Fundamentos de Fisioterapia

chevron_left
chevron_right
Todo
Apuntes
Exámenes
Trabajos
chevron_left
chevron_right

Apuntes que incluyen esquemas de todos los temas (examen tipo test) y casos clínicos de años anteriores resueltos

10 páginas

He publicado nuevos apuntes de 1º Fundamentos de Fisioterapia: TEMA-3-LA-FISIOTERAPIA-COMO-INSTITUCION-INSTRUSISMO-E-INSTITUCIONES-VINCULADAS.pdf

11 páginas

He publicado nuevos apuntes de 1º Fundamentos de Fisioterapia: TEMA-8.-EDUCACION-PARA-LA-SALUD..pdf

4 páginas

He publicado nuevos apuntes de 1º Fundamentos de Fisioterapia: TEMA-6.PROGRAMA-ASISTENCIAL-Y-REGISTRO-DE-FISIOTERAPIA..pdf

9 páginas

He publicado nuevos apuntes de 1º Fundamentos de Fisioterapia: TEMA-2EVOLUCION-HISTORICA-DE-LA-FISIOTERAPIA.pdf

7 páginas

He publicado nuevos apuntes de 1º Fundamentos de Fisioterapia: TEMA-1-MARCO-TEORICO-Y-CONCEPTUAL.pdf

8 páginas

apuntes

-

Fundamentos

He publicado nuevos apuntes de 1º Fundamentos de Fisioterapia: Fundamentos

RESUMEN-TEMA-1-GENERALIDADES-MARCO-TEORICO-Y-CONCEPTUAL.pdf
RESUMEN-TEMA-2-EVOLUCION-HISTORICA.pdf
RESUMEN-TEMA-3-LA-FISIOTERAPIA-COMO-INSTITUCION-INTRUSISMO-E-INSTITUCIONES-VINCULADAS.pdf
RESUMEN-TEMA-4-BASES-CIENTIFICAS-E-INVESTIGACION.pdf
RESUMEN-TEMA-5-METODO-DE-INTERVENCION-EN-FISIOTERAPIA.pdf
RESUMEN-TEMA-6-PARADIGMA-ASISTENCIAL-Y-REGISTRO-DE-FISIOTERAPIA.pdf
Anónimo

@Anónimo

He publicado nuevos apuntes de 1º Fundamentos de Fisioterapia: NEUROLOGIA-TEMA-10.docx

word

He publicado nuevos apuntes de 1º Fundamentos de Fisioterapia: TEMA-5-Y-6-FUNDAMENTOS-DE-LA-FISIOTERAPIA.pdf

4 páginas

He publicado nuevos apuntes de 1º Fundamentos de Fisioterapia: TEMA-3-FUNDAMENTOS-DE-LA-FISIOTERAPIA.pdf

5 páginas

He publicado nuevos apuntes de 1º Fundamentos de Fisioterapia: TEMA-4-FUNDAMENTOS-DE-LA-FISIOTERAPIA.pdf

4 páginas

He publicado nuevos apuntes de 1º Fundamentos de Fisioterapia: PRACTICAS-FUNDAMENTOS-DE-LA-FISIOTERAPIA.pdf

4 páginas

He publicado nuevos apuntes de 1º Fundamentos de Fisioterapia: TEMA-2-FUNDAMENTOS-DE-LA-FISIOTERAPIA.pdf

4 páginas

apuntes

-

FUNDAMENTOS

He publicado nuevos apuntes de 1º Fundamentos de Fisioterapia: FUNDAMENTOS

T2.pdf
T1.pdf
T4.pdf
T3.pdf
T5.pdf
T6.pdf

He publicado nuevos apuntes de 1º Fundamentos de Fisioterapia: Apuntes-fundamentos.pdf

19 páginas

He publicado nuevos apuntes de 1º Fundamentos de Fisioterapia: TEMA-3-FUNDAMENTOS.pdf

9 páginas

He publicado nuevos apuntes de 1º Fundamentos de Fisioterapia: Fundamentos-tema-2.pdf

6 páginas

He publicado nuevos apuntes de 1º Fundamentos de Fisioterapia: Practica-Historia-clinica.pdf

2 páginas

He publicado nuevos apuntes de 1º Fundamentos de Fisioterapia: Fundamentos-tema-1.pdf

7 páginas

He publicado nuevos apuntes de 1º Fundamentos de Fisioterapia: TEMA-4-III-BASES-CIENTIFICAS-E-INVESTIGACION-EN-FISIOTERAPIA.pdf

4 páginas

He publicado nuevos apuntes de 1º Fundamentos de Fisioterapia: TEMA-4-I-BASES-CIENTFICAS.pdf

5 páginas

He publicado nuevos apuntes de 1º Fundamentos de Fisioterapia: TEMA-4-II-BASES-CIENTFICAS-E-INVESTIGACION.pdf

5 páginas

He publicado nuevos apuntes de 1º Fundamentos de Fisioterapia: TEMA-2-II-ROL-DEL-FISIOTERAPEUTA.pdf

5 páginas

He publicado nuevos apuntes de 1º Fundamentos de Fisioterapia: TEMA-3-FISIOTERAPIA-INSTITUCION-INTRUSISMO-E-INSTITUCIONES-RELACIONADAS.pdf

11 páginas

He publicado nuevos apuntes de 1º Fundamentos de Fisioterapia: TEMA-2-GENERALIDADES-MARCO-TERICO-Y-CONCEPTUAL-DE-LA-FISIOTERAPIA.pdf

3 páginas

He publicado nuevos apuntes de 1º Fundamentos de Fisioterapia: T1-FF-EVOLUCION-HISTORICA-EN-LA-FISIOTERAPIA.pdf

7 páginas

He publicado nuevos examenes de 1º Fundamentos de Fisioterapia: Tipo-test-Fundamentos-enero-2023.pdf

2 páginas

He publicado nuevos examenes de 1º Fundamentos de Fisioterapia: Caso-Clinico-fundamentos-enero-2023.pdf

1 página

He publicado nuevos trabajos de 1º Fundamentos de Fisioterapia: Primer-trabajo-cif-Fundamentos-.docx-2.pdf

2 páginas

apuntes

-

Resumen temas fundamentos

He publicado nuevos apuntes de 1º Fundamentos de Fisioterapia: Resumen temas fundamentos

T3 FUNDAM.docx
T2 FUNDAM.docx
T4 FUNDAM.docx
T5 FUNDAM.docx
T1 FUNDAM.docx
T7 FUNDAM.pdf
Anónimo

@Anónimo

Verde=indicaciones. Rojo=contraindicaciones

1 página

Verde - indicaciones Rojo - contraindicaciones

1 página

He publicado nuevos apuntes de 1º Fundamentos de Fisioterapia: POSIBLES PREGUNTAS TEST FT.pdf

8 páginas

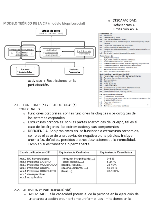
Resumen de prácticas del CIF (pueden caer en el examen)

word

He publicado nuevos apuntes de 1º Fundamentos de Fisioterapia: Fundamentos- estimulación muscular:electroestimulación.pdf

4 páginas

He publicado nuevos apuntes de 1º Fundamentos de Fisioterapia: FUNDAMENTOS- ultrasonidos .pdf

7 páginas

He publicado nuevos apuntes de 1º Fundamentos de Fisioterapia: Fundamentos- crioterapia. .pdf

4 páginas

He publicado nuevos apuntes de 1º Fundamentos de Fisioterapia: TEMA 8.3 Crioterapia terminado.docx

word

He publicado nuevos apuntes de 1º Fundamentos de Fisioterapia: TEMA 8.5 MASOTERAPIA terminado.docx

word

He publicado nuevos apuntes de 1º Fundamentos de Fisioterapia: Tema 8.1 AGENTES FÍSICOS impreso.docx

word

He publicado nuevos apuntes de 1º Fundamentos de Fisioterapia: Tema 8.6 ELECTROTERAPIA Y TENS original.docx

word

A ver si así si funciona

word

No son casos clínicos de la asignatura, pero nos pueden ayudar a prepararnos el examen :)

pdf
¡Estás al día!

¡Estás al día!

Has visto todos los archivos