Funciones de Varias Variables III

chevron_left
chevron_right
Todo
Apuntes
Ejercicios
Exámenes
chevron_left
chevron_right

He publicado nuevos examenes de 2º Funciones de Varias Variables III: Mayo 2025 - Resuelto.pdf.pdf

7 páginas

examenes

-

Tests resueltos

Función inversa e implícta, integración sobre curvas, integración sobre superficies.

Test-1-RESUELTO.pdf
Test-2-RESUELTO.pdf
Test-3-RESUELTO.pdf

He publicado nuevos ejercicios de 2º Funciones de Varias Variables III: areas-de-superficiesejerciciosseccion-12.6.pdf

17 páginas

He publicado nuevos ejercicios de 2º Funciones de Varias Variables III: teorema-funcion-implicitaejerciciosseccion-9.8.pdf

12 páginas

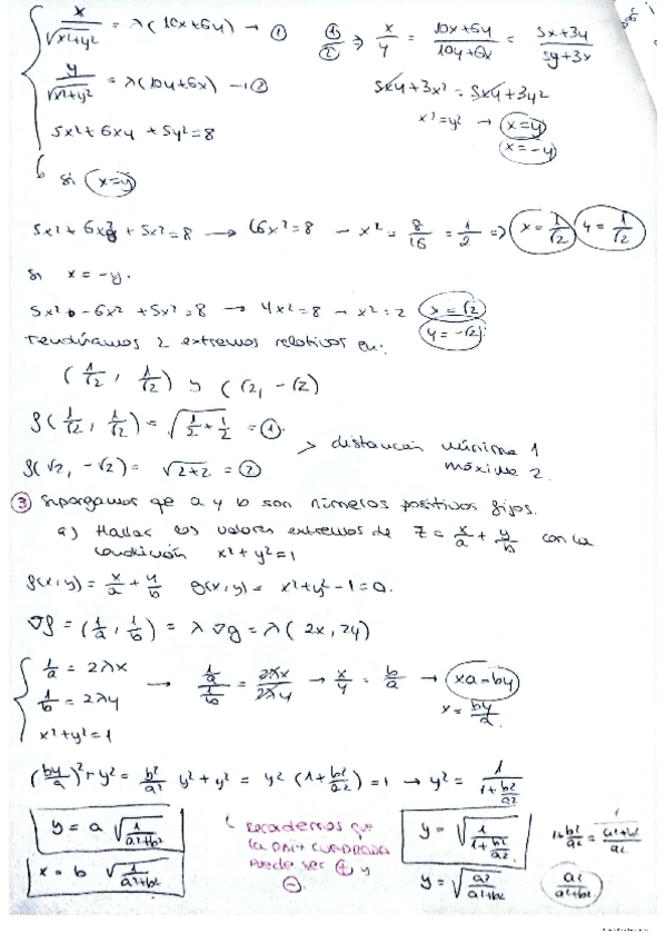
He publicado nuevos ejercicios de 2º Funciones de Varias Variables III: metodo-de-Lagrangeejerciciosseccion-9.15.pdf

15 páginas

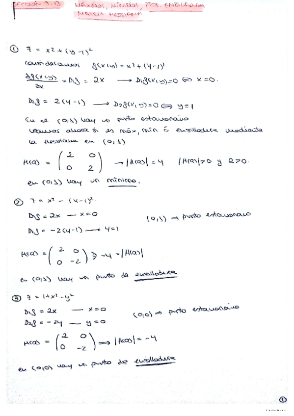
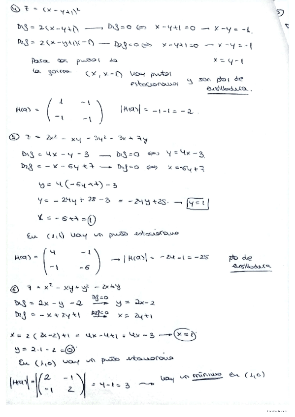
He publicado nuevos ejercicios de 2º Funciones de Varias Variables III: maximos-minimos-puntos-de-ensilladura-y-matriz-hessianaejerciciosseccion-9.13.pdf

19 páginas

He publicado nuevos apuntes de 2º Funciones de Varias Variables III: integrales-de-linea.pdf

28 páginas

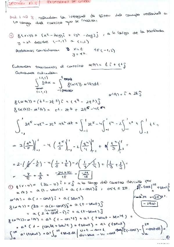
He publicado nuevos ejercicios de 2º Funciones de Varias Variables III: integrales-de-lineaejerciciosseccion-10.5.pdf

9 páginas

He publicado nuevos ejercicios de 2º Funciones de Varias Variables III: masa-centro-de-gravedad-e-inercia-trabajoejerciciosseccion-10.9.pdf

29 páginas

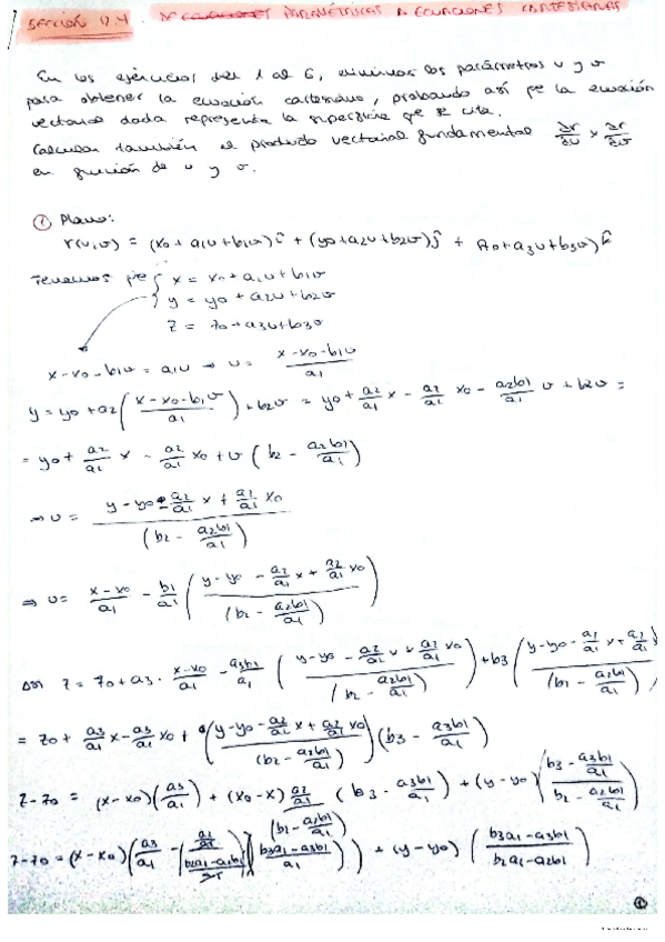
He publicado nuevos ejercicios de 2º Funciones de Varias Variables III: de-parametricas-a-cartesianasejerciciosseccion-12.4.pdf

3 páginas

He publicado nuevos apuntes de 2º Funciones de Varias Variables III: teorema-de-la-funcion-inversa-e-implicita.pdf

43 páginas

He publicado nuevos apuntes de 2º Funciones de Varias Variables III: integrales-de-superficies.pdf

24 páginas

He publicado nuevos ejercicios de 2º Funciones de Varias Variables III: teorema-de-green-donde-hay-mas-de-una-curva-de-Jordanejerciciosseccion-11.25.pdf

11 páginas

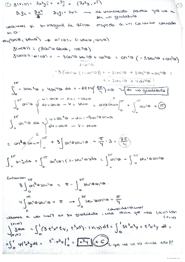
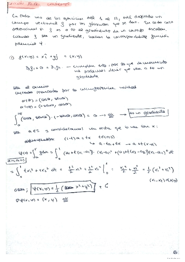
He publicado nuevos ejercicios de 2º Funciones de Varias Variables III: gradientesejerciciosseccion-10.18.pdf

8 páginas

He publicado nuevos ejercicios de 2º Funciones de Varias Variables III: teorema-de-greenejerciciosseccion-11.22.pdf

8 páginas

He publicado nuevos examenes de 2º Funciones de Varias Variables III: examenes-2.pdf

34 páginas

He publicado nuevos ejercicios de 2º Funciones de Varias Variables III: gradiente-y-funcion-potencial-c.-convexosejerciciosseccion-10.13.pdf

8 páginas

He publicado nuevos apuntes de 2º Funciones de Varias Variables III: parametrizacion-de-curvas-y-superficiesnotas.pdf

14 páginas

He publicado nuevos apuntes de 2º Funciones de Varias Variables III: resumen-de-contenido-importante.pdf

10 páginas

He publicado nuevos ejercicios de 2º Funciones de Varias Variables III: teorema-de-stokes-y-divergenciaejerciciosseccion-12.21.pdf

11 páginas

He publicado nuevos ejercicios de 2º Funciones de Varias Variables III: teorema-de-stokesejerciciosseccion-12.13.pdf

22 páginas

He publicado nuevos ejercicios de 2º Funciones de Varias Variables III: integrales-de-superficiesejerciciosseccion-12.10.pdf

22 páginas

He publicado nuevos apuntes de 2º Funciones de Varias Variables III: Integrals.pdf

4 páginas

He publicado nuevos apuntes de 2º Funciones de Varias Variables III: Formulas-trigonometricas.pdf

3 páginas

He publicado nuevos apuntes de 2º Funciones de Varias Variables III: Formulario-Funciones-de-varias-variables-III.pdf

6 páginas
¡Estás al día!

¡Estás al día!

Has visto todos los archivos