Fundamentos de Física I

chevron_left
chevron_right
Todo
Apuntes
Ejercicios
Exámenes
Otros
PEC
publication
Trabajos
chevron_left
chevron_right

PEC 2 de fundamentos de la fisica I, nota de 10 ejercicios, soluciones y explicaciones

word

Apuntes del tema 1 con ejercicios resueltos

9 páginas

apuntes

-

Apuntes por temas

He publicado nuevos apuntes de 1º Fundamentos de Física I: Apuntes por temas

Tema-10-Ondulaciones-Y-Ondas.pdf
Tema-11-Termodinamica.pdf
Tema-9-Oscilaciones-Y-Ondas.pdf
Tema-8-Fluidos.pdf
Tema-7-Equilibrio-Estatico-Y-Elasticidad.pdf
Tema-6-Interaccion-Gravitatoria.pdf

He publicado nuevos apuntes de 1º Fundamentos de Física I: Vibraciones-y-ondas-para-poetas-Fisica-poetica-de-las-vibraciones-y-las-ondas.pdf

46 páginas

Este resumen está diseñado para que puedas doblarlo y quede en formato A5, con información por ambos lados.

1 página

He publicado nuevos apuntes de 1º Fundamentos de Física I: TEMA11.Termodinamica.pdf

4 páginas

He publicado nuevos apuntes de 1º Fundamentos de Física I: TEMA9.Oscilaciones.pdf

2 páginas

He publicado nuevos apuntes de 1º Fundamentos de Física I: TEMA7.Equilibrio-estatico-y-elasticidad.pdf

2 páginas

He publicado nuevos apuntes de 1º Fundamentos de Física I: TEMA8.Fluidos.pdf

3 páginas

He publicado nuevos apuntes de 1º Fundamentos de Física I: AlonsoFinn-Problemas-cap-3-resuelto.pdf

39 páginas

He publicado nuevos apuntes de 1º Fundamentos de Física I: Termodinamica-Resumen.pdf

3 páginas

He publicado nuevos apuntes de 1º Fundamentos de Física I: Relog-solar-Fisica-Mecanica.xlsx

excel

He publicado nuevos apuntes de 1º Fundamentos de Física I: Presupuesto-Costes-y-Amortizacion-Colominas..xlsx

excel

apuntes

-

Apuntes Tipler Vol I

He publicado nuevos apuntes de 1º Fundamentos de Física I: Apuntes Tipler Vol I

Apuntes-Cap-1.2.3.pdf
Apuntes-Cap-4-Leyes-Newton.pdf
Apuntes-Cap-5-Aplicaciones-Leyes-de-Newton.pdf
Apuntes-Cap-6-Trabajo y energía.pdf
Apuntes-Cap-7 (Conservación de la energía).pdf
Apuntes-Cap-8 (Conservación momento lineal).pdf

Hasta gravitación

13 páginas

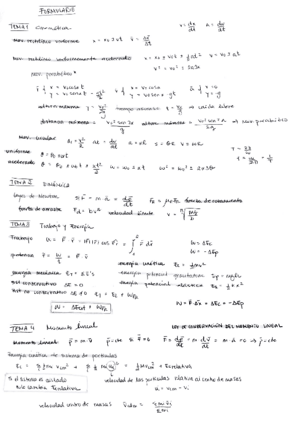
He publicado nuevos apuntes de 1º Fundamentos de Física I: Formulario-Fisica-I.pdf

15 páginas

apuntes

-

apuntes completos (muy buenos)

He publicado nuevos apuntes de 1º Fundamentos de Física I: apuntes completos (muy buenos)

cinematica.pdf

He publicado nuevos pec de 1º Fundamentos de Física I: FF12023FebPEC2sol-1.pdf

9 páginas

Solución segunda semana

2 páginas

Solución examen primera semana

3 páginas

apuntes

-

Física general libros útiles

He publicado nuevos apuntes de 1º Fundamentos de Física I: Física general libros útiles

Fisica-para-ciencias-e-ingenieria-volumen-1.pdf

solucionario

Alguien tiene el solucionario del examen de FF1 de este último curso 22/23?

He publicado nuevos apuntes de 1º Fundamentos de Física I: ffisica1-primera-semana-feb23.pdf

2 páginas

apuntes

-

Esquema-Resumen del Libro

He publicado nuevos apuntes de 1º Fundamentos de Física I: Esquema-Resumen del Libro

2.pdf
3.pdf
4.pdf
5.pdf
6.pdf
7.pdf

Capítulos 1, 2, 3, 4, 5, 6, 7, 8 y 10.

36 páginas

apuntes

-

Fundamentos de Física I - 24-25

He publicado nuevos apuntes de 1º Fundamentos de Física I: Fundamentos de Física I - 24-25

Fundamentos-de-Fisica-I-Tema-1.pdf
Fundamentos-de-Fisica-I-Tema-2.pdf

He publicado nuevos apuntes de 1º Fundamentos de Física I: Tema1FormularioCinematica.pdf

5 páginas

examenes

-

Examenes Resueltos FFI

He publicado nuevos examenes de 1º Fundamentos de Física I: Examenes Resueltos FFI

feb16.pdf
feb13.pdf
feb16b.pdf
feb15.pdf
feb15b.pdf
feb14.pdf

apuntes

-

Resumen del temario por temas

He publicado nuevos apuntes de 1º Fundamentos de Física I: Resumen del temario por temas

Tema-3.pdf
Tema-2.pdf
Tema-7.pdf
Tema-9.pdf
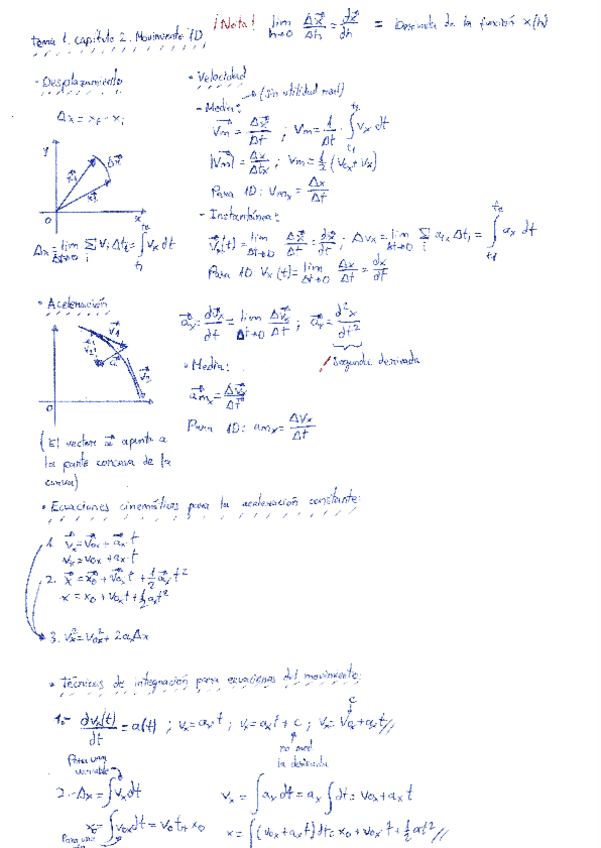
Tema-1-Cap-2-3.png
Tema-4-Cap-5-y-8-Sistemas-de-particulas-y-cantidad-de-movimiento.pdf

apuntes

-

Fundamentos de Física I

He publicado nuevos apuntes de 1º Fundamentos de Física I: Fundamentos de Física I

Tema-1-Cinematica.pdf
Tema-2-Leyes-de-Newton.pdf
Tema-3-Trabajo-y-energia.pdf
Tema-4-Sistemas-de-particulas-cantidad-de-movimiento.pdf

apuntes

-

Formulario capituos 11-19

He publicado nuevos apuntes de 1º Fundamentos de Física I: Formulario capituos 11-19

Tema-18.pdf
Tema-19.pdf
Tema-11.pdf
Tema-16.pdf
Tema-15.pdf
Tema-12.pdf

otros

-

Formulario Temas 1-10

He publicado nuevos otros de 1º Fundamentos de Física I: Formulario Temas 1-10

Tema-10.pdf
Tema-3.pdf
Tema-9.pdf
Tema-7.pdf
Tema-1.pdf
Tema-8.pdf

He publicado nuevos apuntes de 1º Fundamentos de Física I: Formulario-General.pdf

125 páginas

He publicado nuevos apuntes de 1º Fundamentos de Física I: Capitulo-8-FFI.pdf

10 páginas

He publicado nuevos apuntes de 1º Fundamentos de Física I: Capitulo-7-FFI.pdf

8 páginas

He publicado nuevos apuntes de 1º Fundamentos de Física I: Capitulo-6-FFI.pdf

6 páginas

He publicado nuevos apuntes de 1º Fundamentos de Física I: Capitulo-5-FFI.odt

word

He publicado nuevos apuntes de 1º Fundamentos de Física I: Fundamentos-de-la-Fisica-1.pdf

41 páginas

He publicado nuevos apuntes de 1º Fundamentos de Física I: Fundamentos-de-Fisica-I-Tema-1.pdf

9 páginas

He publicado nuevos apuntes de 1º Fundamentos de Física I: Capitulo-4-FFI.odt

word

He publicado nuevos apuntes de 1º Fundamentos de Física I: Capitulo-3-FFI.odt

word

trabajos

-

(PECs)PRUEBAS DE EVALUACION CONTINUA

He publicado nuevos trabajos de 1º Fundamentos de Física I: (PECs)PRUEBAS DE EVALUACION CONTINUA

PEC-II-FFI.pdf

ejercicios

-

Problemas F.Fundamental I

He publicado nuevos ejercicios de 1º Fundamentos de Física I: Problemas F.Fundamental I

R.pdf
R.pdf
R.pdf
R.pdf
R.pdf

apuntes

-

Diapositivas F.Fundamental I

He publicado nuevos apuntes de 1º Fundamentos de Física I: Diapositivas F.Fundamental I

2.pdf
7.pdf
3.pdf
6.pdf
1.pdf
5.pdf

apuntes

-

Fundamentos de Física I

He publicado nuevos apuntes de 1º Fundamentos de Física I: Fundamentos de Física I

T7-EQUILIBRIO-ESTATICO-Y-ELASTICIDAD.pdf
T9-MOVIMIENTO-ARMONICO-SIMPLE.pdf
T5-OBJETOS-RODANTES.pdf
T3-TRABAJO-Y-ENERGIA.pdf
T10-MOVIMIENTO-ONDULATORIO.pdf
T8-FLUIDOS.pdf

He publicado nuevos apuntes de 1º Fundamentos de Física I: Formulario-FFI.pdf

6 páginas

He publicado nuevos apuntes de 1º Fundamentos de Física I: Cinemática

19 páginas

apuntes

-

LIBROS

He publicado nuevos apuntes de 1º Fundamentos de Física I: LIBROS

Fisica-Tipler-5ta-Edicion-Vol-1.pdf
Física Tipler 6ª Ed. Vol. 1. TEMAS:9-15
Física Tipler 6ª Ed. Vol. 1. TEMAS:16-20
Física Tipler 6ª Ed. Vol. 1. TEMAS:1-8

apuntes

-

PECS

He publicado nuevos apuntes de 1º Fundamentos de Física I: PECS

PEC-1-2012-Solucion.pdf
PEC-1-2012-2017-Solucion.pdf
PEC-2-2014.pdf
PEC-1-2015-Solucion.pdf
PEC-1-2014-Solucion.pdf
PEC-2-2012.pdf