chevron_left
chevron_right
Todo
Apuntes
Ejercicios
Exámenes
Prácticas
Test
chevron_left
chevron_right
Anónimo

@Anónimo

He publicado nuevos apuntes de 2º Fundamentos de Control: ResumenTeoriaPractica.pdf

20 páginas

He publicado nuevos examenes de 2º Fundamentos de Control: Examen-Junio-2025.pdf

2 páginas

He publicado nuevos examenes de 2º Fundamentos de Control: 2o-Parcial-2025.pdf

2 páginas

ejercicios

-

Ejercicios 2º parcial

He publicado nuevos ejercicios de 2º Fundamentos de Control: Ejercicios 2º parcial

Ejercicios-De-Compensadores.pdf
Ejercicios-De-Controladores.pdf
Ejercicios-Nyquist.pdf

apuntes

-

Resúmenes

He publicado nuevos apuntes de 2º Fundamentos de Control: Resúmenes

Compensadores-Bode-Nyquist.pdf
Descripcion-Externa-Bloques-Pade.pdf
Descripcion-Interna.pdf
Laplace-Tablas.pdf
Linealizacion.pdf
Respuesta-Temporal-Routh.pdf

practicas

-

Prácticas

He publicado nuevos practicas de 2º Fundamentos de Control: Prácticas

P11Introduccionamatlabmatricesvectores.pdf
P12Manejodepolinomios.pdf
P13Funcionesmatematicastop.pdf
P14Graficos.pdf
P15Scriptsbucleseinstruccionescondicionales.pdf
p21Descripcioninternadesistemas.pdf

He publicado nuevos examenes de 2º Fundamentos de Control: final-2024-2025-parte-2.pdf

1 página

ejercicios

-

ejercicios resueltos

He publicado nuevos ejercicios de 2º Fundamentos de Control: ejercicios resueltos

ejercicios-parte-1.pdf
ejercicios-parte-1-i.pdf
ejercicios-parte-2.pdf
ejercicios-parte-3.pdf
ejercicios-2.4-clase.pdf

He publicado nuevos examenes de 2º Fundamentos de Control: parcial-1-2024-2025.pdf

2 páginas

apuntes

-

resúmenes

He publicado nuevos apuntes de 2º Fundamentos de Control: resúmenes

resumen-t1.pdf
resumen-2.3-lugar-de-las-raices.pdf
resumen-2.4-respuesta-frecuencial.pdf
resumen-compensadores.pdf

Formulario examen de prácticas

1 página

He publicado nuevos practicas de 2º Fundamentos de Control: RESUMEN-PARA-EXAMEN-PRACTICAS-DE-FUNDAMENTOS-DE-CONTROL.pdf

31 páginas

practicas

-

Prácticas curso 24-25

He publicado nuevos practicas de 2º Fundamentos de Control: Prácticas curso 24-25

p11Introduccionamatlabmatricesvectores.pdf
p12Manejodepolinomios.pdf
p13Funcionesmatematicastop.pdf
p14Graficos.pdf
p15Scriptsbucleseinstruccionescondicionales.pdf
p21Descripcioninternadesistemas.pdf

practicas

-

Prácticas MATLAB resueltas

He publicado nuevos practicas de 2º Fundamentos de Control: Prácticas MATLAB resueltas

p1.pdf
p2.pdf
p3.pdf
p4.pdf
p5LaboratoriociruitoRLCsegundoorden.pdf
p81DiagramasdeBode.pdf

Examen Juni 2023 Fundamentos de control

5 páginas

He publicado nuevos practicas de 2º Fundamentos de Control: P4.pdf

34 páginas

He publicado nuevos practicas de 2º Fundamentos de Control: P3.pdf

33 páginas

He publicado nuevos practicas de 2º Fundamentos de Control: P2.pdf

33 páginas

He publicado nuevos practicas de 2º Fundamentos de Control: P1.pdf

37 páginas

He publicado nuevos practicas de 2º Fundamentos de Control: P12.pdf

12 páginas

He publicado nuevos practicas de 2º Fundamentos de Control: P11.pdf

22 páginas

He publicado nuevos practicas de 2º Fundamentos de Control: P10.pdf

42 páginas

He publicado nuevos practicas de 2º Fundamentos de Control: P9.pdf

13 páginas

He publicado nuevos practicas de 2º Fundamentos de Control: P8.pdf

47 páginas

He publicado nuevos practicas de 2º Fundamentos de Control: P7.pdf

2 páginas

He publicado nuevos practicas de 2º Fundamentos de Control: P6.pdf

4 páginas

He publicado nuevos practicas de 2º Fundamentos de Control: P5.pdf

21 páginas

apuntes

-

Segundo parcial

He publicado nuevos apuntes de 2º Fundamentos de Control: Segundo parcial

Introduccion-al-lugar-de-las-raices.pdf
Propiedades-del-Lugar-de-las-Raices.pdf
Respuesta-frecuencial-y-Diagramas-algoritmicos-Diagrama-de-bode.pdf

apuntes

-

Primer parcial

He publicado nuevos apuntes de 2º Fundamentos de Control: Primer parcial

Modelado-de-sistemas.pdf
Linealizacion.pdf
Transformada-de-Laplace.pdf
Funcion-de-transferencia.pdf
Diagrama-de-bloques.pdf

He publicado nuevos examenes de 2º Fundamentos de Control: Examenes-resueltos.pdf

51 páginas

He publicado nuevos apuntes de 2º Fundamentos de Control: Solucion-Examenes-Parciales.pdf

13 páginas

He publicado nuevos examenes de 2º Fundamentos de Control: ExamenJulio23resuelto.pdf

6 páginas

He publicado nuevos examenes de 2º Fundamentos de Control: ExamenJunio24resuelto.pdf

6 páginas

examenes

-

Exámenes Parciales Resueltos ✅

He publicado nuevos examenes de 2º Fundamentos de Control: Exámenes Parciales Resueltos ✅

Parcial 2.pdf
Parcial 3.pdf
Parcial 4.pdf
Parcial 5.pdf
Parcial 6.pdf
Parcial 7.pdf

ejercicios

-

EjerciciosParteI-T.1 ⵌ

He publicado nuevos ejercicios de 2º Fundamentos de Control: EjerciciosParteI-T.1 ⵌ

Ejercicio 1 | balancín ✅.pdf

Ejercicios de examen con anotaciones y explicaciones

172 páginas

He publicado nuevos practicas de 2º Fundamentos de Control: p121ControladoresPIyPID.pdf

15 páginas

He publicado nuevos practicas de 2º Fundamentos de Control: p111CompensacionenadelantoyPD.pdf

22 páginas

He publicado nuevos practicas de 2º Fundamentos de Control: p101Compensacionproporcionalenfrecuencia.pdf

30 páginas

He publicado nuevos practicas de 2º Fundamentos de Control: p91DiagramasdeBode.pdf

42 páginas

He publicado nuevos practicas de 2º Fundamentos de Control: Practica-8.pdf

33 páginas

He publicado nuevos practicas de 2º Fundamentos de Control: Practica-7.-identificacion-motor-cc.pdf

5 páginas

He publicado nuevos practicas de 2º Fundamentos de Control: p5LaboratoriociruitoRCsegundoorden.pdf

16 páginas

He publicado nuevos practicas de 2º Fundamentos de Control: Practica-6.-Introduccion-a-Alecop.pdf

14 páginas

He publicado nuevos practicas de 2º Fundamentos de Control: Practica-4.pdf

34 páginas

He publicado nuevos practicas de 2º Fundamentos de Control: practica-3.pdf

46 páginas

He publicado nuevos practicas de 2º Fundamentos de Control: Practica-2.pdf

28 páginas

He publicado nuevos practicas de 2º Fundamentos de Control: Practica-1.pdf

43 páginas

examenes

-

Exámenes resueltos FC

He publicado nuevos examenes de 2º Fundamentos de Control: Exámenes resueltos FC

examFCJun2022-resuelto.pdf
examFCSep2021-resuelto.pdf
ExamenJun2021-resuelto.pdf
examFCFeb2022-resuelto.pdf
examenFeb2021-resuelto.pdf
examSep2020-resuelto.pdf
Anónimo

@Anónimo

examenes

-

Exámenes ev. continua resueltos

He publicado nuevos examenes de 2º Fundamentos de Control: Exámenes ev. continua resueltos

Prueba-1.pdf
Prueba-2.pdf
Prueba-3.pdf
Prueba-4.pdf
Prueba-5.pdf
Prueba-6.pdf

He publicado nuevos test de 2º Fundamentos de Control: Test-3.2.pdf

1 página

practicas

-

Prácticas completas Matlab

He publicado nuevos practicas de 2º Fundamentos de Control: Prácticas completas Matlab

Practica-1.pdf
P2.pdf
P3.pdf
P4.pdf
p5LaboratoriociruitoRCsegundoorden.pdf
P8.pdf

practicas

-

Prácticas completas 2022/2023

He publicado nuevos practicas de 2º Fundamentos de Control: Prácticas completas 2022/2023

Practica-1.pdf
Practica-2.pdf
Practica-3.pdf
Practica-4.pdf
Practica-5.pdf
Practica-6.pdf

test

-

Test de Evaluación Continua

He publicado nuevos test de 2º Fundamentos de Control: Test de Evaluación Continua

Test-T1.pdf
Test-T1.2-2023.pdf
Test-2.1-y-2.2.pdf
Test-2.3.pdf
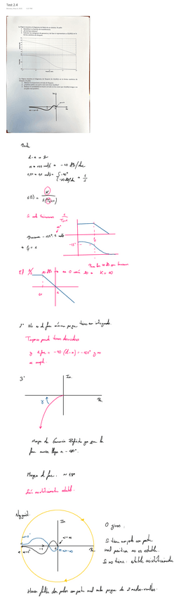
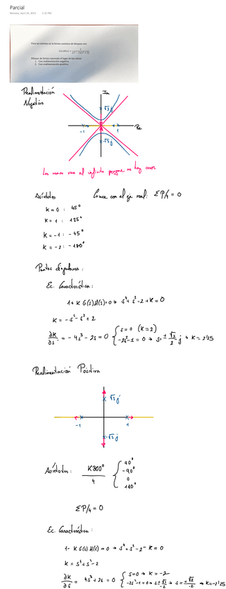
Test-2.4-2023-05-08-160309.pdf

He publicado nuevos practicas de 2º Fundamentos de Control: Resolucion-grafica-de-la-Practica-3-1-Tarea-6.pdf

2 páginas

apuntes

-

PRACTICAS MATLAB

He publicado nuevos apuntes de 2º Fundamentos de Control: PRACTICAS MATLAB

p91VictorGarciaLlamas.pdf
p101VictorGarciaCompensacionproporcionalenfrecuencia.pdf
p111VictorGarciaLlamasCompensacionenadelantoyPD.pdf
PRACTICA-7.pdf

He publicado nuevos apuntes de 2º Fundamentos de Control: PRACTICA-4.pdf

28 páginas

He publicado nuevos apuntes de 2º Fundamentos de Control: PRACTICA-1.pdf

36 páginas

He publicado nuevos apuntes de 2º Fundamentos de Control: PRACTICA-3.pdf

40 páginas

He publicado nuevos apuntes de 2º Fundamentos de Control: PRACTICA-2.pdf

25 páginas