nuevos practicas de 1º Física: practica-de-laboratorio.pdf

8 páginas

He publicado nuevos examenes de 1º Física: examen-2023.pdf

2 páginas

He publicado nuevos ejercicios de 1º Física: ejerciciosarmadurasestructuras.pdf

14 páginas

He publicado nuevos examenes de 1º Física: Examen-Ordinario-3-julio-2015.pdf

2 páginas

He publicado nuevos examenes de 1º Física: Ordinario-10-junio-2016.pdf

1 página

He publicado nuevos examenes de 1º Física: EXAMEN-3o-PARCIAL-ELECTROSTATICA-Y-ELECTROCINETICA.pdf

4 páginas

He publicado nuevos otros de 1º Física: Formularioelectrostaticaelectrocinetica.pdf

4 páginas

He publicado nuevos otros de 1º Física: FormularioCampoMagnetico.pdf

4 páginas

He publicado nuevos otros de 1º Física: FormularioTemas1234.pdf

2 páginas

He publicado nuevos otros de 1º Física: FormularioTema5.pdf

1 página

He publicado nuevos otros de 1º Física: FormularioTema6789.pdf

2 páginas

He publicado nuevos apuntes de 1º Física: apunteselectrostaticaelectrocinetica.pdf

5 páginas

He publicado nuevos examenes de 1º Física: Ordinariojunio2011.pdf

1 página

He publicado nuevos examenes de 1º Física: Ordinario17junio2014.pdf

1 página

He publicado nuevos examenes de 1º Física: Extraordinario15julio2014.pdf

1 página

He publicado nuevos ejercicios de 1º Física: EjerciciosElectrocinetica.pdf

3 páginas

He publicado nuevos apuntes de 1º Física: apunteselectrostatica.pdf

7 páginas

He publicado nuevos ejercicios de 1º Física: EjerciciosCampomagnetico.pdf

2 páginas

He publicado nuevos ejercicios de 1º Física: EjercicioCampomagnetico.pdf

1 página

Ejercicios Campo magnético del Indat similares a los hechos durante el curso 2022-2023

2 páginas

He publicado nuevos examenes de 1º Física: ExamenOrdinario2023.pdf

5 páginas

He publicado nuevos examenes de 1º Física: ExamenCampomagnetico2023.pdf

3 páginas

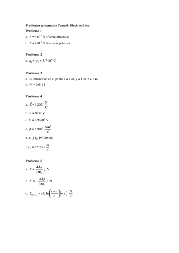
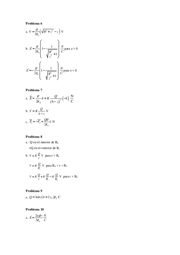
He publicado nuevos otros de 1º Física: Solucionario-Problemas-Electrostatica.pdf

3 páginas

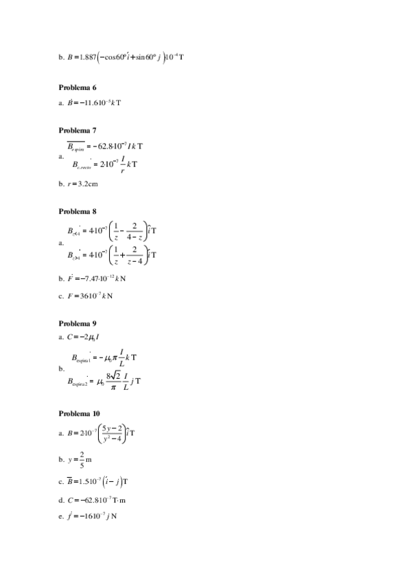
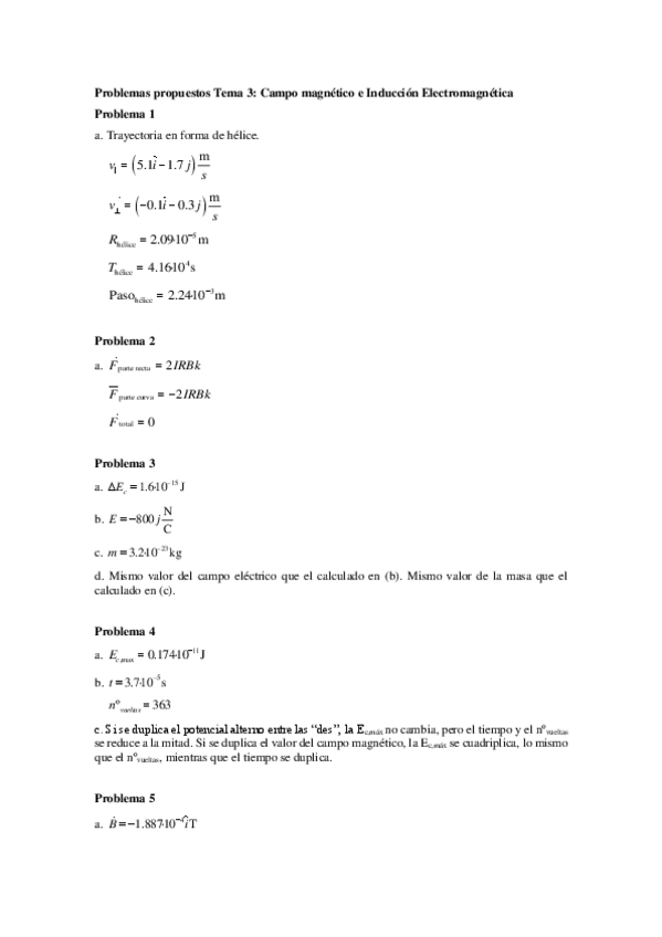
He publicado nuevos otros de 1º Física: Solucionario-Problemas-Campo-Magnetico-e-Induccion-Electromagnetica.pdf

3 páginas

He publicado nuevos otros de 1º Física: Solucionario-Problemas-Electrocinetica.pdf

3 páginas

He publicado nuevos apuntes de 1º Física: Resumen-Electrostatica-21-22.pdf

33 páginas

He publicado nuevos ejercicios de 1º Física: 2022-2023ProblemasHoja-9-Electrostatica-enunciados.pdf

2 páginas

He publicado nuevos apuntes de 1º Física: Reacciones-y-Apoyos.pdf

2 páginas

He publicado nuevos apuntes de 1º Física: Momentos-de-Inercia.pdf

1 página

He publicado nuevos otros de 1º Física: Solucionario-Hoja-de-Problemas-6.pdf

2 páginas

He publicado nuevos ejercicios de 1º Física: ProblemasHoja-6-Equilibrio-en-el-plano-2.pdf

2 páginas

He publicado nuevos ejercicios de 1º Física: ProblemasHoja-5-Equilibrio-en-el-plano.pdf

1 página

He publicado nuevos otros de 1º Física: Solucionario-Hoja-de-Problemas-5.pdf

2 páginas

He publicado nuevos ejercicios de 1º Física: 2022-2023ProblemasHoja-4-Trabajo-y-energia-enunciados.pdf

4 páginas

He publicado nuevos otros de 1º Física: Solucionario-Hoja-de-Problemas-3.pdf

2 páginas