Todo
Apuntes
Ejercicios
Exámenes
chevron_left
chevron_right
Anónimo

@Anónimo

apuntes

-

Todo Física

todos los temas del cuatrimestre, todas las diapositivas

T1-Oscilaciones.pdf
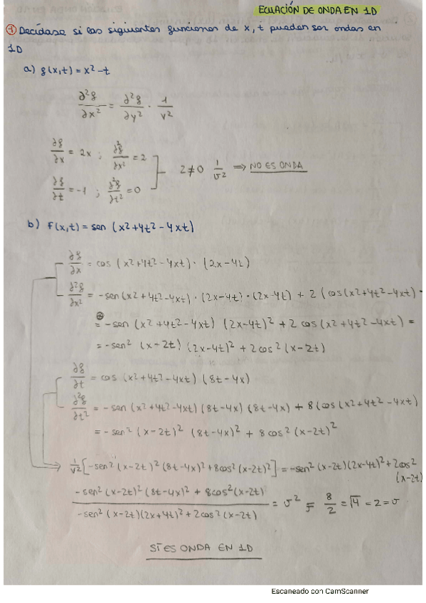
T2-Movimiento-Ondulatorio.pdf
T3-Acustica.pdf
T4-Superposicion-de-Ondas.pdf
T5-Campo-Electroestatico.pdf
T6-Potencial-Electroestatico.pdf

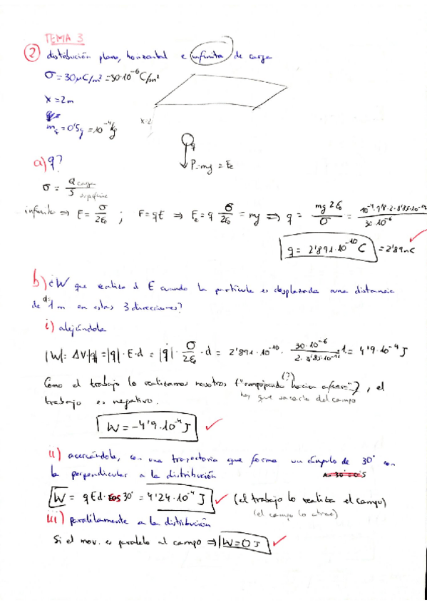
Este problema lo dio opcional ha hacer. Nos subió hasta un punto en el primer parcial. El único error que tiene es que el coeficiente de amortiguamiento es en s^-1

2 páginas
Anónimo

@Anónimo

He publicado nuevos examenes de 1º Física: examen-resuelto-febrero-2016-FISICA.pdf

8 páginas

He publicado nuevos apuntes de 1º Física: FORMULARIO-todos-los-temas-fisica.pdf

6 páginas

ejercicios

-

Relaciones resueltas

He publicado nuevos ejercicios de 1º Física: Relaciones resueltas

Tema3-EjerciciosClase01.pdf
Tema3-EjerciciosClase02.pdf
Tema4-EjerciciosResueltosClase.pdf
Tema5-ResueltosClase.pdf
Tema6-ProblemasEsquemas.pdf
Tema6-ProblemasResueltosClase.pdf

ejercicios

-

Resueltos Temas 5-9

He publicado nuevos ejercicios de 1º Física: Resueltos Temas 5-9

problemasconductoresexamen.pdf
potencialelectrostaticoproblemasexamen.pdf
problemascondensadoresexamen.pdf

Electricidad

2 páginas

apuntes

-

Inducción

He publicado nuevos apuntes de 1º Física: Inducción

tema-7-induccion.pdf
Ejercici-t7.pdf

apuntes

-

Campo Magnético

He publicado nuevos apuntes de 1º Física: Campo Magnético

ejercicios-t6.pdf
Tema-6-magnetico.pdf

apuntes

-

Corriente continua

He publicado nuevos apuntes de 1º Física: Corriente continua

Ejercicios-tema-5.pdf
tema-t-corriente-continua.pdf

apuntes

-

Conductores

He publicado nuevos apuntes de 1º Física: Conductores

Tema4.pdf
Ejercicios-t4.pdf

apuntes

-

Electroestático

He publicado nuevos apuntes de 1º Física: Electroestático

Tema-3-Campo-Electromagnetico.pdf
Ejercicis-tema-3.pdf

apuntes

-

Tema 2. Ondas mecánicas

He publicado nuevos apuntes de 1º Física: Tema 2. Ondas mecánicas

Tema2-O.pdf
Ejercicios-tema-2.pdf

apuntes

-

Tema 1 Mov oscilatorio

He publicado nuevos apuntes de 1º Física: Tema 1 Mov oscilatorio

Resumen-T1.pdf
Ejercicis-tema-1.pdf
Tema1-Movimiento-oscilatorio.pdf

He publicado nuevos apuntes de 1º Física: campomagnetico.pdf

pdf

He publicado nuevos apuntes de 1º Física: tema5f.pdf

3 páginas

He publicado nuevos apuntes de 1º Física: tema4.pdf

5 páginas

He publicado nuevos apuntes de 1º Física: Formulario-Fisica-T1-y-T2-1.pdf

3 páginas

apuntes

-

Temario Completo 2021

He publicado nuevos apuntes de 1º Física: Temario Completo 2021

T05CorrienteContinua.pdf
T02Ondas.pdf
T02Ondas.pdf
T06CampoMagnetico.pdf
T02Ondas.pdf
T02Ondas-Sonido-parte1.pdf

ejercicios

-

Ejercicios Resueltos por Profesor 2021

He publicado nuevos ejercicios de 1º Física: Ejercicios Resueltos por Profesor 2021

relondassonido.pdf
problemascorrientecontinua.pdf
Relacion-3-resuelta-paso-a-paso-2020-21-201215155547.pdf
relacion-oscilaciones.pdf
Relacion-4-resuelta-paso-a-paso-2020-21-210202172105.pdf
Relacion-1-resuelta-paso-a-paso-2020-21201124145722.pdf

ejercicios

-

Ejercicios resueltos

He publicado nuevos ejercicios de 1º Física: Ejercicios resueltos

fisica-relacion-1.pdf
fisica-relacion-2.pdf

examenes

-

Exámenes resueltos

He publicado nuevos examenes de 1º Física: Exámenes resueltos

Examen-Final-Fisica-Septiembre-2013.pdf
Examen-Final-Fisica-Septiembre-2015.pdf
Examen-Final-Fisica-Septiembre-2016.pdf
Examen-Final-Fisica-Enero-2017.pdf
Examen-Final-Fisica-Septiembre-2017.pdf
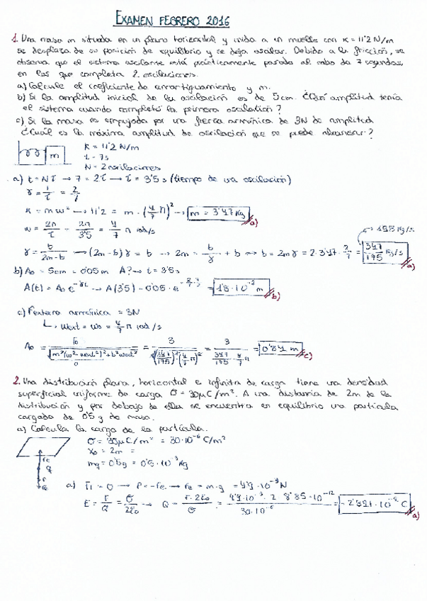
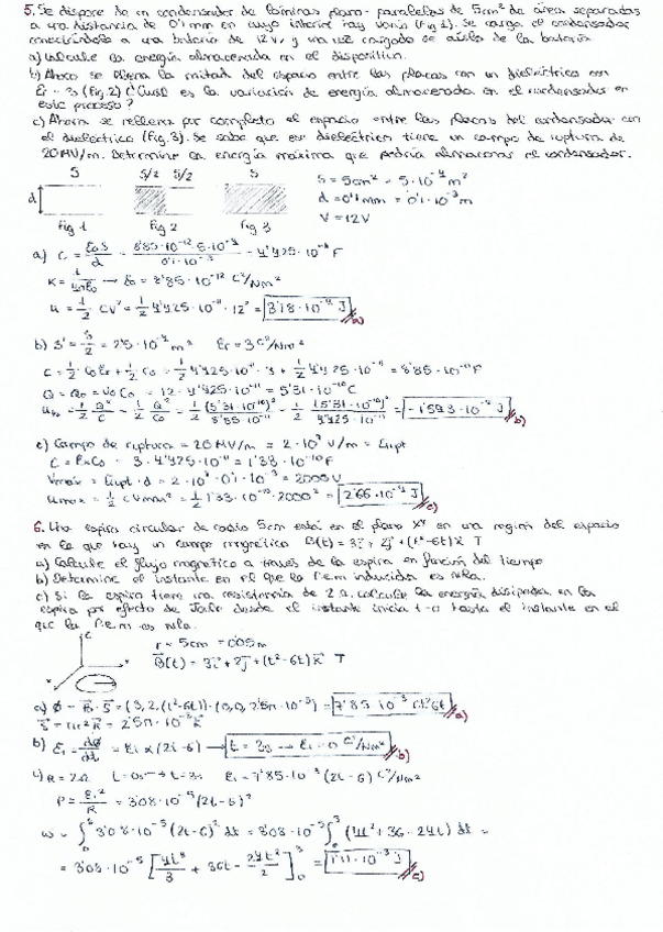
Examen-Final-Fisica-Febrero-2016.pdf

ejercicios

-

Ejercicios Física Resueltos

Algunos ejercicios de las relaciones resueltos

TEMA-2-ondas-y-sonido.pdf
TEMA-3-campo-electrostatico-.pdf
TEMA-4-conductores-condensadores-y-dielectricos-.pdf
TEMA-5-corriente-continua-.pdf
TEMA-6-campo-magnetico-.pdf

apuntes

-

Tema 1 - MOVIMIENTO OSCILATORIO

He publicado nuevos apuntes de 1º Física: Tema 1 - MOVIMIENTO OSCILATORIO

formulario-tema-1.pdf
tema-1-movimiento-oscilatorio.pdf

He publicado nuevos examenes de 1º Física: Examen-de-teoria-hasta-Acustica-no-incluida-AUTOEVALUACION.pdf

8 páginas

He publicado nuevos apuntes de 1º Física: librocarpena1.pdf

81 páginas

He publicado nuevos apuntes de 1º Física: Formulario-TODOS-LOS-TEMAS.pdf

7 páginas

examenes

-

Parciales resueltos 2019/20

He publicado nuevos examenes de 1º Física: Parciales resueltos 2019/20

Tercer-parcial.pdf
Primer-parcial.pdf
Segundo-parcial-V2.pdf
Segundo-parcial-V1.pdf

apuntes

-

Libro (teoría + ejercicios)

He publicado nuevos apuntes de 1º Física: Libro (teoría + ejercicios)

Campo-Electrico-I.pdf
Induccion.pdf
Campo-Electrico-II.pdf
Potencial-Electrico.pdf
Fuentes-de-Campo-magnetico.pdf
Corriente-Electrica-e-Induccion.pdf

apuntes

-

Formularios

He publicado nuevos apuntes de 1º Física: Formularios

Formulario-Fisica-2.pdf
Formulario.pdf

apuntes

-

Apuntes Completos para aprobar

He publicado nuevos apuntes de 1º Física: Apuntes Completos para aprobar

Cinematica.pdf
Cargas.pdf
Algebra-Vectorial.pdf
Campos.pdf
Campos-Magneticos.pdf
Ecuaciones-Maxwell.pdf

apuntes

-

Resumen Todos los temas

He publicado nuevos apuntes de 1º Física: Resumen Todos los temas

Resumen-Circuitos.pdf
Resumen-Campo-magnetico.pdf
Resumen-Dielectricos-II.pdf
Resumen-Capilaridad.pdf
Resumen-Dielectricos-I.pdf
Resumen-Campo-electrico.pdf

He publicado nuevos apuntes de 1º Física: 20200203124032001.pdf

5 páginas

ejercicios

-

Relaciones Resueltas paso a paso 2020

He publicado nuevos ejercicios de 1º Física: Relaciones Resueltas paso a paso 2020

Soluciones-Relacion-3.pdf
Soluciones-Relacion-1.pdf
Relacion-2-Ondas-y-sonido.pdf
Relacion-4-Condensadores.pdf
Soluciones-Relacion-4.pdf
Soluciones-Relacion-2.pdf

He publicado nuevos apuntes de 1º Física: FORMULARIO-.pdf

3 páginas

He publicado nuevos examenes de 1º Física: examen-febrero-2016.pdf

4 páginas

He publicado nuevos apuntes de 1º Física: fisica.pdf

19 páginas

examenes

-

Examen Enero 2017 RESUELTO

He publicado nuevos examenes de 1º Física: Examen Enero 2017 RESUELTO

Examen-Enero-2017.pdf
Examen-Enero-20172.pdf
Examen-Enero-20171.pdf

He publicado nuevos apuntes de 1º Física: resumen-completo.pdf

34 páginas

He publicado nuevos apuntes de 1º Física: Examenes-2011-2018-resueltos.pdf

59 páginas

apuntes

-

Tablas y Formulario

He publicado nuevos apuntes de 1º Física: Tablas y Formulario

Todas-las-formulas-Fisica-I.pdf
Tablas-datos-Termodinamica.pdf
Tabla-modulos-elasticos.pdf

examenes

-

Recopilacion Examenes Resueltos

He publicado nuevos examenes de 1º Física: Recopilacion Examenes Resueltos

Examen-solucionado-I.pdf
Examen-solucionado-II.pdf
Examen-solucionado-III.pdf
Examenes-Fisica-con-solucion.pdf
Examen-solucionado-IV.pdf

ejercicios

-

Relaciones de ejercicios Resueltas

He publicado nuevos ejercicios de 1º Física: Relaciones de ejercicios Resueltas

Relacion5corrientecontinua.pdf
relacion2ondassonido.pdf
Relacion3-CampoElectrostatico.pdf
relacion1-oscilaciones.pdf
Relacion4condensadores.pdf

apuntes

-

Apuntes Temario Completo

He publicado nuevos apuntes de 1º Física: Apuntes Temario Completo

Tema4condensadores.pdf
Tema2Ondas.pdf
Tema1MovimientoOscilatorio.pdf
Tema5CorrienteContinua.pdf
Tema3campoelectrostatico.pdf

apuntes

-

primer parcial

He publicado nuevos apuntes de 1º Física: primer parcial

parcialnov18.pdf
problemapropuesto.xls
bandasoctavayterciooctava.ppt
problemapropuesto-1.xls
parcialnov18resuelto.pdf

He publicado nuevos apuntes de 1º Física: librocarpena1.pdf

81 páginas

apuntes

-

FORMULARIO 3er PARCIAL

He publicado nuevos apuntes de 1º Física: FORMULARIO 3er PARCIAL

1.jpg
2.jpg

apuntes

-

FORMULARIO 2º PARCIAL

He publicado nuevos apuntes de 1º Física: FORMULARIO 2º PARCIAL

1.jpg
2.jpg

apuntes

-

FORMULARIO 1er PARCIAL

He publicado nuevos apuntes de 1º Física: FORMULARIO 1er PARCIAL

2.jpg
1.jpg