Formación y Orientación Laboral

chevron_left
chevron_right
Todo
Apuntes
Trabajos
chevron_left
chevron_right
Anónimo

@Anónimo

Apuntes del tema 6 el tiempo de trabajo y los actuales entornos de trabajo

word

He publicado nuevos apuntes de Formación y Orientación Laboral: UD.9-FOL-modificacion-suspension-y-extincion-contrato.docx

word

He publicado nuevos apuntes de Formación y Orientación Laboral: Ud-7-fol-la-seguridad-social-y-el-desempleo.docx

word

He publicado nuevos apuntes de Formación y Orientación Laboral: Ud-6-fol-participacion-de-los-trabajadores.docx

word

He publicado nuevos apuntes de Formación y Orientación Laboral: Fol-Analisis-del-convenio-colectivo-II.docx

word

He publicado nuevos apuntes de Formación y Orientación Laboral: Unidad-4-FOL.docx

word

He publicado nuevos apuntes de Formación y Orientación Laboral: UD.2-FOL-El-contrato-de-trabajo.docx

word

He publicado nuevos apuntes de Formación y Orientación Laboral: UD.3-FOL-La-jornada-de-trabajo.docx

word

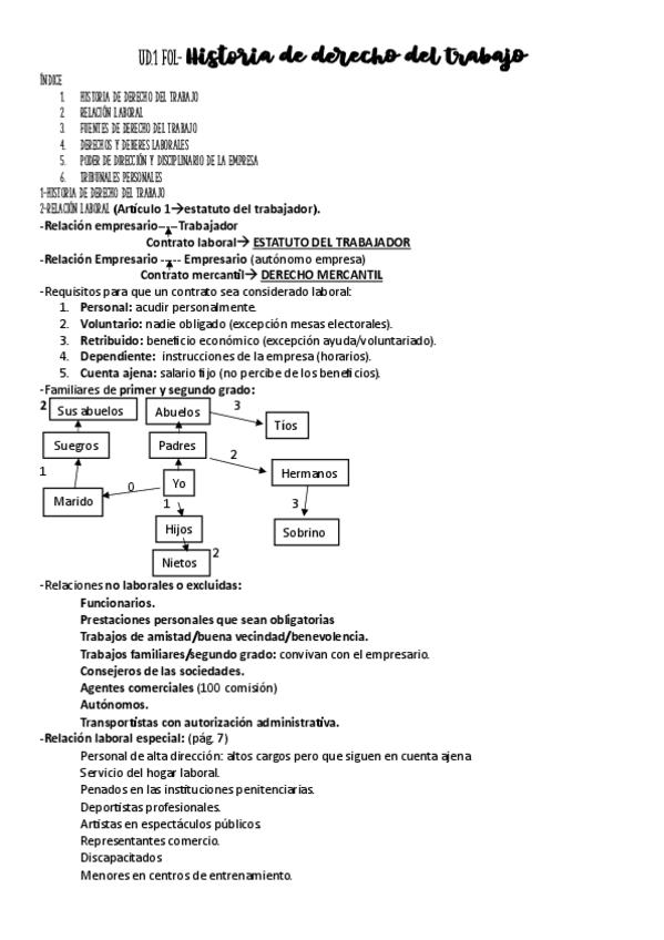
He publicado nuevos apuntes de Formación y Orientación Laboral: Ud.1-fol-Historia-de-derecho-del-trabajo.docx

word

He publicado nuevos apuntes de Formación y Orientación Laboral: Ud-7-fol-la-seguridad-social-y-el-desempleo.docx

word

He publicado nuevos apuntes de Formación y Orientación Laboral: UD.9-FOL-modificacion-suspension-y-extincion-contrato.docx

word

He publicado nuevos apuntes de Formación y Orientación Laboral: Fol-Analisis-del-convenio-colectivo-II.docx

word

He publicado nuevos apuntes de Formación y Orientación Laboral: Ud-6-fol-participacion-de-los-trabajadores.docx

word
Anónimo

@Anónimo

Presentacion para FOL sobre los tipos de contratos temporales y su explicación para 1 de ciclo medio o superior en gallego.

15 páginas

Los resúmenes son del libro de Mc Graw Hill

9 páginas

Apuntes unidad 2 IPE 1 (FOL)

3 páginas

He publicado nuevos apuntes de Formación y Orientación Laboral: FOL.TasquesModificaciosuspensioextincio.pdf

7 páginas

He publicado nuevos apuntes de Formación y Orientación Laboral: Unidad-4-FOL.pdf

3 páginas

He publicado nuevos apuntes de Formación y Orientación Laboral: UD.3-FOL-La-jornada-de-trabajo.pdf

3 páginas

He publicado nuevos apuntes de Formación y Orientación Laboral: UD.2-FOL-El-contrato-de-trabajo.pdf

4 páginas

He publicado nuevos apuntes de Formación y Orientación Laboral: Ud.1-fol-Historia-de-derecho-del-trabajo.pdf

4 páginas
Anónimo

@Anónimo

He publicado nuevos apuntes de Formación y Orientación Laboral: Tema-3-Fol.pdf

7 páginas
¡Estás al día!

¡Estás al día!

Has visto todos los archivos