Todo
Apuntes
Ejercicios
Exámenes
Otros
Prácticas
Trabajos
chevron_left
chevron_right

Ejercicios Resueltos del tema de condensadores, paso por paso y explicados

9 páginas

Ejercicios resueltos de flujo magnético paso por paso con explicaciones

7 páginas

Apuntes de las prácticas: 2 - Leyes de Newton 4 - Conservación de la energía 9 - Ley de Ohm y resistencias 11 - Cálculo de la carga específica del electrón 12 - Inducción electromagnética

7 páginas

Ejercicios Campo Magnético RESUELTOS paso por paso.

8 páginas

Segundo Control de 2025 Corregido por pasos.

8 páginas

Examen de Mayo de 2024 Resuelto por pasos.

7 páginas

Examen de Recuperación de Junio de 2024 corregido por pasos y explicado.

6 páginas

He publicado nuevos trabajos de 1º Física: Memoria-Ley-de-Ohm.pdf

14 páginas

He publicado nuevos practicas de 1º Física: Memoria-LEY-DE-OHM-Y-ASOCIACIONES-DE-RESISTENCIAS.pdf

16 páginas

He publicado nuevos apuntes de 1º Física: MEMORIA-RESORTE-2ºIB.pdf

11 páginas

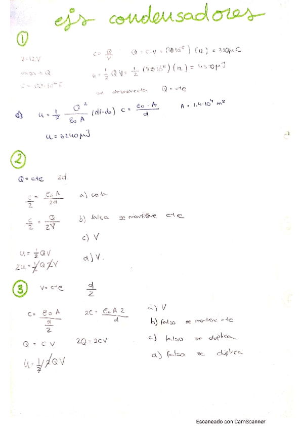
He publicado nuevos ejercicios de 1º Física: Ejercicios-Condensadores.pdf

7 páginas

He publicado nuevos apuntes de 1º Física: Teoria-Condensadores.pdf

3 páginas

He publicado nuevos examenes de 1º Física: CONTROL-2-CAMPO-Y-POTENCIAL-ELECTRICO.pdf

2 páginas

He publicado nuevos examenes de 1º Física: CONTROL-1-FISICA.pdf

2 páginas

He publicado nuevos examenes de 1º Física: EXAMEN-FISICA-1-ENERO-2024-IE.pdf

2 páginas

He publicado nuevos ejercicios de 1º Física: Campo-electrico.pdf

25 páginas

He publicado nuevos examenes de 1º Física: Examen-fisica-segunda-parte-recu.jpg

Imagen

He publicado nuevos examenes de 1º Física: Examen-Fisica-2024.jpg

Imagen

ejercicios

-

Ejercicios 1º Parcial

He publicado nuevos ejercicios de 1º Física: Ejercicios 1º Parcial

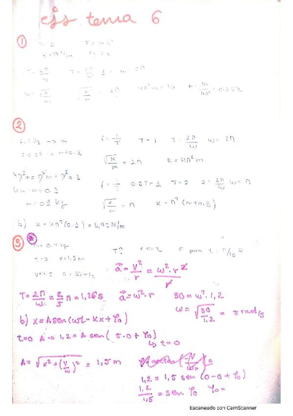
Ejercicios-T6.pdf
Ejcicios-T7.pdf

He publicado nuevos apuntes de 1º Física: Formulario.pdf

2 páginas

He publicado nuevos examenes de 1º Física: CCEEEnero24.pdf

2 páginas

ejercicios

-

2º Parcial

He publicado nuevos ejercicios de 1º Física: 2º Parcial

Capacidad-y-Condensadores.pdf
Campo-magnetico.pdf
Induccion.pdf
Corriente-electrica.pdf

He publicado nuevos apuntes de 1º Física: Apuntes-Fisica-I-Álvaro.pdf

33 páginas

He publicado nuevos apuntes de 1º Física: Tema-10-Formulas-Campo-Eléctrico.pdf

2 páginas

He publicado nuevos apuntes de 1º Física: Apuntes-Física-II-Inés.pdf

15 páginas

He publicado nuevos examenes de 1º Física: Examen-Fisica.pdf

2 páginas

He publicado nuevos ejercicios de 1º Física: Ejercicios-Dinamica-Fluidos-Examen.pdf

4 páginas

He publicado nuevos apuntes de 1º Física: Tema-8-Formulas-Hidrodinámica-(Fluidos).pdf

1 página

He publicado nuevos apuntes de 1º Física: Tema-6-Formulas-Oscilaciones y Ondas.pdf

1 página

He publicado nuevos apuntes de 1º Física: Tema-7-Formulas-Hidrostática-(Fluidos).pdf

1 página

He publicado nuevos apuntes de 1º Física: Ejercicios-Tema-1-Dimensiones-y-vectores.pdf

2 páginas

He publicado nuevos apuntes de 1º Física: Trigonometria-basica.pdf

4 páginas

He publicado nuevos apuntes de 1º Física: Cap.-2-Cinematica-Ejercicios.pdf

3 páginas

He publicado nuevos examenes de 1º Física: Control-Fisica-2023.pdf

2 páginas

He publicado nuevos apuntes de 1º Física: Formulas-Temas-2-3-4-Primer-Parcial.pdf

1 página

He publicado nuevos apuntes de 1º Física: Tema-4-Formulas-Trabajo.pdf

2 páginas

He publicado nuevos apuntes de 1º Física: Tema-3-Formulas-Dinamica.pdf

4 páginas

He publicado nuevos apuntes de 1º Física: Tema-2-Formulas-Cinemática.pdf

2 páginas

Documento orientativo, no recomendado la copia.

7 páginas

apuntes

-

Fisica II

Segundo cuatri de física aaaaaaaa

Ejercicios-Fisica-2.pdf
Formulario-Fisica-II-Electrico-magnetico-induccion-condensadores-cicuitos-vendo-opel-astra-G.pdf

examenes

-

Cursos 0 Física

He publicado nuevos examenes de 1º Física: Cursos 0 Física

1-Dimensiones-y-Unidades.pdf
2-Magnitudes-escalares-y-vectoriales.pdf
3-Descripcion-del-movimiento.pdf
4-Movimientos-elementales.pdf
5-Dinamica-de-particulas.pdf
6-Movimento-armonico-simple.pdf

apuntes

-

Ejercicios Física Temas 1-6

He publicado nuevos apuntes de 1º Física: Ejercicios Física Temas 1-6

Ejercicios-T-6.pdf
Ejercicios-T-4.pdf
Ejercicios-T-3.pdf
Ejercicios-T-2.pdf
Ejercicios-T-1.pdf

He publicado nuevos apuntes de 1º Física: Resumen-1-Parcial-Fisica.pdf

1 página

He publicado nuevos examenes de 1º Física: Fisica-enero-2023.pdf

1 página

examenes

-

fisica examen

He publicado nuevos examenes de 1º Física: fisica examen

fisica-12345.pdf
fisica12.pdf
Anónimo

@Anónimo

examenes

-

EXÁMENES RESUELTOS

He publicado nuevos examenes de 1º Física: EXÁMENES RESUELTOS

examen-iq-2021-hecho-por-mi.pdf
1er-parcial-ie-2020-hecho-por-mi.pdf

He publicado nuevos practicas de 1º Física: Memoriapractica11MariaArenazaAlamanIEIOI.pdf

11 páginas

examenes

-

2020 ejercicios examen 2º cuatrimestre

He publicado nuevos examenes de 1º Física: 2020 ejercicios examen 2º cuatrimestre

ejs-examen-campo-magnetico.docx
ejs-examen-condensadores.docx
ejs-examen-corriente-electrica.pdf
ejs-examen-induccion.docx
ejs-examen-campo-electrico.pdf
ejs-examen-potencial-electrico.docx

He publicado nuevos examenes de 1º Física: examenes-fisica-T1-T7.pdf

19 páginas

apuntes

-

T14_inducción electromagnética + eje

He publicado nuevos apuntes de 1º Física: T14_inducción electromagnética + eje

ejercicios-T14.pdf
T14induccion-electromagnetica.pdf

apuntes

-

T12 T13 C.Magnético y sus fuentes + ejs

He publicado nuevos apuntes de 1º Física: T12 T13 C.Magnético y sus fuentes + ejs

T13fuentes-del-campo-magnetico.pdf
ejercicios-T12-y-T13.pdf
T12campo-magnetico.pdf

apuntes

-

T11_Corriente eléctrica+ejs

He publicado nuevos apuntes de 1º Física: T11_Corriente eléctrica+ejs

T11corriente-electrica-y-circuitos.pdf
ejercicios-T11.pdf

apuntes

-

T10_Condensadores+ejs

He publicado nuevos apuntes de 1º Física: T10_Condensadores+ejs

T10capacidad-y-condensadores.pdf
ejercicios-T10.pdf

apuntes

-

T9_Potencial Eléctrico+ejs

He publicado nuevos apuntes de 1º Física: T9_Potencial Eléctrico+ejs

ejercicios-T9.pdf
T9potencial-electrico.pdf

apuntes

-

T8_Campo Eléctrico y ejs

He publicado nuevos apuntes de 1º Física: T8_Campo Eléctrico y ejs

ejercicios-T8.pdf
T8campo-electrico.pdf

He publicado nuevos apuntes de 1º Física: formulario-T8-T14.pdf

5 páginas

He publicado nuevos apuntes de 1º Física: T7fluidos.pdf

1 página

apuntes

-

T6_Oscilaciones y ejs

He publicado nuevos apuntes de 1º Física: T6_Oscilaciones y ejs

T6oscilaciones.pdf
ejercicios-T6.pdf

apuntes

-

T5_Sistema de Partículas+ejs

He publicado nuevos apuntes de 1º Física: T5_Sistema de Partículas+ejs

T5sistema-de-particulas.pdf
ejercicios-T5.pdf
formulario-T5.pdf

apuntes

-

T4_Trabajo y Energía+ejs

He publicado nuevos apuntes de 1º Física: T4_Trabajo y Energía+ejs

ejercicios-trabajo-y-energia.pdf
T4trabajo-y-energia.pdf