Fotónica
Todo
Apuntes
chevron_left
chevron_right
apuntes
-
Apuntes Fotónica
He publicado nuevos apuntes de 4º Fotónica: Apuntes Fotónica
¡Estás al día!
Has visto todos los archivos
apuntes
-
Apuntes Fotónica
He publicado nuevos apuntes de 4º Fotónica: Apuntes Fotónica
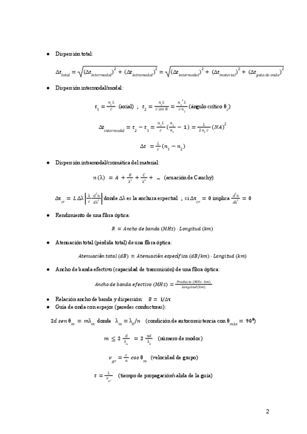
He publicado nuevos apuntes de 4º Fotónica: FORMULARIO-FINAL.pdf
He publicado nuevos apuntes de 4º Fotónica: FORMULARIO-PARCIAL.pdf
¡Estás al día!
Has visto todos los archivos