Todo
Apuntes
Ejercicios
chevron_left
chevron_right

He publicado nuevos ejercicios de 1º Física: Ejemplos-de-poleas-con-masas.pdf

1 página

apuntes

-

APUNTES POR TEMAS

He publicado nuevos apuntes de 1º Física: APUNTES POR TEMAS

Dinamica-del-solido-rigido.pdf
sonido-.pdf
Cinematica-.pdf
Elasticidad.pdf
centro-de-masas-.pdf
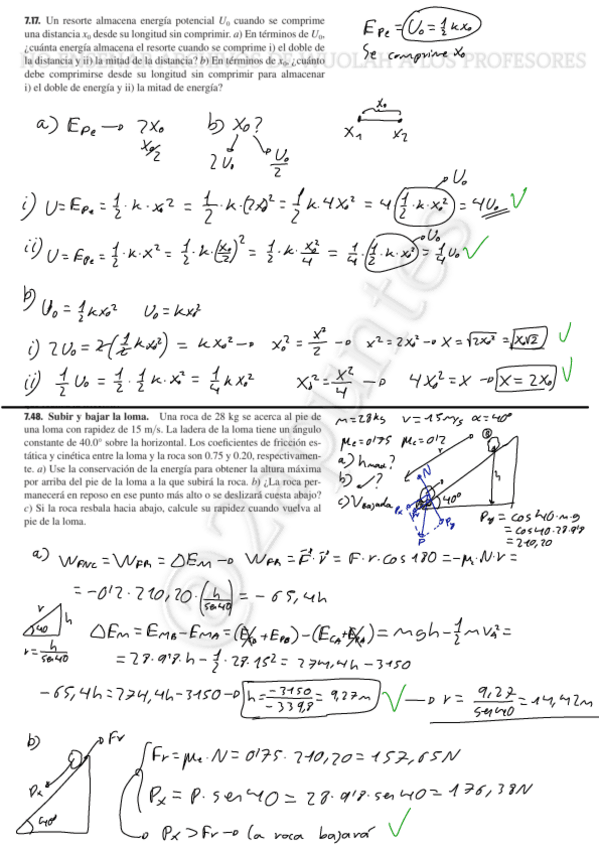
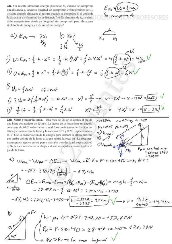
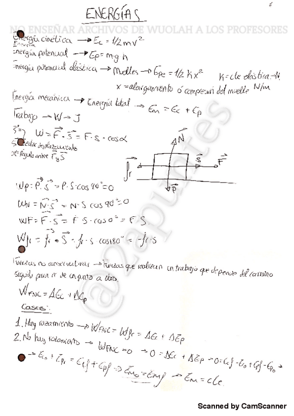
energias.pdf

He publicado nuevos apuntes de 1º Física: FORMULARIO-FISICA.pdf

2 páginas

He publicado nuevos apuntes de 1º Física: Apuntes-fisica-resumen-completo.pdf

16 páginas

He publicado nuevos ejercicios de 1º Física: Ejercicios-tipo-EXAMEN.pdf

16 páginas

He publicado nuevos apuntes de 1º Física: apuntes-teoria-de-medida.pdf

12 páginas
¡Estás al día!

¡Estás al día!

Has visto todos los archivos