chevron_left
chevron_right
Todo
Apuntes
Ejercicios
Exámenes
Prácticas
Test
Trabajos
chevron_left
chevron_right

He publicado nuevos ejercicios de 2º Fundamentos de Electrónica: Ejercicios-con-Soluciones-Todo-FE.pdf

31 páginas

He publicado nuevos apuntes de 2º Fundamentos de Electrónica: Apuntes-FE-Bloque-3.pdf

10 páginas

He publicado nuevos apuntes de 2º Fundamentos de Electrónica: Apuntes-FE-Bloque-2.pdf

12 páginas

He publicado nuevos apuntes de 2º Fundamentos de Electrónica: Apuntes-FE-Bloque1.pdf

8 páginas

Multiple choice question 5 correct answer is b.

10 páginas

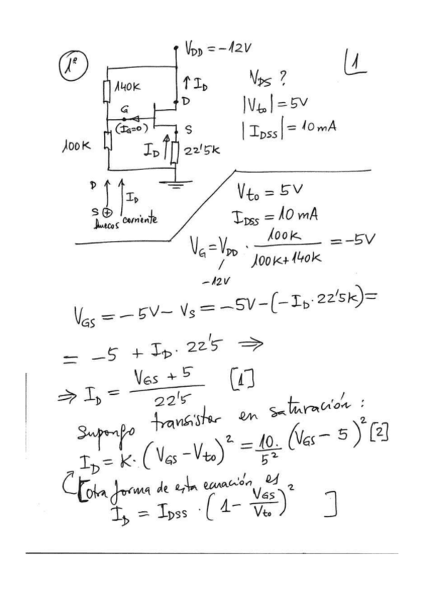
Transistors problems from previous exams

15 páginas

Exercises from the bulletin (Unit 4 only)

12 páginas

He publicado nuevos test de 2º Fundamentos de Electrónica: Unit2Self-assessmentTestMCTEnglish2526.pdf

9 páginas

He publicado nuevos ejercicios de 2º Fundamentos de Electrónica: SOLVEDZ-Self-assessment.pdf

4 páginas

He publicado nuevos practicas de 2º Fundamentos de Electrónica: Practica8explicada.pdf

4 páginas

He publicado nuevos practicas de 2º Fundamentos de Electrónica: Practica6explicada.pdf

8 páginas

He publicado nuevos practicas de 2º Fundamentos de Electrónica: Practica6.pdf

5 páginas

Resumen de la primera parte de las prácticas, en Orcad

17 páginas

He publicado nuevos practicas de 2º Fundamentos de Electrónica: Practica5.pdf

10 páginas

He publicado nuevos practicas de 2º Fundamentos de Electrónica: Practica2.pdf

5 páginas

ejercicios

-

autoevaluaciones

He publicado nuevos ejercicios de 2º Fundamentos de Electrónica: autoevaluaciones

CuestionesYProblemasSol.pdf
SOLUCIONESCuestionesYProblemasAutoevaluacionTema2-2.pdf
SOLUCIONESTestAutoevaluacionTema2-1.pdf
Tema2AutoevaluacionCuestionesYProblemas.pdf
Tema2AutoevaluacionTest.pdf
TestSol.pdf

He publicado nuevos practicas de 2º Fundamentos de Electrónica: Practica4.pdf

5 páginas

He publicado nuevos test de 2º Fundamentos de Electrónica: SOLUCIONESTestAutoevaluacionTema2.pdf

12 páginas

He publicado nuevos apuntes de 2º Fundamentos de Electrónica: Boletin-Temas-6-7-Resuelto.pdf

14 páginas

He publicado nuevos ejercicios de 2º Fundamentos de Electrónica: Boletin-Junio-2015-Resuelto.pdf

pdf
Anónimo

@Anónimo

He publicado nuevos trabajos de 2º Fundamentos de Electrónica: ProblemasAutoevaluacion2.pdf

5 páginas

He publicado nuevos trabajos de 2º Fundamentos de Electrónica: Autoevaluacion-diodosCUESTIONES.pdf

3 páginas
Anónimo

@Anónimo

He publicado nuevos apuntes de 2º Fundamentos de Electrónica: Diodos.pdf

23 páginas
Anónimo

@Anónimo

ejercicios

-

Ejercicios y sus soluciones

He publicado nuevos ejercicios de 2º Fundamentos de Electrónica: Ejercicios y sus soluciones

SOLUCIONES-Boletin1-Problemas-diodos-17-18.pdf
SOLUCIONES-ejercicios-boletin-2-BJTs-17-18.pdf
Boletin-problemas-Temas-3-5-BJTs-y-amplificacion-1.pdf
SOLUCIONESBoletin3Problemas1-2-5-6-9-10.pdf
SOLUCIONESBoletin3Problemas7.pdf
SOLUCIONESBoletin3Problemas3y4.pdf

ejercicios

-

Ejercicios resueltos de FE

He publicado nuevos ejercicios de 2º Fundamentos de Electrónica: Ejercicios resueltos de FE

FE-Ejercicios-Temas-3-5.pdf
FE-Ejercicios-Diodos.pdf
FE-Ejercicios-Tema-6-8.pdf
¡Estás al día!

¡Estás al día!

Has visto todos los archivos