FUNDAMENTOS DE ASTROFÍSICA

chevron_left
chevron_right
Todo
Apuntes
Ejercicios
Exámenes
Otros
Prácticas
Trabajos
chevron_left
chevron_right

He publicado nuevos ejercicios de 2º FUNDAMENTOS DE ASTROFÍSICA: Relaciones-astro-resueltas.pdf

44 páginas

ejercicios

-

Problem Sets

La mayoría de relaciones de problemas en inglés resueltas y explicadas:)

ENGProblemSet1EXPLAINED.pdf
ENGProblemSet2EXPLAINED.pdf
ENGProblemSet6ObservationofstarsEXPLAINED.pdf
ENGProblemSet7STELLAREVOLUTIONEXPLAINED.pdf
ENGProblemSet8MILKYWAY.pdf
ENGProblemSet5THESUN.pdf

He publicado nuevos apuntes de 2º FUNDAMENTOS DE ASTROFÍSICA: Tema1-astronomia-de-posicion.pdf

4 páginas

He publicado nuevos apuntes de 2º FUNDAMENTOS DE ASTROFÍSICA: Apuntes-tema1.pdf

5 páginas

ejercicios

-

Ejercicios Resueltos y Explicados

Relaciones de ejercicios resueltas y explicadas

Tema-7.pdf
Tema-8-Relacion-1.pdf
Tema-8-Relacion-2.pdf
Tema-9.pdf
Tema-10.pdf
Temas-2-y-3.pdf

Formulario de la asignatura

4 páginas

He publicado nuevos apuntes de 2º FUNDAMENTOS DE ASTROFÍSICA: Resumen-Tema-11.pdf

3 páginas

He publicado nuevos apuntes de 2º FUNDAMENTOS DE ASTROFÍSICA: Resumen-Tema-10.pdf

9 páginas

He publicado nuevos apuntes de 2º FUNDAMENTOS DE ASTROFÍSICA: Resumen-Tema-9.pdf

11 páginas

a latex

11 páginas

ejercicios

-

Relación de ejercicios

He publicado nuevos ejercicios de 2º FUNDAMENTOS DE ASTROFÍSICA: Relación de ejercicios

Ejercicios-tema-1.pdf
Ejercicios-tema-2.pdf
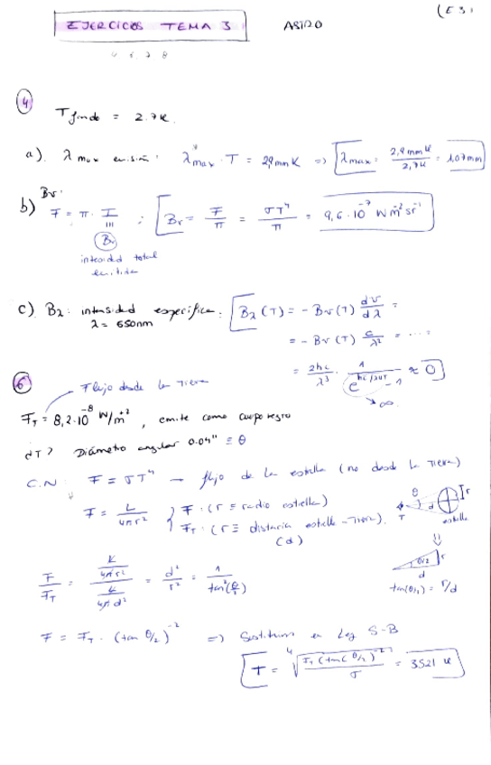
Ejercicios-tema-2-desde-el-cuerpo-negro-y-tema-3.pdf
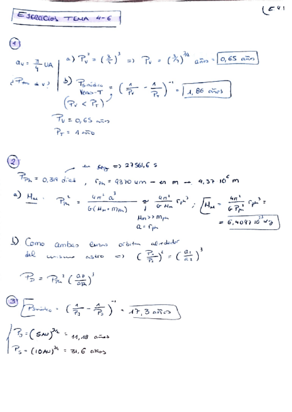
Ejercicios-tema-4-5-y-6.pdf
Ejercicios-tema-7.pdf
Ejercicios-tema-8-1.pdf

apuntes

-

Formularios Astro

He publicado nuevos apuntes de 2º FUNDAMENTOS DE ASTROFÍSICA: Formularios Astro

Formulario-T1-Astro.pdf
Resumen-T2-y-T3-astro.pdf
Resumen-T456-Astro.pdf
Resumen-PII-Temas7-11.pdf
Anónimo

@Anónimo

examenes

-

Exámenes

He publicado nuevos examenes de 2º FUNDAMENTOS DE ASTROFÍSICA: Exámenes

Examen-Ord-2025-PII-Resuelto.pdf
Examen-Ord-2025-PI-Resuelto.pdf

He publicado nuevos ejercicios de 2º FUNDAMENTOS DE ASTROFÍSICA: Set-8.-Milky-Way.pdf

2 páginas

He publicado nuevos ejercicios de 2º FUNDAMENTOS DE ASTROFÍSICA: set-7.1.-star-formation.pdf

2 páginas

He publicado nuevos ejercicios de 2º FUNDAMENTOS DE ASTROFÍSICA: Set-7.2.-stellar-evolution.pdf

2 páginas

He publicado nuevos ejercicios de 2º FUNDAMENTOS DE ASTROFÍSICA: Set-6.-Observations-of-stars.pdf

4 páginas

He publicado nuevos ejercicios de 2º FUNDAMENTOS DE ASTROFÍSICA: Set-4.-solar-system.pdf

4 páginas

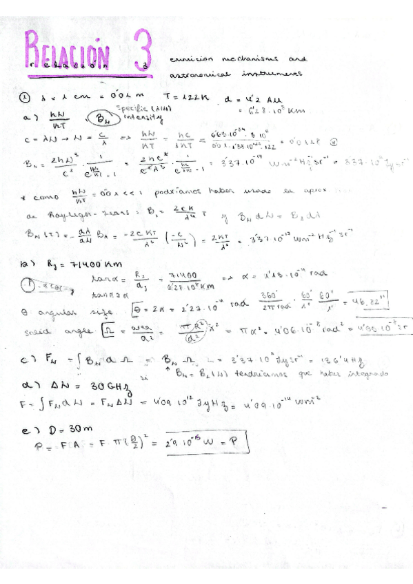
He publicado nuevos ejercicios de 2º FUNDAMENTOS DE ASTROFÍSICA: Set-3.-emission-mechanisms.pdf

4 páginas

He publicado nuevos ejercicios de 2º FUNDAMENTOS DE ASTROFÍSICA: Set-2.-Electromagnetic-Spectrum.pdf

5 páginas

He publicado nuevos ejercicios de 2º FUNDAMENTOS DE ASTROFÍSICA: Set-1.-Positional-astronomy.pdf

8 páginas

He publicado nuevos apuntes de 2º FUNDAMENTOS DE ASTROFÍSICA: Chapter-9.-galaxies.pdf

2 páginas

He publicado nuevos apuntes de 2º FUNDAMENTOS DE ASTROFÍSICA: Classification-HR-and-spectra.pdf

2 páginas

He publicado nuevos apuntes de 2º FUNDAMENTOS DE ASTROFÍSICA: Chapter-7.-Stellar-evolution.pdf

4 páginas

He publicado nuevos apuntes de 2º FUNDAMENTOS DE ASTROFÍSICA: Chapter-8.-Milky-way.pdf

4 páginas

He publicado nuevos apuntes de 2º FUNDAMENTOS DE ASTROFÍSICA: Chapter-6.-Observing-stars.pdf

4 páginas

He publicado nuevos apuntes de 2º FUNDAMENTOS DE ASTROFÍSICA: Chapter-4.-Solar-System.pdf

3 páginas

He publicado nuevos apuntes de 2º FUNDAMENTOS DE ASTROFÍSICA: Chapter-5.-Stellar-structure.pdf

2 páginas

He publicado nuevos apuntes de 2º FUNDAMENTOS DE ASTROFÍSICA: Chapter-2.-Electromagnetic-radiation.pdf

2 páginas

He publicado nuevos apuntes de 2º FUNDAMENTOS DE ASTROFÍSICA: Chapter-3.-Astronomical-instruments.pdf

2 páginas

He publicado nuevos apuntes de 2º FUNDAMENTOS DE ASTROFÍSICA: Chapter-1.-Positional-astronomy.pdf

2 páginas
Anónimo

@Anónimo

He publicado nuevos examenes de 2º FUNDAMENTOS DE ASTROFÍSICA: exastro2.pdf

2 páginas

He publicado nuevos apuntes de 2º FUNDAMENTOS DE ASTROFÍSICA: Ordinario-Astro-25.pdf

2 páginas
Anónimo

@Anónimo

He publicado nuevos examenes de 2º FUNDAMENTOS DE ASTROFÍSICA: Examen-Ordinario-2025-Astro.pdf

4 páginas

He publicado nuevos practicas de 2º FUNDAMENTOS DE ASTROFÍSICA: Practica-3-astro.pdf

8 páginas

He publicado nuevos practicas de 2º FUNDAMENTOS DE ASTROFÍSICA: Practica-2astro.pdf

8 páginas

Todas esas fórulas que se olvidan luego en el examen.Formulario que condensa todas las fórmulas importantes de radiaciones que necesitas para aprobar tu examen

2 páginas

He publicado nuevos apuntes de 2º FUNDAMENTOS DE ASTROFÍSICA: formulario-astro-ingles.pdf

3 páginas

ejercicios

-

Ejercicios resueltos

He publicado nuevos ejercicios de 2º FUNDAMENTOS DE ASTROFÍSICA: Ejercicios resueltos

Problemas-Tema-4.pdf
Relacion-Problemas-Tema-1.pdf
Ejercicios-Tema-9.pdf
Relacion-Problemas-Tema-8.pdf
Problemas-Tema-7.pdf

Muchos de los apuntes los he sacado de InvisibleString, mirad sus apuntes que están muy guays

76 páginas

apuntes

-

Apuntes Fundamentos de la Astrofísica

He publicado nuevos apuntes de 2º FUNDAMENTOS DE ASTROFÍSICA: Apuntes Fundamentos de la Astrofísica

Tema-2-Radiacion-Electromagnetica.pdf
Tema-1-Astronomia-De-Posicion.pdf
Tema-3-Instrumentos-Astronomicos.pdf
Tema-4-Propiedades-Generales-del-Sistema-Solar.pdf
Tema-5-Planetas-Asteroides-y-Cometas.pdf
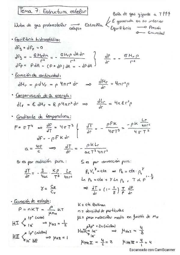
Tema-7-Estructura-Estelar.pdf

ejercicios

-

Ejercicios Relacion Resueltos Astro

He publicado nuevos ejercicios de 2º FUNDAMENTOS DE ASTROFÍSICA: Ejercicios Relacion Resueltos Astro

Relacion-1-astro-T1.pdf
Relacion-3-astro-T3.pdf
Relacion-4-astro-T456.pdf
Relacion-2-astro-T2.pdf

He publicado nuevos apuntes de 2º FUNDAMENTOS DE ASTROFÍSICA: Astro-RESUMEN-Tema-6.pdf

4 páginas

He publicado nuevos apuntes de 2º FUNDAMENTOS DE ASTROFÍSICA: Astro-RESUMEN-Tema-5.pdf

4 páginas

He publicado nuevos ejercicios de 2º FUNDAMENTOS DE ASTROFÍSICA: Relacion-7.pdf

9 páginas

He publicado nuevos apuntes de 2º FUNDAMENTOS DE ASTROFÍSICA: Astro-RESUMEN-Tema-4.pdf

6 páginas

He publicado nuevos apuntes de 2º FUNDAMENTOS DE ASTROFÍSICA: Astro-RESUMEN-Tema-3.pdf

6 páginas

He publicado nuevos apuntes de 2º FUNDAMENTOS DE ASTROFÍSICA: FORMULARIO-ASTROFISICA.pdf

2 páginas

He publicado nuevos apuntes de 2º FUNDAMENTOS DE ASTROFÍSICA: Astro-RESUMEN-Tema-8.pdf

10 páginas

He publicado nuevos apuntes de 2º FUNDAMENTOS DE ASTROFÍSICA: ENG-AstroTema2resumen.pdf

4 páginas

He publicado nuevos apuntes de 2º FUNDAMENTOS DE ASTROFÍSICA: Astro-RESUMEN-Tema-2.pdf

5 páginas

He publicado nuevos apuntes de 2º FUNDAMENTOS DE ASTROFÍSICA: Astro-RESUMENES-Temas-01.pdf

8 páginas

He publicado nuevos ejercicios de 2º FUNDAMENTOS DE ASTROFÍSICA: Relacion-1-Astronomia-de-Posicion.pdf

28 páginas

He publicado nuevos apuntes de 2º FUNDAMENTOS DE ASTROFÍSICA: Resumen T1 Astronomía de Posición.pdf

7 páginas

apuntes

-

Apuntes Teoría Fundamentos de Astrofísica

He publicado nuevos apuntes de 2º FUNDAMENTOS DE ASTROFÍSICA: Apuntes Teoría Fundamentos de Astrofísica

Tema-0.-Historia-y-metodos-generales-de-la-Astronomia.pdf
Tema-1.-Astronomia-de-posicion.pdf

He publicado nuevos apuntes de 2º FUNDAMENTOS DE ASTROFÍSICA: Resumen T0 Historia y Generalidades (lo más importante).pdf

1 página
Anónimo

@Anónimo

apuntes

-

Solucion test

He publicado nuevos apuntes de 2º FUNDAMENTOS DE ASTROFÍSICA: Solucion test

test-Tema-3-y-SS-Astrofisica.pdf
Test-tema-0.pdf
Test-Tema-1.pdf
Test-Tema-2-Astrofisica.pdf
Test-Tema-2.pdf
Anónimo

@Anónimo

apuntes

-

Solucion ejercicios propuestos

He publicado nuevos apuntes de 2º FUNDAMENTOS DE ASTROFÍSICA: Solucion ejercicios propuestos

Ejercicio-propuesto-FA.pdf
Ejercicio-propuesto-Tema-7.pdf
Ejercicio-propuesto..pdf

apuntes

-

Apuntes Completos

He publicado nuevos apuntes de 2º FUNDAMENTOS DE ASTROFÍSICA: Apuntes Completos

T1-Astronomia-de-Posicion.pdf
T2-Radiacion-Electromagnetica.pdf
T3-Instrumentos-Astronomicos.pdf
T4-Propiedades-del-Sist.-Solar.pdf
T5-Planetas-y-Satelites.pdf
T6-Formacion-del-Sistema-Solar.pdf

trabajos

-

Entregas 2ª mitad 2022-2023

He publicado nuevos trabajos de 2º FUNDAMENTOS DE ASTROFÍSICA: Entregas 2ª mitad 2022-2023

T7-Actividad-Evaluativa-resuelto.pdf
T8-Actividad-Evaluativa-resuelto.pdf
T8-Control-de-Evaluacion-resuelto.pdf
T9-Actividad-Evaluativa-resuelto.pdf
Miniatura no disponible
T9.-M53.txt
Miniatura no disponible
T9.-pleiadesdata.txt