Todo
Apuntes
Preguntas
Ejercicios
Exámenes
publication
Trabajos
chevron_left
chevron_right

apuntes

-

Formularios Fisica

Formularios con teoría con todo lo necesario para la PAU. No son los mas bonitos pero las formulas estan perfectas :3. (Palabra dealguien con un 10 en física 2025)

FormularioElectromagnetismoInduccion.pdf
FormularioFisSXX.pdf
FormularioInteraccionElectrostatica.pdf
FormularioInteraccionGravitatoria.pdf
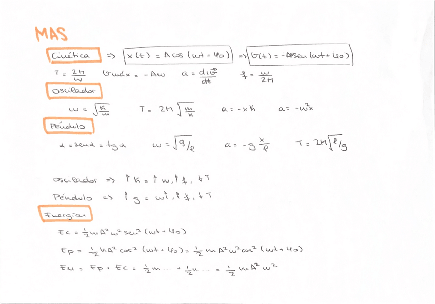
FormularioMAS.pdf
FormularioMovimientoOndulatorio.pdf

Apuntes de todos los temas de Física para la PAU

15 páginas

He publicado nuevos apuntes de Física: BLOQUE-4-FISICA-MODERNA-FORMULARIO.pdf

1 página

He publicado nuevos apuntes de Física: BLOQUE-3-OPTICA-FORMULARIO.pdf

2 páginas

He publicado nuevos apuntes de Física: BLOQUE-3-MAS-FORMULARIO.pdf

2 páginas

He publicado nuevos apuntes de Física: BLOQUE-3-ONDAS-FORMULARIO.pdf

1 página

He publicado nuevos apuntes de Física: BLOQUE-2-CAMPO-MAGNETICO-FORMULARIO.pdf

1 página

He publicado nuevos apuntes de Física: BLOQUE-2-CAMPO-ELECTRICO-FORMULARIO.pdf

1 página

He publicado nuevos apuntes de Física: BLOQUE-1-GRAVITACION-FORMULARIO.pdf

1 página

Teoría del bloque de física moderna más repetida en la PAU.

1 página

Teoría del bloque de ondas más repetida en la PAU.

1 página

Teoría del bloque de magnetismo más repetida en la PAU.

2 páginas

Teoría del bloque de campo eléctrico más repetida en la PAU.

3 páginas

Teoría del bloque de gravitación más repetida en la PAU.

3 páginas

Ejercicios EVAU desde 2017 hasta 2023 con sus respectivas resoluciones

12 páginas

apuntes

-

FÍSICA

He publicado nuevos apuntes de Física: FÍSICA

Resumen-MASONDAS.pdf
Optica-geometrica.pdf
Optica-fisica.pdf
Movimiento-Armonico-Simple.pdf
Movimiento-ondulatorio-Sonido.pdf
Superposicion-Ondas.pdf

He publicado nuevos apuntes de Física: Apuntes-optica-y-lentes.pdf

6 páginas

He publicado nuevos apuntes de Física: apuntes-campo-magnetico.pdf

4 páginas

He publicado nuevos apuntes de Física: apuntes-campo-electrostatico.pdf

5 páginas

He publicado nuevos apuntes de Física: Apuntes-Campo-Gravitatorio.pdf

5 páginas

He publicado nuevos apuntes de Física: Apuntes-Movimiento-armonico-simpleondas.pdf

10 páginas
Anónimo

@Anónimo

He publicado nuevos apuntes de Física: apuntes-campo-gravitatorio.pdf

17 páginas
Anónimo

@Anónimo

He publicado nuevos apuntes de Física: apuntes-campo-electrico.pdf

15 páginas
Anónimo

@Anónimo

He publicado nuevos apuntes de Física: apuntes-movimiento-ondulatorio.pdf

27 páginas
Anónimo

@Anónimo

He publicado nuevos apuntes de Física: apuntes-movimiento-armonico-simple.pdf

12 páginas
Anónimo

@Anónimo

He publicado nuevos apuntes de Física: apuntes-campo-magnetico.pdf

16 páginas

apuntes

-

APUNTES EVAU FISICA

Saqué un 10 en la evau del año pasado, así que espero que os sirvan mis apuntes :)

apuntes-gravitacion.pdf
apuntes-optica.pdf
apuntes-MAS.pdf

He publicado nuevos examenes de Física: ordinaria2024-fisica.pdf

2 páginas

Formulario Electromagnetismo para EVAU/PAU

2 páginas

Formulario Gravitacion + teoria para EVAU/PAU

6 páginas

Formulario Electrostatica + teoria

3 páginas

Formulario Movimiento Armonico Simple

2 páginas

Formulario Ondas y Superposicion de Ondas

4 páginas

🔭FISICA, LA MAS PRESENTE EN NUESTRA VIDA, COMPRIMIDA A TEMA POR HOJA (MIRA TODOS LOS DOCUS)

🔭FISICA, LA MAS PRESENTE EN NUESTRA VIDA, COMPRIMIDA A TEMA POR HOJA (MIRA TODOS LOS DOCUS)

apuntes

-

Formularios física EVAU PAU

He publicado nuevos apuntes de Física: Formularios física EVAU PAU

Formulario-Campo-electrico-fisica-EVAU-PAU.pdf
Formulario-campo-magnetico-fisica-EVAU-PAU.pdf
Formulario-fisica-moderna-EVAU-PAU.pdf
Formulario-MAS-y-ondas-fisica-EVAU-PAU.pdf
Gravitacion-fisica-EVAU-PAU.pdf
Optica-geometrica-fisica-EVAU-PAU.pdf

🔭FISICA, LA MAS PRESENTE EN NUESTRA VIDA, COMPRIMIDA A TEMA POR HOJA (MIRA TODOS LOS DOCUS)

🔭FISICA, LA MAS PRESENTE EN NUESTRA VIDA, COMPRIMIDA A TEMA POR HOJA (MIRA TODOS LOS DOCUS)

apuntes

-

TEMAS FISICA

Temas Física completos y resumidos para Selectividad

FISICA-BLOQUE-0-MOVIMIENTO.pdf
FISICA-BLOQUE-1-CAMPO-GRAVITATORIO.pdf
FISICA-BLOQUE-2-CAMPO-ELECTRICO.pdf
FISICA-BLOQUE-3-CAMPO-MAGNETICO.pdf
FISICA-BLOQUE-4-ONDAS-Y-OPTICA.pdf
FISICA-BLOQUE-5-FISICA-MODERNA.pdf

apuntes

-

Apuntes física

He publicado nuevos apuntes de Física: Apuntes física

FISICA-CUANTICA.pdf
FISICA-NUCLEAR.pdf

He publicado nuevos apuntes de Física: APUNTES - MOVIMIENTO ONDULATORIO.pdf

7 páginas

He publicado nuevos apuntes de Física: APUNTES - MOVIMIENTO ARMÓNICO SIMPLE.pdf

4 páginas

He publicado nuevos apuntes de Física: CUESTIONES-TEORICAS-FISICA-EvAU.docx

word

apuntes

-

Teoría y formularios física EVAU PAU

He publicado nuevos apuntes de Física: Teoría y formularios física EVAU PAU

TEORIA-EVAU-DE-FISICA.pdf
TEORIA-FISICA-CAMPO-ELECTRICO.pdf
TEORIA-FISICA-CAMPO-MAGNETICO.pdf
TEORIA-FISICA-GRAVITACION.pdf
TEORIA-FISICA-ONDAS-Y-M.A.S.pdf
TEORIA-FISICA-OPTICA.pdf

He publicado nuevos apuntes de Física: espejos-y-lentes-fisica.pdf

3 páginas

Apunts de física realitzats al 2018 al batxillerat científic de l'Institut Jaume Balmes de Barcelona.

73 páginas

apuntes

-

Teoria Completa Fisica

He publicado nuevos apuntes de Física: Teoria Completa Fisica

Teoria-C.-elec.pdf
Teoria-C.-grav.pdf
Teoria-MAS.pdf

‼️🚀 📐 🎉 𝔽𝕀𝕊𝕀ℂ𝔸 𝔽 𝕀𝔼𝕊𝕋𝔸 𝔻𝔼𝕃 ℂ𝕆ℕ𝕆ℂ𝕀𝕄𝔼ℕ𝕋𝕆🎉 @𝕙𝕖𝕪𝕚𝕥𝕤𝕒𝕝𝕒𝕞𝕒. ℝ𝔼𝕊𝕌́𝕄𝔼ℕ𝔼𝕊 𝔽

‼️🚀 📐 🎉 𝔽𝕀𝕊𝕀ℂ𝔸 𝔽 𝕀𝔼𝕊𝕋𝔸 𝔻𝔼𝕃 ℂ𝕆ℕ𝕆ℂ𝕀𝕄𝔼ℕ𝕋𝕆🎉 @𝕙𝕖𝕪𝕚𝕥𝕤𝕒𝕝𝕒𝕞𝕒. ℝ𝔼𝕊𝕌́𝕄𝔼ℕ𝔼𝕊 𝔽𝕀𝕊𝕀ℂ𝔸 𝟚 𝔹𝔸ℂℍ. 𝔹𝕌𝔼ℕ𝕆𝕊, 𝔹𝕆ℕ𝕀𝕋𝕆𝕊 𝕐 𝔾ℝ𝔸𝕋𝕀𝕊,, 𝔸 𝔾𝕆𝕃ℙ𝔼 𝔻𝔼 𝕍𝕀𝕊𝕋𝔸 𝕋𝕆𝔻𝕆 𝕊𝕀ℕ ℙ𝔸𝕁𝔸. 𝔼𝕔𝕙𝕒𝕝𝕖 𝕦𝕟 𝕧𝕚𝕤𝕥𝕒𝕫𝕠 𝕒 𝕞𝕚 𝕡𝕖𝕣𝕗𝕚𝕝, 𝕙𝕒𝕪 𝕔𝕠𝕤𝕒𝕤 𝕤𝕦́𝕡𝕖𝕣 𝕚𝕟𝕥𝕖𝕣𝕖𝕤𝕒𝕟𝕥𝕖𝕤 @

examenes

-

Exámenes EvAU resueltos

He publicado nuevos examenes de Física: Exámenes EvAU resueltos

Campo-Gravitatorio-5.pdf
Campo-Gravitatorio-6.pdf

‼️🚀 📐 🎉 𝔽𝕀𝕊𝕀ℂ𝔸 𝔽 𝕀𝔼𝕊𝕋𝔸 𝔻𝔼𝕃 ℂ𝕆ℕ𝕆ℂ𝕀𝕄𝔼ℕ𝕋𝕆🎉 @𝕙𝕖𝕪𝕚𝕥𝕤𝕒𝕝𝕒𝕞𝕒. ℝ𝔼𝕊𝕌́𝕄𝔼ℕ𝔼𝕊 𝔽

‼️🚀 📐 🎉 𝔽𝕀𝕊𝕀ℂ𝔸 𝔽 𝕀𝔼𝕊𝕋𝔸 𝔻𝔼𝕃 ℂ𝕆ℕ𝕆ℂ𝕀𝕄𝔼ℕ𝕋𝕆🎉 @𝕙𝕖𝕪𝕚𝕥𝕤𝕒𝕝𝕒𝕞𝕒. ℝ𝔼𝕊𝕌́𝕄𝔼ℕ𝔼𝕊 𝔽𝕀𝕊𝕀ℂ𝔸 𝟚 𝔹𝔸ℂℍ. 𝔹𝕌𝔼ℕ𝕆𝕊, 𝔹𝕆ℕ𝕀𝕋𝕆𝕊 𝕐 𝔾ℝ𝔸𝕋𝕀𝕊,, 𝔸 𝔾𝕆𝕃ℙ𝔼 𝔻𝔼 𝕍𝕀𝕊𝕋𝔸 𝕋𝕆𝔻𝕆 𝕊𝕀ℕ ℙ𝔸𝕁𝔸. 𝔼𝕔𝕙𝕒𝕝𝕖 𝕦𝕟 𝕧𝕚𝕤𝕥𝕒𝕫𝕠 𝕒 𝕞𝕚 𝕡𝕖𝕣𝕗𝕚𝕝, 𝕙𝕒𝕪 𝕔𝕠𝕤𝕒𝕤 𝕤𝕦́𝕡𝕖𝕣 𝕚𝕟𝕥𝕖𝕣𝕖𝕤𝕒𝕟𝕥𝕖𝕤 @‼

‼️🚀 📐 ℝ𝔼𝕊𝕌́𝕄𝔼ℕ𝔼𝕊 𝔽𝕀𝕊𝕀ℂ𝔸 𝟚 𝔹𝔸ℂℍ. 𝔹𝕌𝔼ℕ𝕆𝕊, 𝔹𝕆ℕ𝕀𝕋𝕆𝕊 𝕐 𝔾ℝ𝔸𝕋𝕀𝕊,, 𝔸 𝔾𝕆𝕃ℙ𝔼 𝔻𝔼

‼️🚀 📐 ℝ𝔼𝕊𝕌́𝕄𝔼ℕ𝔼𝕊 𝔽𝕀𝕊𝕀ℂ𝔸 𝟚 𝔹𝔸ℂℍ. 𝔹𝕌𝔼ℕ𝕆𝕊, 𝔹𝕆ℕ𝕀𝕋𝕆𝕊 𝕐 𝔾ℝ𝔸𝕋𝕀𝕊,, 𝔸 𝔾𝕆𝕃ℙ𝔼 𝔻𝔼 𝕍𝕀𝕊𝕋𝔸 𝕋𝕆𝔻𝕆 𝕊𝕀ℕ ℙ𝔸𝕁𝔸. 𝔼𝕔𝕙𝕒𝕝𝕖 𝕦𝕟 𝕧𝕚𝕤𝕥𝕒𝕫𝕠 𝕒 𝕞𝕚 𝕡𝕖𝕣𝕗𝕚𝕝, 𝕙𝕒𝕪 𝕔𝕠𝕤𝕒𝕤 𝕤𝕦́𝕡𝕖𝕣 𝕚𝕟𝕥𝕖𝕣𝕖𝕤𝕒𝕟𝕥𝕖𝕤

ℝ𝔼𝕊𝕌́𝕄𝔼ℕ𝔼𝕊 𝔽𝕀𝕊𝕀ℂ𝔸 𝟚 𝔹𝔸ℂℍ. 𝔹𝕌𝔼ℕ𝕆𝕊, 𝔹𝕆ℕ𝕀𝕋𝕆𝕊 𝕐 𝔾ℝ𝔸𝕋𝕀𝕊,, 𝔸 𝔾𝕆𝕃ℙ𝔼 𝔻𝔼 𝕍𝕀𝕊