Todo
Apuntes
Ejercicios
Exámenes
chevron_left
chevron_right

apuntes

-

apuntes y ejercicios

He publicado nuevos apuntes de 1º Fundamentos de Física: apuntes y ejercicios

tema-1-cinematica.pdf

apuntes

-

Apuntes de cada tema

Estos apuntes los he realizado con apuntes tomados en clase y con libros recomendamos en la asignatura

Aceleracion.pdf
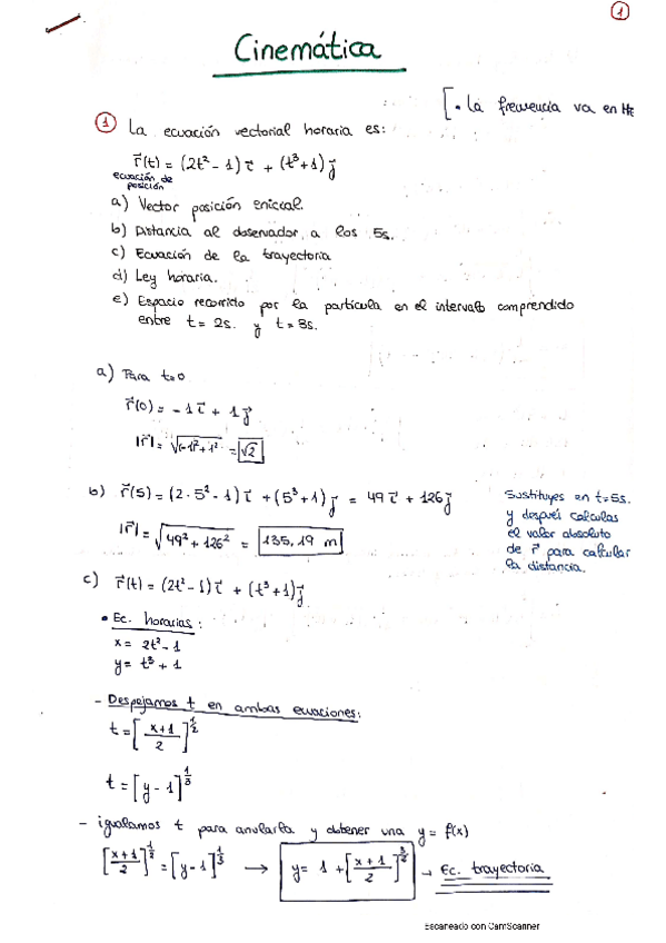
Cinematica.pdf
Corriente-electrica.pdf
Dinamica.pdf
Electrostatica-en-el-vacio.pdf
Electrostatica-en-materiales.pdf

He publicado nuevos ejercicios de 1º Fundamentos de Física: campo-magnético.pdf

23 páginas

He publicado nuevos ejercicios de 1º Fundamentos de Física: gauss.pdf

13 páginas

He publicado nuevos ejercicios de 1º Fundamentos de Física: circuitos.pdf

17 páginas

He publicado nuevos apuntes de 1º Fundamentos de Física: T.5-Ondas.pdf

11 páginas

He publicado nuevos apuntes de 1º Fundamentos de Física: T.3-Solido-Rigido.pdf

3 páginas

He publicado nuevos apuntes de 1º Fundamentos de Física: T.4-Fluidos.pdf

6 páginas

He publicado nuevos apuntes de 1º Fundamentos de Física: T.2-Dinamica.pdf

11 páginas

He publicado nuevos apuntes de 1º Fundamentos de Física: T.1-Cinematica.pdf

9 páginas

He publicado nuevos apuntes de 1º Fundamentos de Física: T.4-Campo-Magnetico-Estatico.pdf

13 páginas

He publicado nuevos apuntes de 1º Fundamentos de Física: T.3-Corriente-Electrica.pdf

7 páginas

He publicado nuevos apuntes de 1º Fundamentos de Física: T.2-Electroestatica-en-materiales.pdf

9 páginas

He publicado nuevos apuntes de 1º Fundamentos de Física: T.1-Electroestatica-en-el-vacio.pdf

15 páginas

He publicado nuevos apuntes de 1º Fundamentos de Física: T.9-Ecuaciones-de-Maxwell.pdf

8 páginas

He publicado nuevos apuntes de 1º Fundamentos de Física: T.1-Formulario-Electroestatica.pdf

2 páginas

He publicado nuevos apuntes de 1º Fundamentos de Física: T.8-Campo-Magnetico-Dinamico.pdf

6 páginas
Anónimo

@Anónimo

apuntes

-

teoria

He publicado nuevos apuntes de 1º Fundamentos de Física: teoria

tema-1.pdf
tema-2-al-tema-12.pdf

He publicado nuevos examenes de 1º Fundamentos de Física: Primer-Parcial-Fisica-2023-2024.pdf

1 página

Resúmenes, ejercicios y exámenes resueltos del segundo parcial

138 páginas

Resúmenes, ejercicios y exámenes resueltos del primer parcial

146 páginas

He publicado nuevos apuntes de 1º Fundamentos de Física: FF19202ordonlineRESUELTOparte1.pdf

13 páginas

He publicado nuevos apuntes de 1º Fundamentos de Física: FF14154extra.pdf

14 páginas

He publicado nuevos apuntes de 1º Fundamentos de Física: Examen-Extra-1920-ResueltoPrimera-Parte.pdf

9 páginas

He publicado nuevos apuntes de 1º Fundamentos de Física: Capitulos17-18.pdf

6 páginas

He publicado nuevos apuntes de 1º Fundamentos de Física: ampereterminonuevo.pdf

3 páginas

He publicado nuevos apuntes de 1º Fundamentos de Física: Apuntes-EcsMaxwell1.pdf

8 páginas

He publicado nuevos examenes de 1º Fundamentos de Física: parcial-2017.pdf

4 páginas

He publicado nuevos examenes de 1º Fundamentos de Física: parcial-2016.pdf

3 páginas

He publicado nuevos examenes de 1º Fundamentos de Física: parcial-enero-18.pdf

4 páginas

He publicado nuevos examenes de 1º Fundamentos de Física: extra-2016.pdf

3 páginas

He publicado nuevos examenes de 1º Fundamentos de Física: parcial-2018.pdf

4 páginas

He publicado nuevos examenes de 1º Fundamentos de Física: extra-2017.pdf

3 páginas

He publicado nuevos examenes de 1º Fundamentos de Física: extra-fisica.pdf

3 páginas

He publicado nuevos examenes de 1º Fundamentos de Física: parcial-2020.pdf

4 páginas

He publicado nuevos apuntes de 1º Fundamentos de Física: ejercicios-t10.pdf

24 páginas

He publicado nuevos apuntes de 1º Fundamentos de Física: teoria-t10.pdf

16 páginas

He publicado nuevos apuntes de 1º Fundamentos de Física: T9-ejerc-y-teoria.pdf

8 páginas

He publicado nuevos apuntes de 1º Fundamentos de Física: t7-teoria-y-ejercicios.pdf

29 páginas

He publicado nuevos apuntes de 1º Fundamentos de Física: t8-ejercicios-y-teoria.pdf

10 páginas

He publicado nuevos apuntes de 1º Fundamentos de Física: tema-6-ejercicios-y-teoria.pdf

18 páginas

He publicado nuevos apuntes de 1º Fundamentos de Física: ejercicios-y-teoria-t5.pdf

15 páginas

He publicado nuevos apuntes de 1º Fundamentos de Física: Ejercicios-y-teoria-t4.pdf

19 páginas

He publicado nuevos apuntes de 1º Fundamentos de Física: formulas-y-ejemplos-t4.pdf

7 páginas

He publicado nuevos apuntes de 1º Fundamentos de Física: Formulas-y-ejemplos-t3.pdf

4 páginas

He publicado nuevos apuntes de 1º Fundamentos de Física: T3-solido-rigido.pdf

7 páginas

He publicado nuevos apuntes de 1º Fundamentos de Física: T3-rotacion.pdf

10 páginas

He publicado nuevos apuntes de 1º Fundamentos de Física: formulas-y-ejercicios-t2.pdf

4 páginas

apuntes

-

Resumen T2

He publicado nuevos apuntes de 1º Fundamentos de Física: Resumen T2

Resumen-T2.pdf

He publicado nuevos apuntes de 1º Fundamentos de Física: Ejercicios-Cinematica.pdf

21 páginas

He publicado nuevos apuntes de 1º Fundamentos de Física: Fisica-II.pdf

3 páginas

He publicado nuevos apuntes de 1º Fundamentos de Física: teoria-2-parcial-2-parte.pdf

4 páginas

He publicado nuevos apuntes de 1º Fundamentos de Física: teoria-2-parcial.pdf

4 páginas

He publicado nuevos apuntes de 1º Fundamentos de Física: Dudas-resueltas-fisica.pdf

6 páginas

He publicado nuevos apuntes de 1º Fundamentos de Física: teoria-1-parcial-parte-2.pdf

7 páginas

He publicado nuevos apuntes de 1º Fundamentos de Física: teoria-1parcial.pdf

4 páginas

He publicado nuevos apuntes de 1º Fundamentos de Física: Parcial-2020.pdf

4 páginas

He publicado nuevos apuntes de 1º Fundamentos de Física: FLUIDOS.pdf

8 páginas
Anónimo

@Anónimo

apuntes

-

apuntes

He publicado nuevos apuntes de 1º Fundamentos de Física: apuntes

1apcinematica10111.pdf
T2Dinamica1718.pdf

He publicado nuevos apuntes de 1º Fundamentos de Física: T4. fluidos.docx

word