chevron_left
chevron_right
Todo
Apuntes
Ejercicios
Exámenes
Prácticas
publication
chevron_left
chevron_right

He publicado nuevos apuntes de 1º Fundamentos de Aritmética y Medida: Fundamentos-de-arimetica-y-medida.pdf

54 páginas

He publicado nuevos apuntes de 1º Fundamentos de Aritmética y Medida: Examen-matematicas.pdf

2 páginas

He publicado nuevos apuntes de 1º Fundamentos de Aritmética y Medida: Tarea.pdf

1 página

He publicado nuevos apuntes de 1º Fundamentos de Aritmética y Medida: EJERCICIOS-medida.pdf

2 páginas

Unidad 5 Números Racionales

3 páginas

Unidad 4 Números Enteros

3 páginas

Unidad 3 Divisibilidad

7 páginas

Unidad 2 Números Naturales

4 páginas

Unidad 1 Teoría de Conjuntos

6 páginas

He publicado nuevos apuntes de 1º Fundamentos de Aritmética y Medida: EJERCICIOS-MATE-CORREGIDOS.pdf

31 páginas

2025 1º Convocatoria

2 páginas

He publicado nuevos apuntes de 1º Fundamentos de Aritmética y Medida: Divisibilidad.pdf

6 páginas

He publicado nuevos apuntes de 1º Fundamentos de Aritmética y Medida: Modelo-de-areas-Numeros-Racionales.pdf

1 página

Alguien tiene el modelo de examen que pone Encarnación de fundamentos de aritmética y medida?

He publicado nuevos apuntes de 1º Fundamentos de Aritmética y Medida: MATEMATICAS-2o-cuatri-1o.pdf

15 páginas

He publicado nuevos ejercicios de 1º Fundamentos de Aritmética y Medida: Ejercicios-de-Conjuntos-2.pdf

2 páginas

He publicado nuevos practicas de 1º Fundamentos de Aritmética y Medida: Practica.-Teoria-de-Conjuntos-2.pdf

3 páginas

He publicado nuevos practicas de 1º Fundamentos de Aritmética y Medida: Practica.-Medida.pdf

2 páginas

He publicado nuevos apuntes de 1º Fundamentos de Aritmética y Medida: Tema-6.-Magnitudes-y-Medida.pdf

4 páginas

He publicado nuevos practicas de 1º Fundamentos de Aritmética y Medida: Practica.-Sistema-Sexagesimal.pdf

5 páginas

He publicado nuevos practicas de 1º Fundamentos de Aritmética y Medida: Practica-II.-Numeros-Naturales..pdf

3 páginas

He publicado nuevos practicas de 1º Fundamentos de Aritmética y Medida: Practica-I.-Teoria-de-Conjuntos..pdf

2 páginas

He publicado nuevos ejercicios de 1º Fundamentos de Aritmética y Medida: Ejercicios-de-Numeros-Racionales.pdf

13 páginas

He publicado nuevos practicas de 1º Fundamentos de Aritmética y Medida: Practica-Teoria-de-Conjuntos.pdf

5 páginas

He publicado nuevos practicas de 1º Fundamentos de Aritmética y Medida: Práctica Números Racionales.pdf

2 páginas

He publicado nuevos practicas de 1º Fundamentos de Aritmética y Medida: Practica-Propiedades-Numeros-Racionales.pdf

1 página

He publicado nuevos practicas de 1º Fundamentos de Aritmética y Medida: Ejercicios-de-Numeros-Enteros.pdf

11 páginas

He publicado nuevos apuntes de 1º Fundamentos de Aritmética y Medida: Propiedades-de-las-operaciones-completas-examen.pdf

1 página

He publicado nuevos practicas de 1º Fundamentos de Aritmética y Medida: PRACTICA.-NUMEROS-RACIONALES.pdf

1 página

He publicado nuevos apuntes de 1º Fundamentos de Aritmética y Medida: Tema-5.-Numeros-Racionales..pdf

5 páginas

He publicado nuevos apuntes de 1º Fundamentos de Aritmética y Medida: Tema-3-Divisibilidad.pdf

3 páginas

He publicado nuevos ejercicios de 1º Fundamentos de Aritmética y Medida: Ejercicios-RESUELTOS-de-Numero-Natural-y-Sistema-de-Enumeracion.pdf

9 páginas

He publicado nuevos ejercicios de 1º Fundamentos de Aritmética y Medida: Ejercicios-RESUELTOS-de-Conjuntos.pdf

16 páginas

He publicado nuevos apuntes de 1º Fundamentos de Aritmética y Medida: Tema 1. Teoría de Conjuntos.pdf

5 páginas

He publicado nuevos apuntes de 1º Fundamentos de Aritmética y Medida: Tema 4 Números Enteros.pdf

3 páginas

He publicado nuevos apuntes de 1º Fundamentos de Aritmética y Medida: MEDIDA-RESUELTOS-ejercicios.pdf

6 páginas

He publicado nuevos apuntes de 1º Fundamentos de Aritmética y Medida: DIVISIBILIDAD-RESUELTOS-ejercicios.pdf

15 páginas

He publicado nuevos apuntes de 1º Fundamentos de Aritmética y Medida: NUMEROS-NATURALES-RESUELTOS-ejercicios.pdf

6 páginas

He publicado nuevos apuntes de 1º Fundamentos de Aritmética y Medida: NUMEROS-ENTEROS-RESUELTOS-ejercicios.pdf

6 páginas

He publicado nuevos apuntes de 1º Fundamentos de Aritmética y Medida: CONJUNTOS-RESUELTOS-ejercicios.pdf

13 páginas

He publicado nuevos apuntes de 1º Fundamentos de Aritmética y Medida: T6-MATE.pdf

4 páginas

He publicado nuevos apuntes de 1º Fundamentos de Aritmética y Medida: T7-MATE.pdf

1 página

He publicado nuevos apuntes de 1º Fundamentos de Aritmética y Medida: T4-MATE.pdf

4 páginas

He publicado nuevos apuntes de 1º Fundamentos de Aritmética y Medida: T5-MATE.pdf

1 página

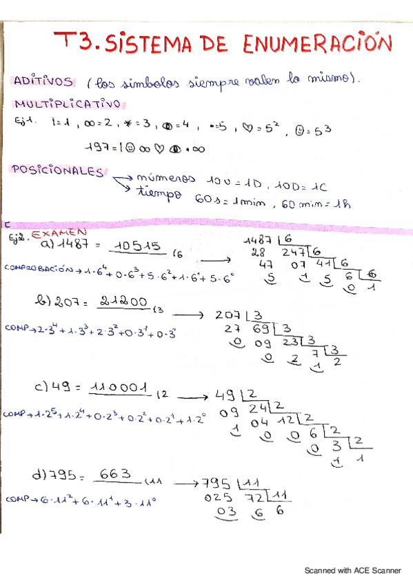
He publicado nuevos apuntes de 1º Fundamentos de Aritmética y Medida: T3-MATE.pdf

2 páginas

He publicado nuevos apuntes de 1º Fundamentos de Aritmética y Medida: T2-MATE.pdf

4 páginas

He publicado nuevos apuntes de 1º Fundamentos de Aritmética y Medida: T1-MATE.pdf

7 páginas
Anónimo

@Anónimo

He publicado nuevos apuntes de 1º Fundamentos de Aritmética y Medida: UNIDAD-2-RESUMEN.pdf

6 páginas
Anónimo

@Anónimo

He publicado nuevos apuntes de 1º Fundamentos de Aritmética y Medida: UNIDAD-1-RESUMEN.pdf

6 páginas

He publicado nuevos apuntes de 1º Fundamentos de Aritmética y Medida: Práctica (en base a).pdf

2 páginas

He publicado nuevos apuntes de 1º Fundamentos de Aritmética y Medida: Práctica (en base a).pdf

4 páginas

He publicado nuevos apuntes de 1º Fundamentos de Aritmética y Medida: Practica-Tema-3.pdf

3 páginas

He publicado nuevos ejercicios de 1º Fundamentos de Aritmética y Medida: Ejercicio.pdf

2 páginas

apuntes

-

Temario aritmética

He publicado nuevos apuntes de 1º Fundamentos de Aritmética y Medida: Temario aritmética

Temario-Conjuntos.pdf
Anónimo

@Anónimo

He publicado nuevos examenes de 1º Fundamentos de Aritmética y Medida: Examen-2020.pdf

3 páginas
Anónimo

@Anónimo

apuntes

-

Fundamentos de Aritmética y Medida

He publicado nuevos apuntes de 1º Fundamentos de Aritmética y Medida: Fundamentos de Aritmética y Medida

Tema-5-NAomeros-Racionales-presentacion.pdf
Tema-4Numeros-enterosresultados-ejercicios.pdf
Tema-2Numeros-naturales.pdf
Tema-4NAomeros-enteros.pdf
Tema-3-Ndivisibilidad.pdf
Tema-2NAomeros-romanos.pdf

examenes

-

Exámenes 2021

He publicado nuevos examenes de 1º Fundamentos de Aritmética y Medida: Exámenes 2021

Practica-1.pdf
Practica-2.pdf

He publicado nuevos apuntes de 1º Fundamentos de Aritmética y Medida: Aritmética.pdf

9 páginas

He publicado nuevos practicas de 1º Fundamentos de Aritmética y Medida: Práctica de Aritmética.pdf

9 páginas
¡Estás al día!

¡Estás al día!

Has visto todos los archivos