chevron_left
chevron_right
Todo
Apuntes
Ejercicios
Exámenes
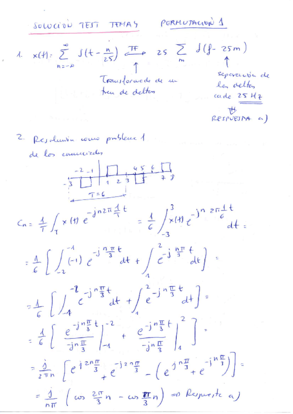
Test
chevron_left
chevron_right

test

-

Tests FSiS

He publicado nuevos test de 1º Fonaments de Senyals I Sistemes: Tests FSiS

Test1.png
Test2.png
Test3.png
Test4.png

He publicado nuevos examenes de 1º Fonaments de Senyals I Sistemes: 2022controltema4.pdf

24 páginas

He publicado nuevos examenes de 1º Fonaments de Senyals I Sistemes: 2021finaltema5-1.pdf

24 páginas

He publicado nuevos examenes de 1º Fonaments de Senyals I Sistemes: 2021finaltema4-2.pdf

24 páginas

He publicado nuevos examenes de 1º Fonaments de Senyals I Sistemes: 2021controltema5-con-figuras.pdf

16 páginas

He publicado nuevos examenes de 1º Fonaments de Senyals I Sistemes: 2021controltema4-1-con-figuras.pdf

16 páginas

He publicado nuevos examenes de 1º Fonaments de Senyals I Sistemes: 2021controltema2-con-soluciones.pdf

12 páginas
Anónimo

@Anónimo

He publicado nuevos examenes de 1º Fonaments de Senyals I Sistemes: 2021-Control-Tema5-con-soluciones.pdf

5 páginas
Anónimo

@Anónimo

He publicado nuevos examenes de 1º Fonaments de Senyals I Sistemes: 2021-Control-Tema-4-con-soluciones.pdf

5 páginas

He publicado nuevos ejercicios de 1º Fonaments de Senyals I Sistemes: Tema-2-PROBLEMAS-RESUELTOS-Transformada-de-Laplace.pdf

4 páginas

Explicacion PASO A PASO del Ejercicio 5 del Test en Linea del Tema 3

2 páginas

Explicacion PASO A PASO del Ejercicio 4 del Test en Linea del Tema 3

3 páginas

Explicacion PASO A PASO del Ejercicio 3 del Test en Linea del Tema 3

2 páginas

Explicacion PASO A PASO del Ejercicio 2 del Test en Linea del Tema 3

3 páginas

Explicacion PASO A PASO del Ejercicio 1 del Test en Linea del Tema 3

2 páginas

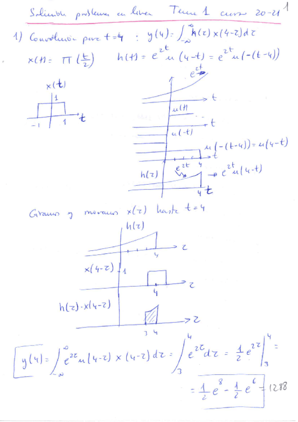
Test avaluable en línea ( Tema 1 )

2 páginas

He publicado nuevos apuntes de 1º Fonaments de Senyals I Sistemes: MINI-RESUMEN-TEMA3-FONSIS.pdf

1 página

He publicado nuevos apuntes de 1º Fonaments de Senyals I Sistemes: RESUMEN-TEMA2-FONSIS.pdf

4 páginas

Resumen Tema 1 de Fundamentos de Señales y Sistemas

8 páginas

Resumen de los cuatro casos de obtención de transformada inversa de Laplace

4 páginas

He publicado nuevos apuntes de 1º Fonaments de Senyals I Sistemes: Tipos-de-Senales-y-Sistemas.pdf

2 páginas

He publicado nuevos apuntes de 1º Fonaments de Senyals I Sistemes: mindmap-fourier.pdf

1 página

He publicado nuevos apuntes de 1º Fonaments de Senyals I Sistemes: Transformada-De-Fourier.pdf

1 página

He publicado nuevos apuntes de 1º Fonaments de Senyals I Sistemes: resumen-tema-5-fsis.pdf

1 página

He publicado nuevos apuntes de 1º Fonaments de Senyals I Sistemes: Tema-3-fsis.pdf

4 páginas

He publicado nuevos apuntes de 1º Fonaments de Senyals I Sistemes: resumen-fsis.pdf

3 páginas

He publicado nuevos apuntes de 1º Fonaments de Senyals I Sistemes: Teoria-fsis.pdf

16 páginas

He publicado nuevos apuntes de 1º Fonaments de Senyals I Sistemes: Megaresumen-Tema-5-patrocinado-por-Vicario.pdf

2 páginas

He publicado nuevos apuntes de 1º Fonaments de Senyals I Sistemes: Catedra-tema-5.png

Imagen

He publicado nuevos apuntes de 1º Fonaments de Senyals I Sistemes: Resumen-Tema-3-senales.pdf

4 páginas

examenes

-

Examens

He publicado nuevos examenes de 1º Fonaments de Senyals I Sistemes: Examens

2021Problemas-en-linea-Tema-1-3.pdf
2021finaltema3-4.pdf
2021soluciocontroltema1-2.pdf
2021finaltema2-8.pdf
2021finaltema1-8-1.pdf

He publicado nuevos ejercicios de 1º Fonaments de Senyals I Sistemes: Problemas-tema-5.pdf

5 páginas

He publicado nuevos ejercicios de 1º Fonaments de Senyals I Sistemes: Problemas-tema-3.pdf

4 páginas

He publicado nuevos ejercicios de 1º Fonaments de Senyals I Sistemes: Problemas-tema-2-resueltos.pdf

10 páginas

He publicado nuevos ejercicios de 1º Fonaments de Senyals I Sistemes: problemas-tema1-resueltos.pdf

10 páginas

He publicado nuevos ejercicios de 1º Fonaments de Senyals I Sistemes: Desmostracion-senal-impar-es-0.pdf

1 página
¡Estás al día!

¡Estás al día!

Has visto todos los archivos