chevron_left
chevron_right
Todo
Apuntes
Ejercicios
chevron_left
chevron_right

He publicado nuevos apuntes de 1º Física: Formulario-fisica.pdf

4 páginas

Algunos ejercicios resueltos de dinámica de partículas.

3 páginas

Breve resumen del tema de movimiento relativo de física.

2 páginas

Breve resumen del primer tema para introducción a la física.

2 páginas

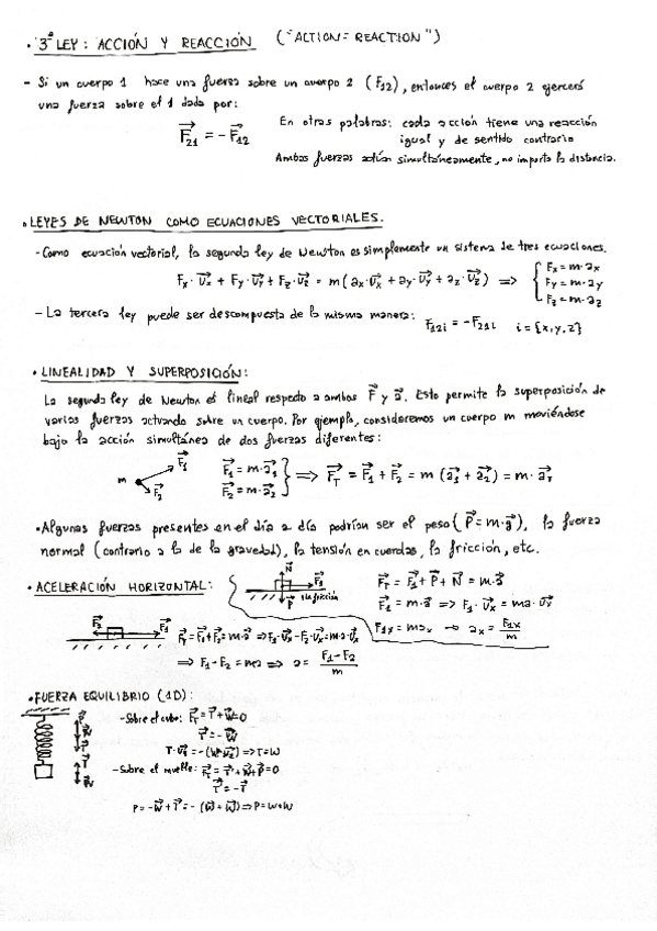
Algo del contenido del tema de fuerzas y leyes de Newton de física.

5 páginas

Resumen de sólo algunas cosas del tema de cinemática.

4 páginas

He publicado nuevos apuntes de 1º Física: Fisica.pdf

19 páginas

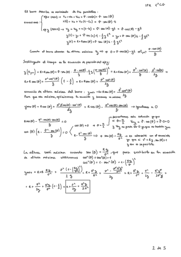
He publicado nuevos apuntes de 1º Física: Fisica-Irene-Perea.pdf

9 páginas

Ejercicios del libro de halliday y el amarillo. Están todos comprobados porque encontré el solucionarlo de los de halliday y los del amarillo ya vienen resueltos en el propio libro.

13 páginas

Todos los ejercicios están bien

5 páginas

Todos los ejercicios están bien

5 páginas
¡Estás al día!

¡Estás al día!

Has visto todos los archivos