chevron_left
chevron_right
Todo
Apuntes
Ejercicios
Exámenes
chevron_left
chevron_right

He publicado nuevos examenes de 2º Fonaments d'Enginyeria Tèrmica: FENT_Formulari-parcial-2.pdf

3 páginas

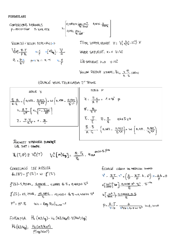
He publicado nuevos apuntes de 2º Fonaments d'Enginyeria Tèrmica: FENT_Formulari-parcial.pdf

2 páginas

He publicado nuevos ejercicios de 2º Fonaments d'Enginyeria Tèrmica: Fent_exercicis-tipus-examen.pdf

4 páginas

He publicado nuevos ejercicios de 2º Fonaments d'Enginyeria Tèrmica: Fent_exercicis-tipus-examen.pdf

1 página
¡Estás al día!

¡Estás al día!

Has visto todos los archivos