Físico química I

chevron_left
chevron_right
Todo
Ejercicios
chevron_left
chevron_right

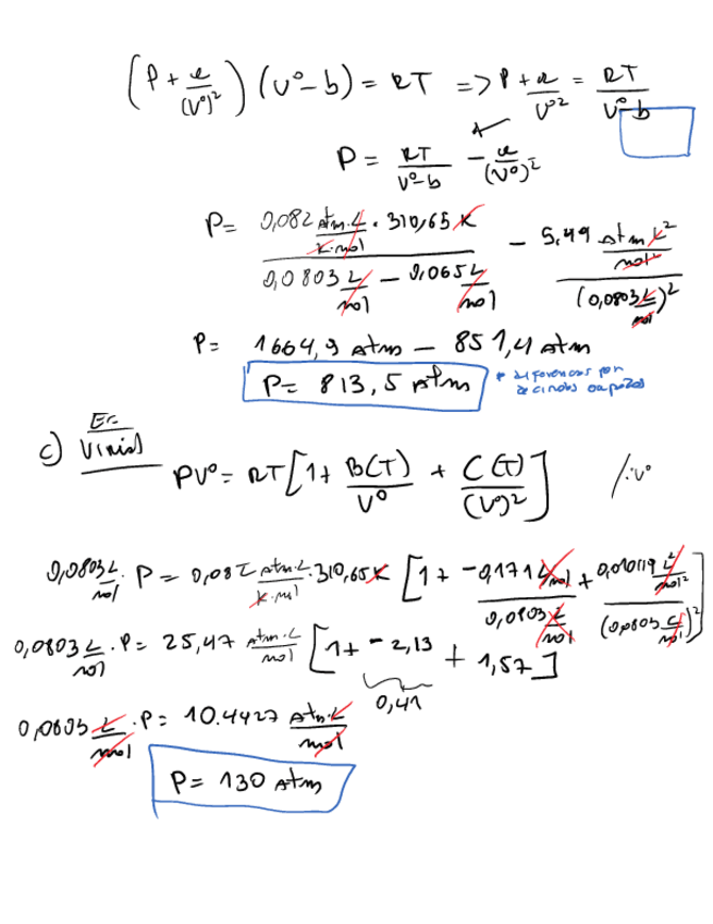
He publicado nuevos ejercicios de 2º Físico química I: Resolucion-Gases-II.pdf

9 páginas

He publicado nuevos ejercicios de 2º Físico química I: Resolucion-Gases-I.pdf

16 páginas

He publicado nuevos ejercicios de 2º Físico química I: Guia-Gases-II.pdf

2 páginas

He publicado nuevos ejercicios de 2º Físico química I: Guia-Gases-I.pdf

1 página
¡Estás al día!

¡Estás al día!

Has visto todos los archivos