Fundamentos de Aprendizaje Automático

Todo
Apuntes
Ejercicios
Exámenes
Prácticas
chevron_left
chevron_right
Anónimo

@Anónimo

practicas

-

Practicas

He publicado nuevos practicas de 2º Fundamentos de Aprendizaje Automático: Practicas

Miniatura no disponible
practica-1fundamentos.R
S1AAIA2324.pdf
Miniatura no disponible
boletinfundamentos2.R
S2AAIA2324.pdf
S3AAIA23241.pdf
Miniatura no disponible
analisiscomponentesprincipales.R
Anónimo

@Anónimo

apuntes

-

Temario

He publicado nuevos apuntes de 2º Fundamentos de Aprendizaje Automático: Temario

CCPDTema5.pdf
Anónimo

@Anónimo

He publicado nuevos examenes de 3º Fundamentos de Aprendizaje Automático: Examen-Parcial-Prueba-Soluciones.pdf

5 páginas

He publicado nuevos ejercicios de 3º Fundamentos de Aprendizaje Automático: Memoria-Dataset-Iris.pdf

3 páginas

Practicas de FAA basadas en los documentos de practica de MJ Ginzo

https://github.com/ivarep32/fundamentos_AA_24-25

He publicado nuevos apuntes de 3º Fundamentos de Aprendizaje Automático: Tema-11.2.-Redes-neuronales.pdf

12 páginas

He publicado nuevos apuntes de 3º Fundamentos de Aprendizaje Automático: Tema-11.1.-Redes-neuronales.pdf

12 páginas

He publicado nuevos apuntes de 3º Fundamentos de Aprendizaje Automático: Tema-9.-HMM-Filtros-de-particulas-y-Aplicaciones.pdf

4 páginas

He publicado nuevos apuntes de 3º Fundamentos de Aprendizaje Automático: Tema-10.-Perceptron-y-Optimizacion.pdf

9 páginas

He publicado nuevos apuntes de 3º Fundamentos de Aprendizaje Automático: Tema-8.-Modelos-Ocultos-de-Markov.pdf

7 páginas

He publicado nuevos apuntes de 3º Fundamentos de Aprendizaje Automático: Tema-7.2.-Aprendizaje-por-Refuerzo.pdf

10 páginas

He publicado nuevos apuntes de 3º Fundamentos de Aprendizaje Automático: Tema-7.1.-Aprendizaje-por-Refuerzo.pdf

9 páginas

He publicado nuevos apuntes de 3º Fundamentos de Aprendizaje Automático: Tema-6.2.-Procesos-de-desicion-de-Markov.pdf

11 páginas

He publicado nuevos apuntes de 3º Fundamentos de Aprendizaje Automático: Tema-6.1.-Procesos-de-Desicion-de-Markov.pdf

12 páginas

He publicado nuevos apuntes de 3º Fundamentos de Aprendizaje Automático: Tema-5.-Incertidumbre-y-utilidades.pdf

8 páginas

He publicado nuevos apuntes de 3º Fundamentos de Aprendizaje Automático: Tema-4.-Busqueda-adversarial-y-arboles-de-juegos.pdf

7 páginas

He publicado nuevos apuntes de 3º Fundamentos de Aprendizaje Automático: Tema-3.-Busqueda-informada.pdf

9 páginas

He publicado nuevos apuntes de 3º Fundamentos de Aprendizaje Automático: Tema-2.-Busqueda-uniforme.pdf

8 páginas

He publicado nuevos apuntes de 3º Fundamentos de Aprendizaje Automático: Tema-1.-Introduccion.pdf

3 páginas

Es literalmente una que esta subida al wuolah pero le añadi GA porque en la otra no estaba.

word

He publicado nuevos apuntes de 2º Fundamentos de Aprendizaje Automático: Fundamentals-of-Machine-Learning-2.docx

word

He publicado nuevos apuntes de 2º Fundamentos de Aprendizaje Automático: Sonia-Cheat-Sheet-Machine-Learning-First-Partial-Documentos-de-Google.pdf

3 páginas

He publicado nuevos apuntes de 3º Fundamentos de Aprendizaje Automático: Apuntes-FAA-Completos.pdf

70 páginas

He publicado nuevos apuntes de 3º Fundamentos de Aprendizaje Automático: Fundamentos-de-Aprendizaje-Automatico.pdf

70 páginas

He publicado nuevos apuntes de 4º Fundamentos de Aprendizaje Automático: apuntesejerciciosAG-RN-ADfaa.pdf

9 páginas

He publicado nuevos apuntes de 3º Fundamentos de Aprendizaje Automático: Apuntes-Segundo-Parcial-23-24.pdf

29 páginas

He publicado nuevos apuntes de 2º Fundamentos de Aprendizaje Automático: ML: Short version to bring to exam 2.pdf

6 páginas

He publicado nuevos apuntes de 2º Fundamentos de Aprendizaje Automático: ML2-oguz.pdf

12 páginas

He publicado nuevos apuntes de 2º Fundamentos de Aprendizaje Automático: ML2-dimos.pdf

19 páginas

He publicado nuevos apuntes de 3º Fundamentos de Aprendizaje Automático: funciones-de-coste.pdf

4 páginas

He publicado nuevos apuntes de 3º Fundamentos de Aprendizaje Automático: HojadeProblemasIVTema2d2e2fFAASoluciones.pdf

4 páginas

He publicado nuevos apuntes de 3º Fundamentos de Aprendizaje Automático: T1.pdf

8 páginas

He publicado nuevos apuntes de 2º Fundamentos de Aprendizaje Automático: ML: Short version to bring to exam 1.pdf

5 páginas

He publicado nuevos apuntes de 2º Fundamentos de Aprendizaje Automático: ML1 - dimos.pdf

14 páginas

He publicado nuevos apuntes de 2º Fundamentos de Aprendizaje Automático: ML2 - Oguz.pdf

6 páginas

apuntes

-

Resúmenes

He publicado nuevos apuntes de 3º Fundamentos de Aprendizaje Automático: Resúmenes

1a-Introduccion-a-la-inteligencia-artificial-y-al-aprendizaje-automatico.pdf
1b-Regresion-lineal-y-Regresion-logistica.pdf
1c-Teorema-de-Bayes-y-metodo-de-Naive-Bayes.pdf

Conocimientos básicos MUY completos que no solo te harán un experto en aprendizaje automático e IA sino que te servirán de cara al futuro :)

37 páginas
Anónimo

@Anónimo

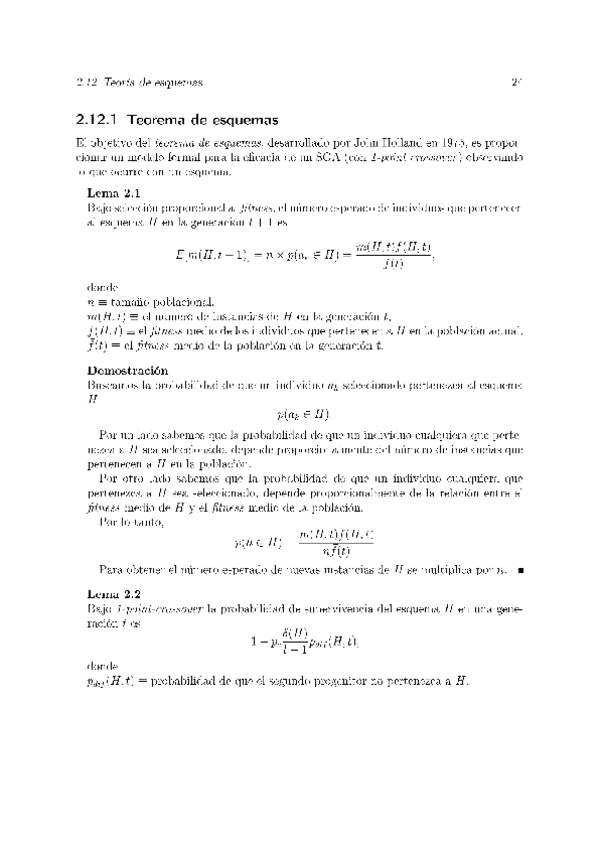
He publicado nuevos apuntes de 4º Fundamentos de Aprendizaje Automático: TeoriaDeEsquemasAlgoGenet.pdf

4 páginas
Anónimo

@Anónimo

He publicado nuevos apuntes de 4º Fundamentos de Aprendizaje Automático: Apuntes-variados.pdf

80 páginas
Anónimo

@Anónimo

apuntes

-

Prácticas

He publicado nuevos apuntes de 5º Fundamentos de Aprendizaje Automático: Prácticas

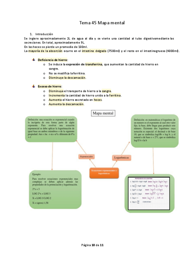
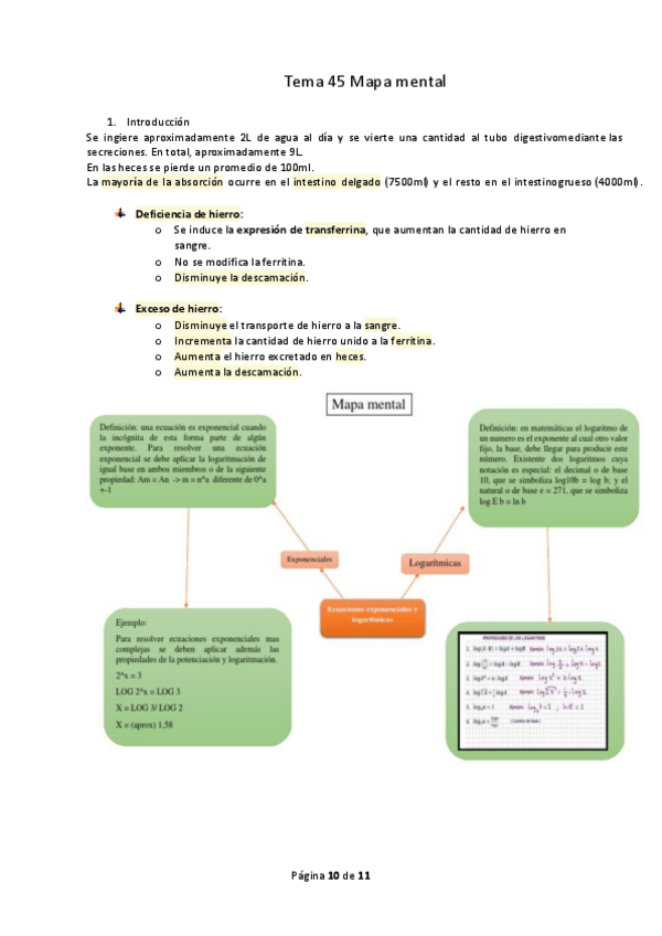
Osmosis.pdf
Magnitud-de-la-asociacion.pdf
Numero-e.pdf
Representacion-del-diagrama.pdf
Mapas-mentales.pdf
Introduccion.pdf
Anónimo

@Anónimo

He publicado nuevos examenes de 4º Fundamentos de Aprendizaje Automático: FAAExamen2013.pdf

2 páginas

He publicado nuevos apuntes de 3º Fundamentos de Aprendizaje Automático: Apuntes-Tema-2.2-FAA.pdf

2 páginas

He publicado nuevos apuntes de 3º Fundamentos de Aprendizaje Automático: Apuntes-Tema-2-FAA.pdf

15 páginas

He publicado nuevos apuntes de 3º Fundamentos de Aprendizaje Automático: Apuntes-Tema-1-FAA.pdf

7 páginas

He publicado nuevos apuntes de 2º Fundamentos de Aprendizaje Automático: MACHINE-LEARNING-NOTES-1.pdf

74 páginas

He publicado nuevos apuntes de 4º Fundamentos de Aprendizaje Automático: Teoria-parcial-5-Algoritmos-geneticos.pdf

pdf

He publicado nuevos apuntes de 4º Fundamentos de Aprendizaje Automático: Teoria-parcial-4.pdf

pdf

He publicado nuevos apuntes de 4º Fundamentos de Aprendizaje Automático: Teoria-parcial-3.pdf

pdf

He publicado nuevos apuntes de 4º Fundamentos de Aprendizaje Automático: Teoria-parcial-2.pdf

pdf

He publicado nuevos apuntes de 4º Fundamentos de Aprendizaje Automático: Teoria-parcial-1.pdf

pdf

He publicado nuevos ejercicios de 4º Fundamentos de Aprendizaje Automático: Tema-5.pdf

18 páginas

He publicado nuevos ejercicios de 4º Fundamentos de Aprendizaje Automático: Tema-4.pdf

9 páginas

He publicado nuevos ejercicios de 4º Fundamentos de Aprendizaje Automático: Modeloslinealesregresionlogistica.pdf

13 páginas

He publicado nuevos ejercicios de 4º Fundamentos de Aprendizaje Automático: Naive-Bayesmodelos-graficosvecinos-proximos.pdf

15 páginas

He publicado nuevos ejercicios de 4º Fundamentos de Aprendizaje Automático: BayesMAPMVmodeloscostes.pdf

18 páginas
Anónimo

@Anónimo

He publicado nuevos apuntes de 4º Fundamentos de Aprendizaje Automático: Resumen-FAA.pdf

7 páginas

apuntes

-

ejercicios y soluciones

He publicado nuevos apuntes de 4º Fundamentos de Aprendizaje Automático: ejercicios y soluciones

Conjuntos-de-clasificadores-y-algoritmos-geneticos.pdf
Redes-neuronales.pdf
celiaco.pdf
Ejercicios-de-prueba-de-Naive-Bayes-Modelos-Graficos-y-KNN.pdf
Ejercicios-modelos-lineales-y-regresion-logistica.pdf

He publicado nuevos apuntes de 4º Fundamentos de Aprendizaje Automático: bayessol.pdf

2 páginas

He publicado nuevos apuntes de 5º Fundamentos de Aprendizaje Automático: FAA_RegLog.pdf

9 páginas

He publicado nuevos ejercicios de 4º Fundamentos de Aprendizaje Automático: bayes.pdf

1 página
¡Estás al día!

¡Estás al día!

Has visto todos los archivos