Todo
Apuntes
Ejercicios
Exámenes
Otros
PEC
Prácticas
Trabajos
chevron_left
chevron_right

He publicado nuevos apuntes de 1º Fundamentos de Física Ii: Repaso-Bloque-1251206232820.pdf

4 páginas

He publicado nuevos apuntes de 1º Fundamentos de Física Ii: Funcionamiento-condensador-251108153214.sdocx

Miniatura no disponible

ejercicios

-

Boletines

He publicado nuevos ejercicios de 1º Fundamentos de Física Ii: Boletines

Miniatura no disponible
Medios-Materiales-I-Boletin-5.sdocx
Miniatura no disponible
Ampere-e-Induccion-Boletin-8.sdocx
Miniatura no disponible
Campo-electrico-B3.sdocx
Miniatura no disponible
Campo-electrico-B1.sdocx
Miniatura no disponible
Campo-Electrico-B2.sdocx
Miniatura no disponible
Campo-Magnetostatico-Boletin-7.sdocx

He publicado nuevos apuntes de 1º Fundamentos de Física Ii: formularioparcialff2.pdf

2 páginas

examenes

-

2025 - Enero - Fundamentos de Física II - Soluciones Ordinaria y Extraordinaria (mañanas)

Convocatoria Ordinaria y Extraordinaria de FF2 de 2025 con soluciones realizadas por el profesor (no monetizado por respeto a la propiedad intelectual de las soluciones)

2025-Enero-Fundamentos-de-Fisica-II-Soluciones.pdf
2025-Junio-Fundamentos-de-Fisica-II-Soluciones.pdf

ejercicios

-

Ejercicios resueltos

Adjunto las soluciones del 98% de los ejercicios de FF2, sin contar los adicionales que aparecen al final de los temas. Alguno se ha quedado en el tintero, pero el resto, incluyendo los más importantes, están hechos. Creo que en general todos se ven bien.

Ejercicios T1.pdf
Ejercicios T7.pdf
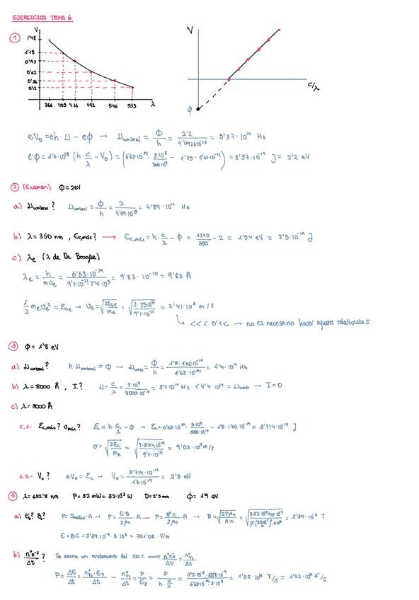
Ejercicios T6.pdf
Ejercicios-T4-Parte-1.pdf
Ejercicios-T4-Parte-2.pdf
Ejercicios-T5.pdf

recopilacion de todos los examenes de fundamentos de fisica II de wuolah y de servidor libre uam

40 páginas

He publicado nuevos apuntes de 1º Fundamentos de Física Ii: tema-6-fisica-cuantica.pdf

5 páginas

He publicado nuevos apuntes de 1º Fundamentos de Física Ii: tema-5-ondas-electromagneticas-y-optica.pdf

8 páginas

He publicado nuevos apuntes de 1º Fundamentos de Física Ii: tema-4-ondas-generalidades.pdf

7 páginas

He publicado nuevos apuntes de 1º Fundamentos de Física Ii: tema-3-campo-electromagnetico.pdf

3 páginas

He publicado nuevos apuntes de 1º Fundamentos de Física Ii: tema-2-campo-magnetico.pdf

4 páginas

He publicado nuevos apuntes de 1º Fundamentos de Física Ii: tema-1-campo-electrico.pdf

6 páginas

apuntes

-

FUNDIS II T.4,5,6,7,8

resúmenes de lo fundamental de cada tema (del 4 al 8) para examen

Miniatura no disponible
IMG7561.HEIC
Miniatura no disponible
IMG7562.HEIC
Miniatura no disponible
IMG7563.HEIC
Miniatura no disponible
IMG7564.HEIC
Miniatura no disponible
IMG7565.HEIC
Miniatura no disponible
IMG7566.HEIC

He publicado nuevos examenes de 1º Fundamentos de Física Ii: Examenes-resueltos-parcial..pdf

21 páginas

He publicado nuevos examenes de 1º Fundamentos de Física Ii: Examenes-resueltos-globales..pdf

41 páginas

He publicado nuevos apuntes de 1º Fundamentos de Física Ii: Tema-6.-Fisica-cuantica..pdf

3 páginas

He publicado nuevos apuntes de 1º Fundamentos de Física Ii: Tema-5.-Ondas-electromagneticas-y-optica..pdf

9 páginas

He publicado nuevos apuntes de 1º Fundamentos de Física Ii: Tema-4.-Ondas-generalidades..pdf

8 páginas

He publicado nuevos apuntes de 1º Fundamentos de Física Ii: Tema-3.-Campo-electromagnetico..pdf

4 páginas

He publicado nuevos apuntes de 1º Fundamentos de Física Ii: Tema-2.-Campo-magnetico..pdf

3 páginas

He publicado nuevos apuntes de 1º Fundamentos de Física Ii: Tema-1.-Campo-electrico..pdf

4 páginas

He publicado nuevos ejercicios de 1º Fundamentos de Física Ii: Ej-Tema-6.-Fisica-cuantica..pdf

6 páginas

He publicado nuevos ejercicios de 1º Fundamentos de Física Ii: Ej-Tema-5.-Ondas-electromagneticas-y-optica..pdf

7 páginas

He publicado nuevos ejercicios de 1º Fundamentos de Física Ii: Ej-Tema-4.-Ondas-generalidades..pdf

7 páginas

He publicado nuevos ejercicios de 1º Fundamentos de Física Ii: Ej-Tema-3.-Campo-electromecanico..pdf

6 páginas

He publicado nuevos ejercicios de 1º Fundamentos de Física Ii: Ej-Tema-2.-Campo-magnetico..pdf

7 páginas

He publicado nuevos ejercicios de 1º Fundamentos de Física Ii: Ej-Tema-1.-Campo-electrico..pdf

6 páginas

Donde pone ejemplos son los ejercicios de teoría dados por Cristina y el resto los dados por Pedro

18 páginas

He publicado nuevos apuntes de 1º Fundamentos de Física Ii: FFII-teoria-materiales.pdf

15 páginas

He publicado nuevos apuntes de 1º Fundamentos de Física Ii: FFII-teoria-campo-electrico.pdf

18 páginas

Donde pone ejemplos son los ejercicios de teoría dados por Cristina y el resto los dados por Pedro

20 páginas

He publicado nuevos apuntes de 1º Fundamentos de Física Ii: FFII-teoria-potencial-electrico.pdf

9 páginas

Donde pone ejemplos son los ejercicios de teoría dados por Cristina y el resto los dados por Pedro

7 páginas

Todo lo que dió tiempo a ver de circuitos

5 páginas

He publicado nuevos apuntes de 1º Fundamentos de Física Ii: FFII-Bloque-optica-teoria.pdf

16 páginas

Donde pone ejemplos son los ejercicios de teoría dados por Cristina y el resto los dados por Pedro

8 páginas

He publicado nuevos apuntes de 1º Fundamentos de Física Ii: FFII-Bloque-magnetostatica-teoria.pdf

11 páginas

Donde pone ejemplos son los ejercicios de teoría dados por Cristina y el resto los dados por Pedro

12 páginas

He publicado nuevos apuntes de 1º Fundamentos de Física Ii: FFII-Bloque-induccion-teoria.pdf

3 páginas

Donde pone ejemplos son los ejercicios de teoría dados por Cristina y el resto los dados por Pedro

10 páginas

He publicado nuevos apuntes de 1º Fundamentos de Física Ii: Resumen-Fisica-II.pdf

2 páginas

examenes

-

EXAMENES FFII RESUELTOS

He publicado nuevos examenes de 1º Fundamentos de Física Ii: EXAMENES FFII RESUELTOS

ExamenparcialCUESTIONEScurso2023-24soluciones.pdf
ExamenparcialPROBLEMAScurso2023-24soluciones.pdf
Examenjunio-extraordinario-2023-24-soluciones.pdf
SOLUCIONESExamenfinal2425todo.pdf
Convocatoria-extraordinaria-2025.pdf

Con corrección de una errata en la demostración

5 páginas

Con correcciones

4 páginas

SOLUCIÓN EXAMEN JUNIO 2025. PARTE DE PROBLEMAS

4 páginas

SOLUCIÓN EXAMEN JUNIO 2025. PARTE TEORÍA.

5 páginas

He publicado nuevos apuntes de 1º Fundamentos de Física Ii: Formulario.pdf

2 páginas

Formulario del segundo parcial (temas 4 y 5) de fundamentos de fisica 2

2 páginas

ejercicios

-

Fundamentos de la Física II (Boletines)_250618_162053-1-31

Son las cosas de clase tal cual (yo tampoco entiendo a Pedro ) ?

Fundamentos-de-la-Fisica-II-Boletines-pt.1.pdf
Fundamentos-de-la-Fisica-II-Boletines-pt.2.pdf

ejercicios

-

Problemas 21-22

He publicado nuevos ejercicios de 1º Fundamentos de Física Ii: Problemas 21-22

Problemas-T1.pdf
Problemas-T2.pdf
Problemas-T3.pdf
Problemas-T4.pdf
Problemas-T5.pdf
Problemas-T6.pdf

He publicado nuevos trabajos de 1º Fundamentos de Física Ii: Sistemas-Climatico-Trabajo-Seminario-FF2.pdf

5 páginas

He publicado nuevos examenes de 1º Fundamentos de Física Ii: Examen-1o-Convocatoria-24/25.pdf

8 páginas

He publicado nuevos examenes de 1º Fundamentos de Física Ii: ExamenProblemasJULIO2324.pdf

1 página

Formulario para el examen final

2 páginas

apuntes

-

Preparación para el examen

Teoría condensada en formularios + ejercicios prácticos resueltos. Todo lo esencial de la asignatura por bloques para preparar el examen.

Condensadores.pdf
Corrientes.pdf
Teoria-corriente-continua.pdf
Teoria-campo-electrico.pdf
Teoria-campo-magnetico.pdf
Teoria-induccion.pdf

examenes

-

Examenes resueltos

He publicado nuevos examenes de 1º Fundamentos de Física Ii: Examenes resueltos

Extraord-2024-resuelta.pdf
Ordinaria-2025-resuelta.pdf
2022-resuelto.pdf
Ordinaria-2024-resuelta.pdf

ejercicios

-

TODOS LOS PROBLEMAS RESUELTOS FFII

He publicado nuevos ejercicios de 1º Fundamentos de Física Ii: TODOS LOS PROBLEMAS RESUELTOS FFII

Problemas-Tema-1Campo-electrico.pdf
Problemas-Tema-2Campo-magnetico.pdf
Problemas-Tema-3Campo-electromagnetico.pdf
Problemas-campo-electromagnetico.pdf
ProblemasTema-4Ondasgeneralidades.pdf
ProblemasTema5OEMOptica.pdf

examenes

-

EXAMENES FINALES Y 2ºPARCIALES RESUELTOS FFII

He publicado nuevos examenes de 1º Fundamentos de Física Ii: EXAMENES FINALES Y 2ºPARCIALES RESUELTOS FFII

FFII23-24TODOMAYOCONSOLUCIONES.pdf
FFII22-23TODOMAYOCONSOLUCIONES.pdf
FFII21-22ExamenFinalTodo-temario-SOLUCIONES.pdf
FFII21-22ExamenFinal2parcial-SOLUCIONES.pdf
FFII20-21ExamenjulioSOLUCIONES.pdf
FFII20-21ExamenFinalTodo-temarioSOLUCIONES.pdf

examenes

-

EXAMENES PARCIALES CON SOLUCIONES FFII

He publicado nuevos examenes de 1º Fundamentos de Física Ii: EXAMENES PARCIALES CON SOLUCIONES FFII

SOLUCIONESExamen2parcial2425.pdf
FFII23-242PARCIALCONSOLUCIONES.pdf
FFII2324CUESTIONESParcial.pdf
FFII22-23examenparcialsoluciones.pdf
FFII22-232PARCIALCONSOLUCIONES.pdf
FFII10-11-Parcial10-11SINsols.pdf