Fundamentos de ingeniería acústica

chevron_left
chevron_right
Todo
Apuntes
Ejercicios
Exámenes
chevron_left
chevron_right

Apuntes Tema 2 Formato PDF

22 páginas

He publicado nuevos apuntes de 3º Fundamentos de ingeniería acústica: Tema-1-TRANSPARENCIAS-formato-PDF.pdf

6 páginas

ejercicios

-

Relaciones ejercicios CORREGIDAS

He publicado nuevos ejercicios de 3º Fundamentos de ingeniería acústica: Relaciones ejercicios CORREGIDAS

Relacion-2-CORREGIDA-Fund-Ing-Acustica.pdf
Relacion-Tema-3.-Ing-Acustica-CORREGIDA.pdf
Tareas-Sistemas-mecanicos-y-acusticos.-CORREGIDA.-Fund-Ing-Acustica.pdf
Relacion-1-CORREGIDA.-Fund.-ing.-acustica.pdf
Relacion-T5.-CORREGIDA.-ING-ACUSTICA.pdf
Relacion-T4-resuelta-CORREGIDA.-Fund-Ing-Acustica-1.pdf

ejercicios

-

Resúmenes y ejercicios todos los temas

He publicado nuevos ejercicios de 3º Fundamentos de ingeniería acústica: Resúmenes y ejercicios todos los temas

Tema-2-acustica.-Resumen-y-ejercicios.pdf
Tema-3-acustica.-Resumen-y-ejercicios.pdf
Tema-4-acustica.-Resumen-y-ejercicios.pdf
Tema-5-acustica.-Resumen-y-ejercicios.pdf
Tema-1-acustica.-Resumen-y-ejercicios.pdf

He publicado nuevos examenes de 3º Fundamentos de ingeniería acústica: en24-enunciado.pdf

2 páginas

apuntes

-

Segundo parcial Solucion

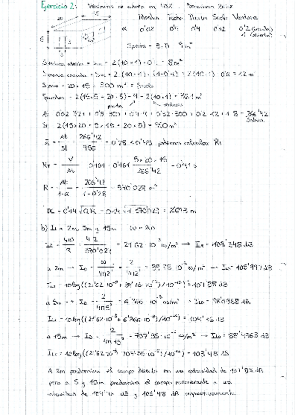
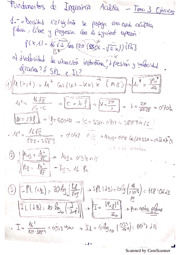
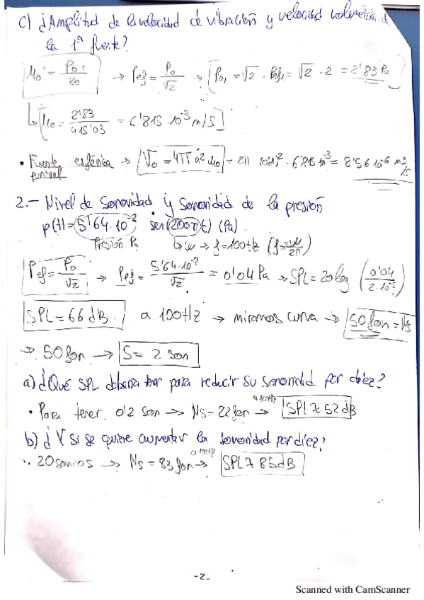
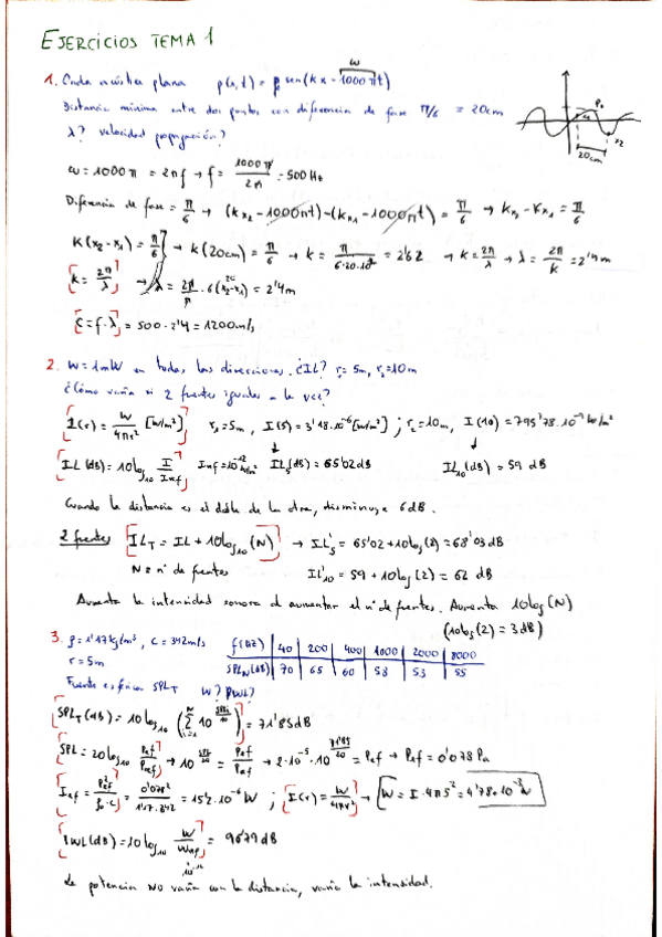
He publicado nuevos apuntes de 3º Fundamentos de ingeniería acústica: Segundo parcial Solucion

IMG-20231226-WA0001.jpg
IMG-20231226-WA0002.jpg
IMG-20231226-WA0003.jpg
IMG-20231226-WA0004.jpg

He publicado nuevos ejercicios de 3º Fundamentos de ingeniería acústica: FEACEjerciciosAcusticaA.pdf

50 páginas

He publicado nuevos apuntes de 3º Fundamentos de ingeniería acústica: FEACTema7DiaposAltavoceCajasAcusticas.pdf

41 páginas

He publicado nuevos apuntes de 3º Fundamentos de ingeniería acústica: FEACTema6DiaposAnalogias.pdf

33 páginas

He publicado nuevos apuntes de 3º Fundamentos de ingeniería acústica: FEACTema5DiaposPropagacion.pdf

40 páginas

He publicado nuevos apuntes de 3º Fundamentos de ingeniería acústica: FEACTema3DiaposSistemasVibrantes.pdf

43 páginas

He publicado nuevos apuntes de 3º Fundamentos de ingeniería acústica: FEACTema4DiaposRadiacion.pdf

59 páginas

He publicado nuevos apuntes de 3º Fundamentos de ingeniería acústica: FEACTema1DiaposOndas.pdf

50 páginas

He publicado nuevos apuntes de 3º Fundamentos de ingeniería acústica: FEACTema2DiaposMedidaPotencia.pdf

38 páginas

He publicado nuevos apuntes de 3º Fundamentos de ingeniería acústica: Resumen231013184105.pdf

9 páginas

He publicado nuevos ejercicios de 3º Fundamentos de ingeniería acústica: Ejercicios-tema-5-ING-acustica.pdf

5 páginas

Examen de acustica RESUELTO Primer parcial

3 páginas

He publicado nuevos apuntes de 3º Fundamentos de ingeniería acústica: Tema-2-ING-acustica.pdf

10 páginas

He publicado nuevos apuntes de 3º Fundamentos de ingeniería acústica: Resumen-acustica.pdf

1 página

He publicado nuevos apuntes de 3º Fundamentos de ingeniería acústica: Tema-1-Fundamentos-de-ingenieria-acustica.pdf

3 páginas

ejercicios

-

Ejercicios Resueltos

He publicado nuevos ejercicios de 3º Fundamentos de ingeniería acústica: Ejercicios Resueltos

EjerciciosTema2.pdf
EjerciciosTema4.pdf
EjerciciosTema3.pdf
EjerciciosTema1.pdf
EjerciciosTema5.pdf

He publicado nuevos apuntes de 3º Fundamentos de ingeniería acústica: Formulario-Resumen.pdf

2 páginas

ejercicios

-

Ejercicios Resueltos de todos los temas

He publicado nuevos ejercicios de 3º Fundamentos de ingeniería acústica: Ejercicios Resueltos de todos los temas

Acustica-ejercicios-tema-3.pdf
Acustica-Ejercicios-T5.pdf
Acustica-Ejercicios-T1.pdf
Acustica-Ejercicios-T2.pdf
Acustica-Ejercicios-T4.pdf

He publicado nuevos examenes de 3º Fundamentos de ingeniería acústica: Acustica-Sept15.pdf

7 páginas

He publicado nuevos ejercicios de 3º Fundamentos de ingeniería acústica: relacion-tema-2-resuelta.pdf

5 páginas

He publicado nuevos ejercicios de 3º Fundamentos de ingeniería acústica: Ejercicios-tema-1-resueltos.pdf

8 páginas

examenes

-

Examenes

He publicado nuevos examenes de 3º Fundamentos de ingeniería acústica: Examenes

IMG-20170829-WA0002.jpg
IMG-20170829-WA0001.jpg
IMG-20170829-WA0000.jpg
IMG-20170828-WA0009.jpg
IMG-20170828-WA0008.jpg
IMG-20170828-WA0009.jpg
¡Estás al día!

¡Estás al día!

Has visto todos los archivos