Fonaments de Matemàtiques

chevron_left
chevron_right
Todo
Apuntes
Ejercicios
Exámenes
Prácticas
chevron_left
chevron_right

He publicado nuevos examenes de 1º Fonaments de Matemàtiques: Fonaments-de-matematiques-2n-parcial.jpg

Imagen

He publicado nuevos examenes de 1º Fonaments de Matemàtiques: Fonaments-de-matematiques-1r-parcial.jpg

Imagen

He publicado nuevos practicas de 1º Fonaments de Matemàtiques: Examen-practiques-SageMath.HEIC

Miniatura no disponible
Anónimo

@Anónimo

Apunts FFAD segon parcial

23 páginas
Anónimo

@Anónimo

examenes

-

Fonaments de matemàtiques

Enunciats primer parcial Fonaments de matemàtiques enginyeria de dades UAB

1r-Parcial.jpg
1r-parcial-exercici-1-i-2-resolts.jpeg
1r-parcial-exercici-3-i-4-resolts.jpeg

He publicado nuevos examenes de 1º Fonaments de Matemàtiques: Scanned-Document.pdf

1 página

Resum de les classes de teoria amb exemples, fet pel profe per seguiment

105 páginas

He publicado nuevos examenes de 1º Fonaments de Matemàtiques: ExamensFonamentsEnginyeriaDades20242025Segonparcial.pd.pdf

1 página

He publicado nuevos examenes de 1º Fonaments de Matemàtiques: ExamensFonamentsEnginyeriaDades20242025Primer-parcial.pdf

3 páginas

He publicado nuevos examenes de 1º Fonaments de Matemàtiques: Prova-de-problemesFonamentsEng-Dadesa-partir-curs-20242025.pdf

2 páginas

He publicado nuevos ejercicios de 1º Fonaments de Matemàtiques: Integraciosolucions.pdf

8 páginas

1r Parcial de Fonaments de Matemàtiques d'enginyeria de dades 24/25

1 página

He publicado nuevos apuntes de 1º Fonaments de Matemàtiques: Llista2solucio.pdf

19 páginas

He publicado nuevos ejercicios de 1º Fonaments de Matemàtiques: llista01sol.pdf

14 páginas

He publicado nuevos examenes de 1º Fonaments de Matemàtiques: 2nParcialSol09012024.pdf

5 páginas
Anónimo

@Anónimo

He publicado nuevos apuntes de 1º Fonaments de Matemàtiques: Matesapuntssegonapart.pdf

9 páginas

He publicado nuevos apuntes de 1º Fonaments de Matemàtiques: Intrgracio-arees-i-volums.pdf

5 páginas

He publicado nuevos apuntes de 1º Fonaments de Matemàtiques: Apunts-Funcions-amb-dues-o-mes-variables.pdf

7 páginas

He publicado nuevos examenes de 1º Fonaments de Matemàtiques: 1erParcialSolucio2023.pdf

3 páginas

He publicado nuevos examenes de 1º Fonaments de Matemàtiques: 1erParcial2023.jpeg

Imagen

He publicado nuevos apuntes de 1º Fonaments de Matemàtiques: Resum-EV.pdf

5 páginas

He publicado nuevos examenes de 1º Fonaments de Matemàtiques: 1r-parcial-FM-2023.pdf

1 página

He publicado nuevos apuntes de 1º Fonaments de Matemàtiques: Apunts-teoria.pdf

40 páginas

He publicado nuevos apuntes de 1º Fonaments de Matemàtiques: DERIVADES.pdf

1 página

He publicado nuevos apuntes de 1º Fonaments de Matemàtiques: Funcion-continua-pdf.pdf

12 páginas

He publicado nuevos ejercicios de 1º Fonaments de Matemàtiques: exercicis-resolts-corregits.pdf

9 páginas

He publicado nuevos ejercicios de 1º Fonaments de Matemàtiques: exercicis-resolts-nota-10.pdf

11 páginas

He publicado nuevos apuntes de 1º Fonaments de Matemàtiques: Teoria.pdf

27 páginas

apuntes

-

Exàmens 2022/2023 (SOL)

He publicado nuevos apuntes de 1º Fonaments de Matemàtiques: Exàmens 2022/2023 (SOL)

1erparcial28102022sol.pdf
ExaDades27012023Recuslsol1.pdf
ExaDades130120232Parcialsol.pdf
EXAMEN-PRIMER-PARCIAL.pdf
EXAMEN-SEGON-PARCIAL.pdf

apuntes

-

Exàmens cursos anteriors (SOL)

He publicado nuevos apuntes de 1º Fonaments de Matemàtiques: Exàmens cursos anteriors (SOL)

1erparcial29102021Sol.pdf
Solucions2001.pdf
SolucionsExamenscurs2021.pdf
Final2001202partSolcurs1920.pdf
ExaDades1801sol.pdf
ExaDades2801sol.pdf

He publicado nuevos apuntes de 1º Fonaments de Matemàtiques: apuntes-examen-final.pdf

5 páginas

apuntes

-

Tema 4

He publicado nuevos apuntes de 1º Fonaments de Matemàtiques: Tema 4

FM-integracio.pdf
FM-Llista-Integracio.pdf
ProblemesIntegralsdoble.pdf
FM-integraciodoble.pdf

apuntes

-

Tema3

He publicado nuevos apuntes de 1º Fonaments de Matemàtiques: Tema3

FM-Llista4.pdf
FM-ProblemesFetsDiferenciacioVariesVariables.pdf
FM-ProblemesFetsMultiplicadorsLagrange.pdf
FM-vv1.pdf
FM-vv2.pdf
FM-vv3.pdf

apuntes

-

Tema 2

He publicado nuevos apuntes de 1º Fonaments de Matemàtiques: Tema 2

FM-Exemplesgraf-1.pdf
FM-Funcionselementals.pdf
FM-Funcions1vpart-1.pdf
FM-Funcions1vpart-2-HopitalTaylorZeros.pdf
FM-Llista2Funcions.pdf
FM-Problemes-Resolts-Desigualtats.pdf

apuntes

-

Tema 1

He publicado nuevos apuntes de 1º Fonaments de Matemàtiques: Tema 1

FM-Llista1.pdf
FM-ProblemesFets.pdf
FM-Resum.pdf
FM-Successions.pdf

apuntes

-

Formularis

He publicado nuevos apuntes de 1º Fonaments de Matemàtiques: Formularis

FM-FormulariIntegrals.pdf
FM-identitatstrigonometriques.pdf
FM-LlistaDerivadesElementals.pdf
FM-Repas-Derivades-de-100-funcions.pdf
FM-exponencialslogarit.pdf

examenes

-

Examens amb solucions

He publicado nuevos examenes de 1º Fonaments de Matemàtiques: Examens amb solucions

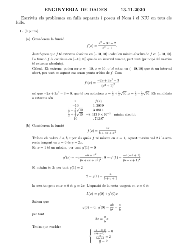
1erparcial13112020sol.pdf
Final2001202partSol.pdf
Examen19012019sol.pdf
Examen08012020.pdf

examenes

-

Examens 19-20

He publicado nuevos examenes de 1º Fonaments de Matemàtiques: Examens 19-20

Solucio1erparcial071119.pdf
1erparcial071119.pdf
Sol1P.pdf

practicas

-

Examens SageMaths

He publicado nuevos practicas de 1º Fonaments de Matemàtiques: Examens SageMaths

E2Parella29.pdf
E2Parella36.pdf

He publicado nuevos apuntes de 1º Fonaments de Matemàtiques: Enunciat-SageMath-Examen.pdf

4 páginas

ejercicios

-

LLISTA 4

He publicado nuevos ejercicios de 1º Fonaments de Matemàtiques: LLISTA 4

Llista4.pdf
SOLUCIO-LLISTA-4.pdf

ejercicios

-

LLISTA 3

He publicado nuevos ejercicios de 1º Fonaments de Matemàtiques: LLISTA 3

Llista3.pdf
SOLUCIO-LLISTA-3.pdf

ejercicios

-

LLISTA 2

He publicado nuevos ejercicios de 1º Fonaments de Matemàtiques: LLISTA 2

SOLUCIO-LLISTA-2.pdf
Llista2.pdf

ejercicios

-

LLISTA 1

He publicado nuevos ejercicios de 1º Fonaments de Matemàtiques: LLISTA 1

SOLUCIO-LLISTA-1.pdf
Llista1.pdf

apuntes

-

Cálculo

He publicado nuevos apuntes de 1º Fonaments de Matemàtiques: Cálculo

Libro-de-integrales-resueltas.pdf
integracion.pdf
Transformadas-de-laplace.pdf
Apuntes-Calculo-I.pdf
Examenes-Calculo-1part1.pdf
Parametrizacion-de-curvas.pdf

He publicado nuevos apuntes de 1º Fonaments de Matemàtiques: Apunts-Successions.pdf

8 páginas

He publicado nuevos apuntes de 1º Fonaments de Matemàtiques: Funcions-de-varies-variables.pdf

15 páginas

He publicado nuevos apuntes de 1º Fonaments de Matemàtiques: Primitives.pdf

6 páginas

He publicado nuevos apuntes de 1º Fonaments de Matemàtiques: Resum-T1-T2.pdf

12 páginas
¡Estás al día!

¡Estás al día!

Has visto todos los archivos