chevron_left
chevron_right
Todo
Apuntes
Ejercicios
Exámenes
Prácticas
publication
chevron_left
chevron_right

He publicado nuevos examenes de 2º Fonaments de Comunicacions: PREGUNTAS-EXAMEN-AUTOESCUELA.pdf

6 páginas

He publicado nuevos apuntes de 2º Fonaments de Comunicacions: formulariofoncomParcial1.pdf

6 páginas
Anónimo

@Anónimo

examenes

-

FONCOM | Recull examens T1-T3

He publicado nuevos examenes de 2º Fonaments de Comunicacions: FONCOM | Recull examens T1-T3

FONCOM-Recull-finals-T1-T3.pdf
FONCOM-Recull-parcials-T1-T3.pdf
FONCOM-Solucions-recull-finals-T1-T3.pdf
FONCOM-Solucions-recull-parcials-T1-T3.pdf

He publicado nuevos examenes de 2º Fonaments de Comunicacions: FunCom-Parcial1-2025-Resuelto.pdf

8 páginas

apuntes

-

FONCOM | Teoría T2-T3

He publicado nuevos apuntes de 2º Fonaments de Comunicacions: FONCOM | Teoría T2-T3

FONCOM-Resum-T2.pdf
FONCOM-Resum-T3.pdf

He publicado nuevos apuntes de 2º Fonaments de Comunicacions: FONCOMTEMA-3.pdf

11 páginas

Explicaciones del temario con ejemplos y demostraciones

20 páginas

He publicado nuevos apuntes de 2º Fonaments de Comunicacions: FONCOMTEMA2.pdf

4 páginas

He publicado nuevos apuntes de 2º Fonaments de Comunicacions: FONCOMTEMA1.pdf

4 páginas

He publicado nuevos apuntes de 2º Fonaments de Comunicacions: Tema-2.pdf

11 páginas

Apuntes hasta ahora del Tema 1 ;D

12 páginas

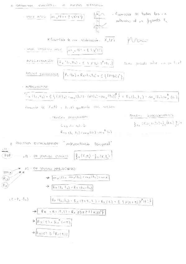
He publicado nuevos apuntes de 2º Fonaments de Comunicacions: Capitulo-1SENALESALEATORIAS.pdf

7 páginas

No resolt. Molta sort i q l'special estigui de la vostra part

2 páginas

He publicado nuevos apuntes de 2º Fonaments de Comunicacions: FonCom-Digitales.pdf

4 páginas

He publicado nuevos apuntes de 2º Fonaments de Comunicacions: FONCOM-analogicas.pdf

5 páginas

He publicado nuevos apuntes de 2º Fonaments de Comunicacions: TEMA-1-RESUMEN-Y-EJS.pdf

12 páginas

He publicado nuevos apuntes de 2º Fonaments de Comunicacions: foncom-tema-1.pdf

5 páginas

He publicado nuevos examenes de 2º Fonaments de Comunicacions: ExamenTestRecuperacionJulio2020.pdf

5 páginas

He publicado nuevos examenes de 2º Fonaments de Comunicacions: Examen-TEST-Abril-2020-Foncom-Soluciones-no-esta-en-el-cv☭.pdf

5 páginas

ejercicios

-

foncom - quizzes

He publicado nuevos ejercicios de 2º Fonaments de Comunicacions: foncom - quizzes

foncom-quizz-1.pdf

apuntes

-

foncom - teoría

He publicado nuevos apuntes de 2º Fonaments de Comunicacions: foncom - teoría

FONCOM-Resum-T.pdf
FONCOM-Resum-T.pdf
FONCOM-Resum-T.pdf
FONCOM-Resum-T.pdf
Macro-Formulario.pdf
foncom-tema-1.pdf

ejercicios

-

foncom - problemas

He publicado nuevos ejercicios de 2º Fonaments de Comunicacions: foncom - problemas

Coleccion-de-Problemas-y-Examenes-resueltos.pdf

He publicado nuevos examenes de 2º Fonaments de Comunicacions: 2021controltemaRECUP1v170621-3.pdf

7 páginas

He publicado nuevos apuntes de 2º Fonaments de Comunicacions: Resum-Comus-Part-1.pdf

6 páginas

hay que echar a garyYanki chavales

quien se une xDDD

He publicado nuevos apuntes de 2º Fonaments de Comunicacions: Fundamentos-de-las-redes.pdf

9 páginas

Tomar como referencia, puede haber errores.

2 páginas

Tomar como referencia. No es 100% seguro que esté todo correcto.

9 páginas

He publicado nuevos practicas de 2º Fonaments de Comunicacions: q6.jpg

Imagen

He publicado nuevos apuntes de 2º Fonaments de Comunicacions: Resum.pdf

3 páginas

He publicado nuevos apuntes de 2º Fonaments de Comunicacions: ResumT1.pdf

3 páginas
¡Estás al día!

¡Estás al día!

Has visto todos los archivos