Todo
Apuntes
Ejercicios
Exámenes
Otros
Prácticas
Test
Trabajos
chevron_left
chevron_right

He publicado nuevos apuntes de 1º Fundamentos de Dirección de Empresas: Tema-8.-La-direccion-financiera.docx

word

He publicado nuevos apuntes de 1º Fundamentos de Dirección de Empresas: Tema-7.-La-direccion-comercial.docx

word

He publicado nuevos apuntes de 1º Fundamentos de Dirección de Empresas: Tema-5.-La-direccion-de-personas.docx

word

He publicado nuevos apuntes de 1º Fundamentos de Dirección de Empresas: Tema-6.-La-direccion-de-las-operaciones.docx

word

He publicado nuevos apuntes de 1º Fundamentos de Dirección de Empresas: Tema-3.-La-estrategia-de-la-empresa.docx

word

He publicado nuevos apuntes de 1º Fundamentos de Dirección de Empresas: Tema-4.-La-organizacion-de-la-empresa.docx

word

He publicado nuevos apuntes de 1º Fundamentos de Dirección de Empresas: Tema-2.-El-empresario-y-la-direccion-de-empresas.docx

word

He publicado nuevos apuntes de 1º Fundamentos de Dirección de Empresas: Tema-1.-La-empresa.pdf

5 páginas

He publicado nuevos examenes de 1º Fundamentos de Dirección de Empresas: FADE-EXAM-2025.pdf

5 páginas

He publicado nuevos examenes de 1º Fundamentos de Dirección de Empresas: FADE-EXAM-2025-Solutions-test.pdf

5 páginas

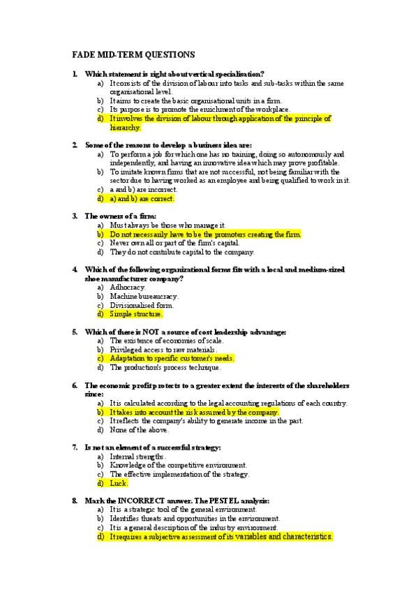
He publicado nuevos examenes de 1º Fundamentos de Dirección de Empresas: SOLUTIONS-MID-TERM-QUESTIONS-2024-FADE.pdf

1 página

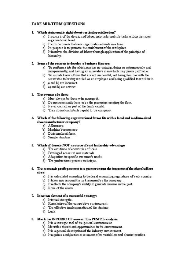
He publicado nuevos examenes de 1º Fundamentos de Dirección de Empresas: MID-TERM-QUESTIONS-2024-FADE.pdf

1 página

APUNTES DEL TEMA 1-3, INFORMACION DE LA PRESENTACION CON CONTENIDO DEL LIBRO

26 páginas

He publicado nuevos apuntes de 1º Fundamentos de Dirección de Empresas: FAFE.pdf.pdf

8 páginas

He publicado nuevos examenes de 1º Fundamentos de Dirección de Empresas: TEST-DE-EXAMEN-FUNDAMENTOS-DE-DIRECCION-DE-EMPRESAS.pdf

28 páginas

He publicado nuevos apuntes de 1º Fundamentos de Dirección de Empresas: Aplicaciones-SOLUCIONADAS.pdf

38 páginas

He publicado nuevos apuntes de 1º Fundamentos de Dirección de Empresas: Temario-completo-explicado.pdf

52 páginas

He publicado nuevos apuntes de 1º Fundamentos de Dirección de Empresas: Tema-2-1.pdf

10 páginas

He publicado nuevos apuntes de 1º Fundamentos de Dirección de Empresas: Tema-1-2.pdf

19 páginas

He publicado nuevos apuntes de 1º Fundamentos de Dirección de Empresas: Tema-1-1.pdf

3 páginas

He publicado nuevos apuntes de 1º Fundamentos de Dirección de Empresas: Tema-2.pdf

2 páginas

He publicado nuevos apuntes de 1º Fundamentos de Dirección de Empresas: Tema-3.pdf

4 páginas

He publicado nuevos apuntes de 1º Fundamentos de Dirección de Empresas: TEMA-4-FUNDAMENTOS.pdf

10 páginas

He publicado nuevos apuntes de 1º Fundamentos de Dirección de Empresas: TEMA-3-FUNDAMENTOS.pdf

7 páginas

He publicado nuevos apuntes de 1º Fundamentos de Dirección de Empresas: TEMA-2-FUNDAMENTOS.pdf

10 páginas

He publicado nuevos apuntes de 1º Fundamentos de Dirección de Empresas: TEMA-1-FUNDAMENTOS.pdf

11 páginas

He publicado nuevos examenes de 1º Fundamentos de Dirección de Empresas: Parcial-2.-Jaime-Souto.pdf

5 páginas

apuntes

-

Temas 1-7 con libro. Jaime Souto. Grupo G. Curso 24-25

Apuntes completados con el libro que recomiendan

APUNTES.Tema-1.-Fundamentos.-Wuolah.pdf
APUNTES.-Tema-2.-Fudamentos.-Wuolah.pdf
APUNTES-Tema-3.-Fundamentos.-Wuolah.pdf
APUNTES.-Tema-4.-Fundamentos.-Wuolah.pdf
APUNTES.-Tema-5.-Fundamentos.-Wuolah.pdf
APUNTES.-Tema-6.-Fundamentos.-Wuolah.pdf

apuntes

-

Fundamentos de Dirección de Empresas

Apuntes del libro

FT3-LA-ESTRATEGIA-DE-LA-EMPESA.pdf
FT4-la-estructura-organizativa.pdf
FT2-EL-EMPRESARIO-Y-LA-DIRECCION-DE-EMPRESA..pdf
FT1-LA-EMPRESA.pdf

apuntes

-

PLATAFORMA TEST GRATIS

Accede a nuestra plataforma tipo test gratis donde podrás practicar el examen de FADE con preguntas de exámenes de años anteriores

Miniatura no disponible
https://proxusacademy.com/link/6772d798bdde1486539f4f88

He publicado nuevos apuntes de 1º Fundamentos de Dirección de Empresas: Fundamentos-Capitulo-8.pdf

1 página

He publicado nuevos apuntes de 1º Fundamentos de Dirección de Empresas: Fundamentos-Capitulo-7.pdf

8 páginas

He publicado nuevos apuntes de 1º Fundamentos de Dirección de Empresas: Fundamentos-Capitulo-6.pdf

12 páginas

He publicado nuevos apuntes de 1º Fundamentos de Dirección de Empresas: Fundamentos-Capitulo-5.pdf

9 páginas

He publicado nuevos apuntes de 1º Fundamentos de Dirección de Empresas: Fundamentos-Capitulo-4.pdf

9 páginas

He publicado nuevos apuntes de 1º Fundamentos de Dirección de Empresas: Fundamentos-Capitulo-3.pdf

8 páginas

He publicado nuevos apuntes de 1º Fundamentos de Dirección de Empresas: Fundamentos-Capitulo-2.pdf

7 páginas

He publicado nuevos apuntes de 1º Fundamentos de Dirección de Empresas: Fundamentos-capitulo-1.pdf

1 página
Anónimo

@Anónimo

He publicado nuevos apuntes de 1º Fundamentos de Dirección de Empresas: UNIT-456.pdf

30 páginas
Anónimo

@Anónimo

He publicado nuevos apuntes de 1º Fundamentos de Dirección de Empresas: Unit-123.pdf

19 páginas
Anónimo

@Anónimo

He publicado nuevos examenes de 1º Fundamentos de Dirección de Empresas: Midterm-1-6.pdf

6 páginas
Anónimo

@Anónimo

He publicado nuevos practicas de 1º Fundamentos de Dirección de Empresas: CASE-STUDIES.pdf

7 páginas

Control II Fundamentos de Dirección UCM

7 páginas

apuntes

-

FUNDAMENTOS DE DIRECCIÓN TEMA 2

He publicado nuevos apuntes de 1º Fundamentos de Dirección de Empresas: FUNDAMENTOS DE DIRECCIÓN TEMA 2

FUNDAMENTOS-DE-DIRECCION-TEMA-1.pdf
FUNDAMENTOS-DE-DIRECCION-TEMA-2.pdf
FUNDAMENTOS-DE-DIRECCION-TEMA-3.pdf

ejercicios

-

Aplicaciones y casos

He publicado nuevos ejercicios de 1º Fundamentos de Dirección de Empresas: Aplicaciones y casos

Aplicaciones-capitulo-4.pdf
Aplicaciones-capitulo-5.pdf
Aplicaciones-capitulo-6.pdf
Aplicaciones-tema-7.pdf
Aplicaciones-tema-8.pdf
Caso-practico-5-6-7.pdf

apuntes

-

APUNTES

He publicado nuevos apuntes de 1º Fundamentos de Dirección de Empresas: APUNTES

CAPITULO-1-FADE.pdf
CAPITULO-2-FADE.pdf
CAPITULO-3-FADE.pdf
CAPITULO-4-FADE.pdf
CAPITULO-5-FADE.pdf
CAPITULO-6-FADE.pdf

He publicado nuevos apuntes de 1º Fundamentos de Dirección de Empresas: UNIT-7-Marketing-management.docx

word

He publicado nuevos apuntes de 1º Fundamentos de Dirección de Empresas: UNIT-5-Managing-people.docx

word

He publicado nuevos apuntes de 1º Fundamentos de Dirección de Empresas: UNIT-6-Operating-management.docx

word

He publicado nuevos apuntes de 1º Fundamentos de Dirección de Empresas: UNIT-4-Organization-of-the-firm.docx

word

He publicado nuevos apuntes de 1º Fundamentos de Dirección de Empresas: UNIT-3-The-strategy-of-the-firm.docx

word

He publicado nuevos apuntes de 1º Fundamentos de Dirección de Empresas: UNIT-2-The-entrepreneur.docx

word

He publicado nuevos apuntes de 1º Fundamentos de Dirección de Empresas: UNIT-1-The-Firm.docx

word

He publicado nuevos apuntes de 1º Fundamentos de Dirección de Empresas: UNIT-4-ORGANIZATION-OF-THE-FIRM.pdf

2 páginas

He publicado nuevos practicas de 1º Fundamentos de Dirección de Empresas: Illustration-Samsung.pdf

1 página

apuntes

-

APUNTES FADE EN INGLÉS UNIT 1-3

He publicado nuevos apuntes de 1º Fundamentos de Dirección de Empresas: APUNTES FADE EN INGLÉS UNIT 1-3

U1-The-Firm.pdf
UNIT-2.1-ENTREPRENEURSHIP-AND-MANAGEMENT.pdf
UNIT-2.2-ENTREPRENEUR-AND-BUSINESS-CREATION.pdf
UNIT-3-THE-STRATEGY-OF-THE-FIRM.pdf

He publicado nuevos apuntes de 1º Fundamentos de Dirección de Empresas: tema-5-al-8.pdf

43 páginas

apuntes

-

FADE TEMARIO COMPLETO EXAMEN

He publicado nuevos apuntes de 1º Fundamentos de Dirección de Empresas: FADE TEMARIO COMPLETO EXAMEN

FADE-tema-8.pdf
FADE-tema-7.pdf
FADE-tema-6.pdf
FADE-tema-5.pdf
FADE-tema-4.pdf
FADE-tema-3.pdf

practicas

-

FADE TODOS LOS CASOS HECHOS

He publicado nuevos practicas de 1º Fundamentos de Dirección de Empresas: FADE TODOS LOS CASOS HECHOS

FADE-CASO-1.-Ecoalf.pdf
FADE-CASO-2.-Beyond-meat.pdf
FADE-CASO-3.-La-estraegia-de-ECCO.pdf
FADE-CASO-4.-La-organizacion-del-Banco-Santander.pdf
FADE-CASO-5.-La-gestion-del-talento-en-Everis.pdf
FADE-CASO-6.-Tesla.pdf

apuntes

-

in group

He publicado nuevos apuntes de 1º Fundamentos de Dirección de Empresas: in group

BEYOND-MEAT.pdf
ECCO.pdf
THE-ORGANISATION-OF-BANCO-SANTANDER.pdf