chevron_left
chevron_right
Todo
Apuntes
Ejercicios
Exámenes
Trabajos
chevron_left
chevron_right
Anónimo

@Anónimo

trabajos

-

trabajo centros de gravedad

He publicado nuevos trabajos de 1º Física: trabajo centros de gravedad

bici-electrica.png
bici-y-ejes.png
calculo-centro-gravedad-total.pdf
calculos-1.png
calculos-2.png
calculos-3.png
Anónimo

@Anónimo

He publicado nuevos trabajos de 1º Física: TRABAJO-SEGUNDO-CUATRI.pdf

6 páginas
Anónimo

@Anónimo

ejercicios

-

ejercicios resueltos

He publicado nuevos ejercicios de 1º Física: ejercicios resueltos

Soluciones-de-la-hoja-13-Campo-magnetico-y-sus-fuentes.pdf
Soluciones-de-la-hoja-14-Inducccion-electromagnetica.pdf
Soluciones-de-la-hoja-15-Magnetismo-en-la-materia.pdf
Soluciones-de-la-hoja-16-Optica-electromagnetica.pdf
Anónimo

@Anónimo

He publicado nuevos examenes de 1º Física: Soluciones-Parcial-2-2oQ.pdf

21 páginas
Anónimo

@Anónimo

He publicado nuevos examenes de 1º Física: Soluciones-control-bloque-4.pdf

6 páginas
Anónimo

@Anónimo

He publicado nuevos examenes de 1º Física: Fisica-Soluciones-Parcial-2.pdf

13 páginas

He publicado nuevos apuntes de 1º Física: Ejemplos-de-poleas-con-masas.pdf

1 página

apuntes

-

APUNTES TEMAS

He publicado nuevos apuntes de 1º Física: APUNTES TEMAS

Tema-estatica.pdf
Tema-movimiento-circular.pdf
Tema-elasticidad.pdf
Tema-ondas-.pdf
Tema-oscilaciones-.pdf
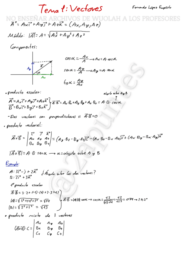
Tema-vectores.pdf

apuntes

-

APUNTES

He publicado nuevos apuntes de 1º Física: APUNTES

dinamica-de-rotacion.pdf
centro-de-masas-.pdf
Cinematica-.pdf
Elasticidad.pdf
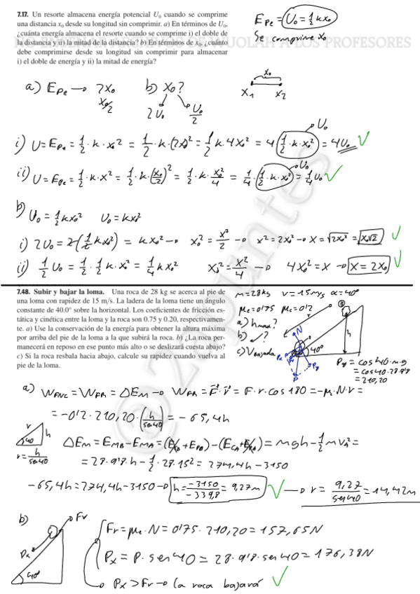
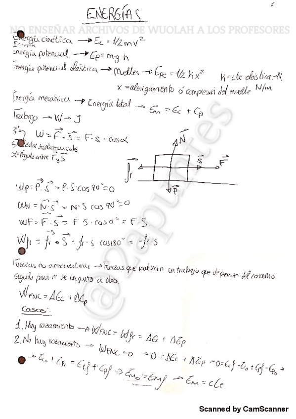
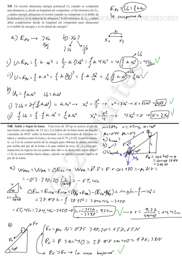
energias.pdf
movimiento-circular-y-cantidad-de-movimiento.pdf

He publicado nuevos apuntes de 1º Física: Apuntes-fisica-resumen-completo.pdf

16 páginas

He publicado nuevos ejercicios de 1º Física: Ejercicios-tipo-EXAMEN.pdf

16 páginas

He publicado nuevos apuntes de 1º Física: apuntes-teoria-de-medida.pdf

12 páginas
¡Estás al día!

¡Estás al día!

Has visto todos los archivos