Fundamentos de Economía y Empresa

chevron_left
chevron_right
Todo
Apuntes
Ejercicios
Exámenes
Prácticas
chevron_left
chevron_right

apuntes

-

RESUMEN ECONOMIA

He publicado nuevos apuntes de 1º Fundamentos de Economía y Empresa: RESUMEN ECONOMIA

PARTE-1-ECONOMIA.pdf
PARTE-2-ECONOMIA.pdf
PARTE-3-ECONOMIA.pdf
PARTE-4-ECONOMIA.pdf

examenes

-

EXAMENES ANTERIORES

He publicado nuevos examenes de 1º Fundamentos de Economía y Empresa: EXAMENES ANTERIORES

EXAMEN-FINAL-2019.pdf
EXAMEN-SEPTIEMBRE-2019.pdf

He publicado nuevos apuntes de 1º Fundamentos de Economía y Empresa: Tema-3.-Mercado-Ideal-y-la-Competencia-Perfecta.pdf

5 páginas

He publicado nuevos apuntes de 1º Fundamentos de Economía y Empresa: Tema-3.pdf

4 páginas

He publicado nuevos apuntes de 1º Fundamentos de Economía y Empresa: Tema-4.pdf

8 páginas

He publicado nuevos apuntes de 1º Fundamentos de Economía y Empresa: Tema-6.pdf

1 página

apuntes

-

Fundamentos de economía y empresa_apuntes

Apuntes de Fundamentos de Economía y empresa de 1º, sacados de la presentaciones del profesor Luis Yamuza, falta el tema 3 por motivos de derechos de autor

Tema-1.-La-economia-y-la-organizacion-de-la-actividad-economica.pdf
Tema-2.-Produccion-y-costes.pdf
Tema-4.-La-empresa-y-la-economia.pdf
Tema-5.-La-empresa-y-el-entorno-economico.pdf
Tema-6.-Contabilidad-y-finanzas-de-la-empresa.pdf

He publicado nuevos apuntes de 1º Fundamentos de Economía y Empresa: Tema-2.-Produccion-y-costes.pdf

8 páginas

He publicado nuevos apuntes de 1º Fundamentos de Economía y Empresa: Tema-1.-La-economia-y-la-organizacion-de-la-actividad-economica.pdf

8 páginas

Asignatura completa

30 páginas

He publicado nuevos apuntes de 1º Fundamentos de Economía y Empresa: RESUMEN-TEMAS-5-6-7.pdf

8 páginas

He publicado nuevos apuntes de 1º Fundamentos de Economía y Empresa: RESUMEN-TEMAS-1-2-3-4.pdf

14 páginas

examenes

-

Preguntas Clave Exámenes

He publicado nuevos examenes de 1º Fundamentos de Economía y Empresa: Preguntas Clave Exámenes

Preguntas-examen-Casos-de-competencia-monopolistica.pdf
Preguntas-examen-Mercados-imperfectos.pdf
Pregunta-Examen-monopolio-frente-a-competencia-perfecta.pdf
preguntas-examen-Problemas-macroeconomicos.pdf
Preguntas-Examen-Mercados-en-competencia-perfecta.pdf
Tema7DesempleoyInflacion.pdf

He publicado nuevos examenes de 1º Fundamentos de Economía y Empresa: Examen-parcial-economia-20192020.pdf

7 páginas

apuntes

-

GRÁFICAS ECONOMÍA

He publicado nuevos apuntes de 1º Fundamentos de Economía y Empresa: GRÁFICAS ECONOMÍA

GRAFICAS-ECONOMIA-TEMA-3-Y-4.pdf
GRAFICA-ECONOMIA-TEMA-2.pdf

apuntes

-

APUNTES TEORÍA ECONOMÍA

He publicado nuevos apuntes de 1º Fundamentos de Economía y Empresa: APUNTES TEORÍA ECONOMÍA

TEMA-1-FECOM.pdf
TEMA-3-FECOM-.pdf
TEMA-2-FECOM.pdf
TEMA-4-FECOM.pdf
TEMA-5.pdf
TEMA-6.pdf

He publicado nuevos apuntes de 1º Fundamentos de Economía y Empresa: Resumen.pdf

13 páginas
Anónimo

@Anónimo

apuntes

-

GRÁFICAS

He publicado nuevos apuntes de 1º Fundamentos de Economía y Empresa: GRÁFICAS

CamScanner-05-19-2020-12.pdf
CamScanner-05-19-2020-12.pdf
Anónimo

@Anónimo

apuntes

-

APUNTES ECONOMÍA

He publicado nuevos apuntes de 1º Fundamentos de Economía y Empresa: APUNTES ECONOMÍA

TEMA-3-FECOM-.pdf
TEMA-1-FECOM.pdf
TEMA-2-FECOM.pdf
TEMA-4-FECOM.pdf
TEMA-5.pdf

apuntes

-

Apuntes

He publicado nuevos apuntes de 1º Fundamentos de Economía y Empresa: Apuntes

TEMA-3.pdf
TEMA-5.pdf
TEMA-2.pdf
TEMA-7.pdf
TEMA-4.pdf
TEMA-6.pdf

He publicado nuevos apuntes de 1º Fundamentos de Economía y Empresa: EXAMENES-FINALES-RESUELTOS.pdf

6 páginas

apuntes

-

Problemas y exámenes resueltos

He publicado nuevos apuntes de 1º Fundamentos de Economía y Empresa: Problemas y exámenes resueltos

boletin-4.pdf
Resumen-series.pdf
Boletin-combinatoria.pdf
Examenes-2017-resueltos.pdf
Boletin-tema-2.pdf
Formulario-de-todos-los-temas.pdf

He publicado nuevos apuntes de 1º Fundamentos de Economía y Empresa: Tema7DesempleoyInflacion.pdf

3 páginas

He publicado nuevos apuntes de 1º Fundamentos de Economía y Empresa: Problemas-macroeconomicos.pdf

2 páginas

He publicado nuevos apuntes de 1º Fundamentos de Economía y Empresa: monopoliovscompetencia-perfecta.pdf

1 página

He publicado nuevos apuntes de 1º Fundamentos de Economía y Empresa: Casos-de-competencia-monopolistica.pdf

1 página

He publicado nuevos apuntes de 1º Fundamentos de Economía y Empresa: Tema-4-Los-mercados-imperfectos.pdf

3 páginas

He publicado nuevos apuntes de 1º Fundamentos de Economía y Empresa: Tema-3-El-mercado-ideal-Competencia-perfecta.pdf

4 páginas
Anónimo

@Anónimo

He publicado nuevos examenes de 1º Fundamentos de Economía y Empresa: FECON-SEPTIEMBRE-2019.pdf

1 página

He publicado nuevos apuntes de 1º Fundamentos de Economía y Empresa: COMPETENCIA-PERFERCTA-GRAFICAS.pdf

3 páginas

He publicado nuevos examenes de 1º Fundamentos de Economía y Empresa: PREFINAL-FECON.pdf

2 páginas

practicas

-

Práctica Invertir en Bolsa(Todos los documentos a entregar)

He publicado nuevos practicas de 1º Fundamentos de Economía y Empresa: Práctica Invertir en Bolsa(Todos los documentos a entregar)

ACTIVIDAD PASADA (21 abril al 28 de abril).pdf
ACTIVIDAD PASADA (29 abril al 5 de mayo).pdf
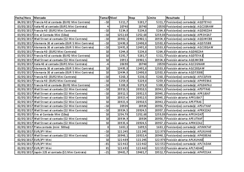
cuadrotrading - Hoja1.pdf
cuadrotrading - Hoja2.pdf
EXTRACTO.pdf
Primera semana.pdf

He publicado nuevos apuntes de 1º Fundamentos de Economía y Empresa: Temas 1-8 resumidos.pdf

38 páginas

He publicado nuevos apuntes de 1º Fundamentos de Economía y Empresa: ECONOMIA Y EMPRESA.TEORIA+PROBLEMAS.DIEGO BARBADILLA.1º JESIKA.pdf

180 páginas

He publicado nuevos apuntes de 1º Fundamentos de Economía y Empresa: tema 3.pdf

10 páginas

He publicado nuevos apuntes de 1º Fundamentos de Economía y Empresa: tema4.pdf

8 páginas

He publicado nuevos apuntes de 1º Fundamentos de Economía y Empresa: t7.pdf

16 páginas

He publicado nuevos apuntes de 1º Fundamentos de Economía y Empresa: tema 6.pdf

34 páginas

He publicado nuevos apuntes de 1º Fundamentos de Economía y Empresa: tema5.pdf

14 páginas

He publicado nuevos apuntes de 1º Fundamentos de Economía y Empresa: Tema1.pdf

10 páginas

He publicado nuevos ejercicios de 1º Fundamentos de Economía y Empresa: ejercicos.pdf

6 páginas

He publicado nuevos apuntes de 1º Fundamentos de Economía y Empresa: t8.pdf

44 páginas

He publicado nuevos apuntes de 1º Fundamentos de Economía y Empresa: tema 2.pdf

16 páginas
¡Estás al día!

¡Estás al día!

Has visto todos los archivos