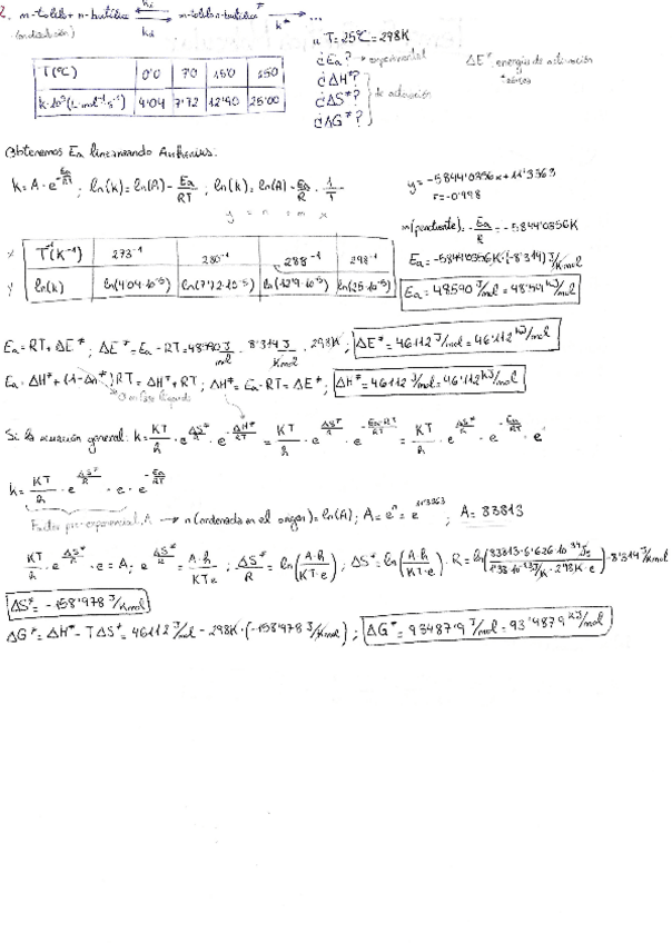
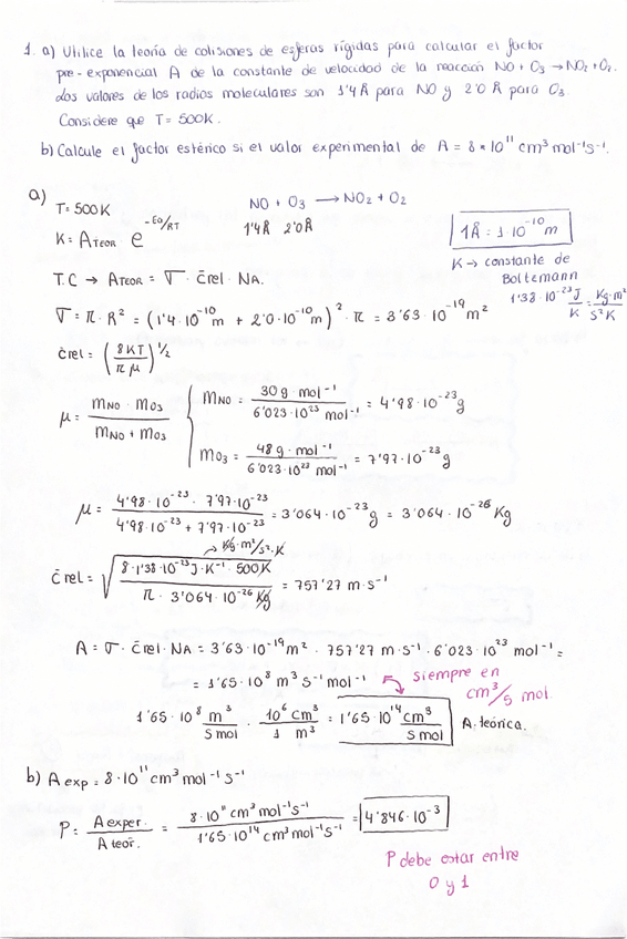
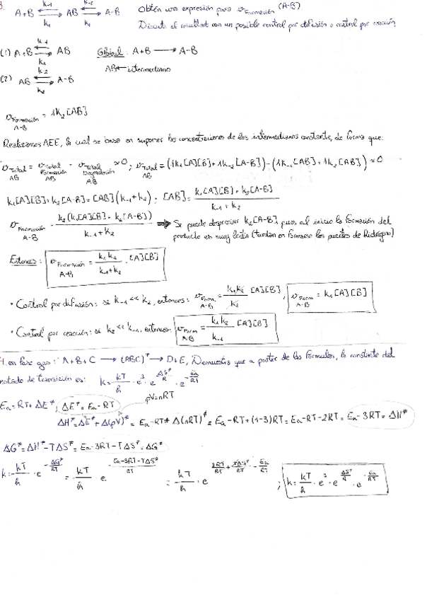
Fisico- Quimica II

chevron_left
chevron_right
Todo
Apuntes
Ejercicios
Exámenes
Prácticas
Test
chevron_left
chevron_right
Anónimo

@Anónimo

He publicado nuevos apuntes de 2º Fisico- Quimica II: 2parcial-repaso.pdf

3 páginas

Del tema 5 al 7

15 páginas

Varios años

5 páginas

Cuestionario aula virtual

4 páginas
Anónimo

@Anónimo

He publicado nuevos apuntes de 2º Fisico- Quimica II: mecanismos-y-formulas.pdf

3 páginas
Anónimo

@Anónimo

He publicado nuevos apuntes de 2º Fisico- Quimica II: 1-Tipo-TEST.-Responda-V-o-F-razonando-brevemente-la-respuesta.-25-puntos.pdf

11 páginas

He publicado nuevos apuntes de 2º Fisico- Quimica II: Resumen-FQII.pdf

15 páginas
Anónimo

@Anónimo

He publicado nuevos apuntes de 2º Fisico- Quimica II: 20182019Prueba.pdf

2 páginas

He publicado nuevos apuntes de 2º Fisico- Quimica II: tema-7-fq2.pdf

4 páginas

He publicado nuevos apuntes de 2º Fisico- Quimica II: tema-6-fq2.pdf

6 páginas

He publicado nuevos apuntes de 2º Fisico- Quimica II: tema-5-fq2.pdf

4 páginas

He publicado nuevos apuntes de 2º Fisico- Quimica II: tema-4-fq2.pdf

4 páginas

He publicado nuevos apuntes de 2º Fisico- Quimica II: tema-3-fq2.pdf

5 páginas

He publicado nuevos apuntes de 2º Fisico- Quimica II: tema-2-fq2.pdf

8 páginas

He publicado nuevos apuntes de 2º Fisico- Quimica II: tema-1-fq2.pdf

7 páginas

He publicado nuevos practicas de 2º Fisico- Quimica II: practicas-fq2.pdf

2 páginas

He publicado nuevos apuntes de 2º Fisico- Quimica II: formulario-fq2.pdf

2 páginas

He publicado nuevos ejercicios de 2º Fisico- Quimica II: ejercicios-fq2.pdf

15 páginas
Anónimo

@Anónimo

He publicado nuevos apuntes de 2º Fisico- Quimica II: Enunciados-2.0.pdf

11 páginas
Anónimo

@Anónimo

He publicado nuevos apuntes de 2º Fisico- Quimica II: Enunciados.pdf

6 páginas
Anónimo

@Anónimo

He publicado nuevos apuntes de 2º Fisico- Quimica II: 20202021Examen-Prueba-de-Progreso1.pdf

2 páginas

apuntes

-

SEMINARIOS RESUELTOS

He publicado nuevos apuntes de 2º Fisico- Quimica II: SEMINARIOS RESUELTOS

Seminario-1-FQ2.pdf
Seminario-2-FQ2.pdf
Seminario-3-FQ2.pdf
Seminario-4-FQ2.pdf
Seminario-5-FQ2.pdf
Seminario-6-FQ2.pdf

He publicado nuevos ejercicios de 2º Fisico- Quimica II: Problemas-Tema-1-y-2-resueltos.pdf

3 páginas

He publicado nuevos apuntes de 2º Fisico- Quimica II: Formulario-Ordinario.pdf

6 páginas

He publicado nuevos apuntes de 2º Fisico- Quimica II: Preguntas-teoria.pdf

2 páginas

He publicado nuevos ejercicios de 2º Fisico- Quimica II: Examenes-resueltos.pdf

11 páginas
Anónimo

@Anónimo

He publicado nuevos examenes de 2º Fisico- Quimica II: Examen-17-marzo-21.pdf

3 páginas

He publicado nuevos ejercicios de 2º Fisico- Quimica II: SEMINARIO-5-FQII.pdf

9 páginas

He publicado nuevos examenes de 2º Fisico- Quimica II: CHULETARIO-Y-EXAMENES-RESUELTOS.pdf

39 páginas

He publicado nuevos apuntes de 2º Fisico- Quimica II: Apuntes-FQ2-1-parcial.pdf

18 páginas
Anónimo

@Anónimo

He publicado nuevos examenes de 2º Fisico- Quimica II: Examenes-Resueltos-FQ-II.pdf

36 páginas
Anónimo

@Anónimo

He publicado nuevos ejercicios de 2º Fisico- Quimica II: Actividades-bloque-1.pdf

5 páginas

He publicado nuevos ejercicios de 2º Fisico- Quimica II: Seminario-2.pdf

8 páginas

He publicado nuevos ejercicios de 2º Fisico- Quimica II: Seminario-1.pdf

8 páginas

He publicado nuevos apuntes de 2º Fisico- Quimica II: TEMA-8-DE-FISICOQUIMICA-II.docx

word

He publicado nuevos apuntes de 2º Fisico- Quimica II: TEMA-7-DE-FISICOQUIMICA-II.docx

word

He publicado nuevos apuntes de 2º Fisico- Quimica II: TEMA-5-DE-FISICOQUIMICA-II.docx

word

He publicado nuevos apuntes de 2º Fisico- Quimica II: TEMA-1-DE-FISICOQUIMICA-II.docx

word

He publicado nuevos apuntes de 2º Fisico- Quimica II: TEMA-4-DE-FISICOQUIMICA-II.docx

word
Anónimo

@Anónimo

He publicado nuevos examenes de 2º Fisico- Quimica II: Examenes-2-Parcial-Fq2.pdf

23 páginas

He publicado nuevos apuntes de 2º Fisico- Quimica II: Fisicoquimica-II-seminarios-y-apuntes.pdf

75 páginas

He publicado nuevos apuntes de 2º Fisico- Quimica II: Seminario-4.pdf

10 páginas

He publicado nuevos apuntes de 2º Fisico- Quimica II: Seminario-3.pdf

14 páginas

He publicado nuevos apuntes de 2º Fisico- Quimica II: Seminario-6.pdf

16 páginas

He publicado nuevos apuntes de 2º Fisico- Quimica II: Seminario-5.pdf

8 páginas

He publicado nuevos apuntes de 2º Fisico- Quimica II: ACTIVIDADESTema-1-Y-2.pdf

7 páginas

He publicado nuevos apuntes de 2º Fisico- Quimica II: Seminario-1.pdf

13 páginas

He publicado nuevos apuntes de 2º Fisico- Quimica II: Seminario-2.pdf

13 páginas

He publicado nuevos apuntes de 2º Fisico- Quimica II: Seminario-7.pdf

10 páginas

He publicado nuevos apuntes de 2º Fisico- Quimica II: Chuletario-FQII.pdf

4 páginas

apuntes

-

Resúmenes teoría completa FQII

He publicado nuevos apuntes de 2º Fisico- Quimica II: Resúmenes teoría completa FQII

Tema-8-FQII.pdf
Tema-6-FQII.pdf
Tema-2-FQII.pdf
Tema-3-FQII.pdf
Tema-4-FQII.pdf
Tema-5-FQII.pdf

He publicado nuevos ejercicios de 2º Fisico- Quimica II: Relacion-problemas-T1-T2.pdf

4 páginas

apuntes

-

EJERCICIOS - SEMINARIOS

He publicado nuevos apuntes de 2º Fisico- Quimica II: EJERCICIOS - SEMINARIOS

Tema-4-FQII.pdf
Tema-3-FQII.pdf
Tema-2-FQII.pdf
Tema-1-FQII.pdf

He publicado nuevos examenes de 2º Fisico- Quimica II: SolucionarioproblemaPP1-FQ2.pdf

3 páginas

He publicado nuevos examenes de 2º Fisico- Quimica II: Resumen-formulas-T5-T8.pdf

9 páginas

He publicado nuevos examenes de 2º Fisico- Quimica II: Pruebas-de-progreso-2011.2012.docx

word

He publicado nuevos examenes de 2º Fisico- Quimica II: problema5-3.pdf

3 páginas

He publicado nuevos examenes de 2º Fisico- Quimica II: PRIMER-PARCIAL-QUI-FI-II.docx

word

He publicado nuevos examenes de 2º Fisico- Quimica II: preguntas-FQIITeoria.pdf

1 página

He publicado nuevos examenes de 2º Fisico- Quimica II: preguntas-FQII.jpg

Imagen