Fundamentos de Ingeniería Química

chevron_left
chevron_right
Todo
Apuntes
Ejercicios
Exámenes
chevron_left
chevron_right
Anónimo

@Anónimo

examenes

-

Tercer parcial fundamentos

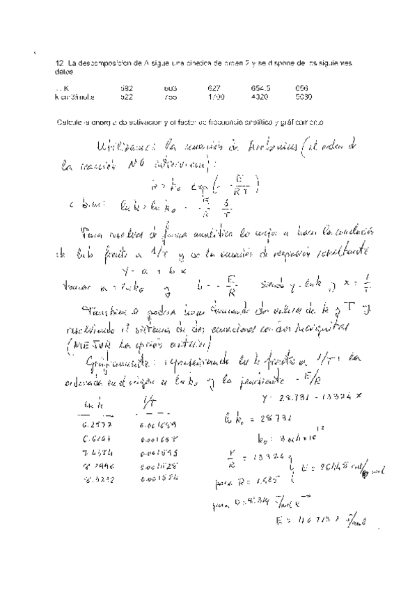
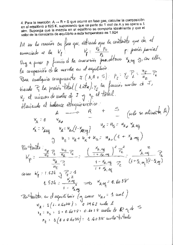
Tercer parcial fundamentos. Control cinética y reactores

Tercer-parcial-fundamentos-SEGUNDA-CARA.jpg
Tercer-parcial-fundamentos.jpg
Anónimo

@Anónimo

Todos los parciales 2025

8 páginas
Anónimo

@Anónimo

Segundo parcial marzo 2025 BALANCES DE ENERGÍA

1 página
Anónimo

@Anónimo

Primer parcial febrero 2025

1 página

He publicado nuevos apuntes de 1º Fundamentos de Ingeniería Química: tema-6.1-cinetica.pdf

10 páginas

He publicado nuevos ejercicios de 1º Fundamentos de Ingeniería Química: problema-calor.pdf

1 página

He publicado nuevos apuntes de 1º Fundamentos de Ingeniería Química: formulas-integradas-en-funcion-de-T.pdf

1 página

He publicado nuevos apuntes de 1º Fundamentos de Ingeniería Química: fotos-video-clase.pdf

1 página

He publicado nuevos apuntes de 1º Fundamentos de Ingeniería Química: formulas-integradas-en-funcion-de-K.pdf

1 página

He publicado nuevos apuntes de 1º Fundamentos de Ingeniería Química: tema-6.3-cinetica.pdf

12 páginas

He publicado nuevos apuntes de 1º Fundamentos de Ingeniería Química: Libreta-Fundamentos.pdf

57 páginas
Anónimo

@Anónimo

He publicado nuevos ejercicios de 1º Fundamentos de Ingeniería Química: 30-03-2020-Problema.pdf

1 página

examenes

-

Exámenes Cinética Química y Diseño de Reactores

He publicado nuevos examenes de 1º Fundamentos de Ingeniería Química: Exámenes Cinética Química y Diseño de Reactores

CONCEPTOS-BASICOS-DE-CINETICA-QUIMICA.-24-DE-ABRIL-DE-2023.pdf
Examen-Cinetica-Quimica-5-de-mayo-de-2017.pdf
Respuestas-Teoria-EXAMEN-FINAL-7-DE-JUNIO-DE-2017.pdf
21-DE-MAYO-DE-2018.pdf
23-DE-ABRIL-DE-2018.pdf
PARCIAL-DE-REACTORES-2019.pdf

examenes

-

Exámenes Balances de Energía

He publicado nuevos examenes de 1º Fundamentos de Ingeniería Química: Exámenes Balances de Energía

Control-de-Balances-de-Energia.-20-marzo-2023.pdf
Anónimo

@Anónimo

ejercicios

-

Ejercicios

He publicado nuevos ejercicios de 1º Fundamentos de Ingeniería Química: Ejercicios

Problema-Adicional-Boletin-1.pdf
Problema-Adicional-Boletin-1.pdf
Problemas-Boletin-1.pdf
Problemas-Boletin-2.pdf
Boletin-1.pdf
Boletin-2.pdf
Anónimo

@Anónimo

apuntes

-

Formulas

He publicado nuevos apuntes de 1º Fundamentos de Ingeniería Química: Formulas

Ecuaciones-de-diseno-de-los-reactores.pdf

examenes

-

Exámenes Balances de Materia

He publicado nuevos examenes de 1º Fundamentos de Ingeniería Química: Exámenes Balances de Materia

EXAMEN-BALANCES-DE-MATERIA.-27-DE-MAYO-DE-2020.pdf
EXAMEN-BALANCES-DE-MATERIA.-20-FEBRERO-2023.pdf
EXAMEN-BALANCES-DE-MATERIA.-21-FEBRERO-2022.pdf

He publicado nuevos examenes de 1º Fundamentos de Ingeniería Química: Examenes-Balance-de-Materia.pdf

5 páginas

apuntes

-

Ejercicios segunda parte

He publicado nuevos apuntes de 1º Fundamentos de Ingeniería Química: Ejercicios segunda parte

Boletin-1.pdf
Boletin-2.pdf
Problemas-resueltos.pdf
Problema-4-resuelto.pdf
Boletin-3.pdf

apuntes

-

Temas segunda parte

He publicado nuevos apuntes de 1º Fundamentos de Ingeniería Química: Temas segunda parte

Tema-8.1.pdf
Tema-6.3.pdf
Tema-6.1.pdf
Tema-6.4.pdf
Tema-8.2.pdf
Tema-7.pdf

apuntes

-

Ejercicios primera parte

He publicado nuevos apuntes de 1º Fundamentos de Ingeniería Química: Ejercicios primera parte

problemas-iniciales-CYTA.pdf
problema-inventado1.pdf
Boletines-problemas-no-1-2-FIQ.pdf
Boletines-problemas-34-FIQ.pdf

apuntes

-

Temas primera parte

He publicado nuevos apuntes de 1º Fundamentos de Ingeniería Química: Temas primera parte

balance-energia.pdf
tema-1-F-IQCYTA.pdf
Bal-Mat-CYTA.pdf
¡Estás al día!

¡Estás al día!

Has visto todos los archivos