Fundamentos de la Fisica

chevron_left
chevron_right
Todo
Apuntes
Ejercicios
Exámenes
Otros
Prácticas
Trabajos
chevron_left
chevron_right

He publicado nuevos apuntes de 1º Fundamentos de la Fisica: Fisica-T.5-6.pdf

2 páginas

He publicado nuevos apuntes de 1º Fundamentos de la Fisica: Fisica-T.2-4.pdf

3 páginas

He publicado nuevos practicas de 1º Fundamentos de la Fisica: LEY-DE-AMPERE.pdf

13 páginas

He publicado nuevos practicas de 1º Fundamentos de la Fisica: LeyOhm.pdf

7 páginas

He publicado nuevos practicas de 1º Fundamentos de la Fisica: Constante_Elástica.pdf

5 páginas

Apuntes de física.

13 páginas

Sobresaliente: 10.

7 páginas

Sobresaliente: 9,5.

6 páginas

Aprobada.

5 páginas

Notable: 8. Expecificaciones: Hay que poner lo que se representa en cada eje con sus unidades; el error del peso no está bien ajustado.

5 páginas

Aprobada. Expecificaciones: ha faltado expresar el volumen con su error bien ajustado

1 página

practicas

-

Buenas Prácticas Física

Prácticas con más de un 8 de nota :b

Ley-Hooke-SN.pdf
Medidas-electricas-SN.pdf
Ampere-SN.pdf
Snell-Laboratorio-SN.pdf

He publicado nuevos apuntes de 1º Fundamentos de la Fisica: practica4lab.pdf

12 páginas

He publicado nuevos practicas de 1º Fundamentos de la Fisica: practicalab3.pdf

8 páginas

Esta es la buena, nota: 9,75

6 páginas

practicas

-

Buenas practicas F. Fisica

He publicado nuevos practicas de 1º Fundamentos de la Fisica: Buenas practicas F. Fisica

Miniatura no disponible
Lab-2-Masa-Inercial.pdf
Miniatura no disponible
LAB-2-PT2.pdf
Miniatura no disponible
LAB-3.pdf
LAB-4.pdf
LAB-5.pdf
Lab-2.pdf

practicas

-

Informes Laboratorio Física

He publicado nuevos practicas de 1º Fundamentos de la Fisica: Informes Laboratorio Física

Determinacion-de-La-Constante-Elastica-de-Un-Muelle.pdf
Focal-de-Una-Lente-Divergente-Metodo-Directo.pdf
Medida-de-Magnitudes-Electricas-y-Circuitos-de-Corriente-Continua.pdf
Ley-de-Ampere.pdf

trabajos

-

Informes_LAB_Fisica

He publicado nuevos trabajos de 1º Fundamentos de la Fisica: Informes_LAB_Fisica

Determinacion-de-la-constante-elastica-de-un-resorte-procedimiento-estatico.pdf
MEDIDA-DE-MAGNITUDES-ELECTRICAS-Y-CIRCUITOS-DE-CORRIENTE-CONTINUA.pdf
FOCAL-DE-UNA-LENTE-DIVERGENTE-METODO-DIRECTO.pdf
Ley-de-Ampere.pdf

apuntes

-

Resumenes

He publicado nuevos apuntes de 1º Fundamentos de la Fisica: Resumenes

01ConceptosFisicosYMatematicosBasicos.pdf
02CinematicaYDinamica-v2.pdf
03TrabajoYEnergiav2.pdf
04MomentoLinealYAngular.pdf
05MovimientoOscilaorioYOndulatorio-v3.pdf
06ElectricidadCondensadoresYResistencias-v6.pdf

ejercicios

-

Problemas resueltos

He publicado nuevos ejercicios de 1º Fundamentos de la Fisica: Problemas resueltos

tema-2-hoja-1-1.pdf
tema-2-hoja-2-1.pdf
Tema-2-Hoja-2.pdf
Tema-3-Hoja-3.pdf
2010-2011-Problemas-Tema-2-5.pdf
2012-2013-Problemas-Temas-2-5.pdf

apuntes

-

Teoría Temas 6

He publicado nuevos apuntes de 1º Fundamentos de la Fisica: Teoría Temas 6

2010-2011-Teoria-Tema-6.pdf
2011-2012-Teoria-Tema-6.pdf
2012-2013-Teoria-Tema-6.pdf

apuntes

-

Teoría Temas 4 y 5

He publicado nuevos apuntes de 1º Fundamentos de la Fisica: Teoría Temas 4 y 5

2012-2013-Teorria-Temas-4-y-5.pdf

apuntes

-

Teoría Temas 2 y 3

He publicado nuevos apuntes de 1º Fundamentos de la Fisica: Teoría Temas 2 y 3

2012-2013-Teoria-Tema-2-y-3.pdf
Test-tema2.pdf
Test-tema3.pdf

examenes

-

2011 exámenes

He publicado nuevos examenes de 1º Fundamentos de la Fisica: 2011 exámenes

2-y-3.pdf
4-y-5.pdf
49793889.pdf
49793971.pdf
t6.pdf

apuntes

-

Examenes Finales

He publicado nuevos apuntes de 1º Fundamentos de la Fisica: Examenes Finales

2011-Enero-FINAL-teoria-y-problemas-Temas-2-6.pdf
2013-Enero-FINAL-teoria-y-problemas-Temas-2-6.pdf
2013-Junio-FINAL-teoria-y-problemas-Temas-2-6.pdf

ejercicios

-

Ejercicios resueltos

He publicado nuevos ejercicios de 1º Fundamentos de la Fisica: Ejercicios resueltos

Tema4-hoja4.pdf
Tema4-hoja5.pdf
Tema5.pdf
Tema6.pdf

He publicado nuevos examenes de 1º Fundamentos de la Fisica: DETERMINACION-DE-LA-CONSTANTE-ELASTICA-DE-UN-MUELLE.pdf

5 páginas

He publicado nuevos apuntes de 1º Fundamentos de la Fisica: BRUSCAALVAREZ-Grupo7-Practica3.pdf

8 páginas

He publicado nuevos apuntes de 1º Fundamentos de la Fisica: BRUSCAALVAREZJAVIERPractica1.pdf

5 páginas

He publicado nuevos apuntes de 1º Fundamentos de la Fisica: BRUSCA-ALVAREZ-JAVIER-GRUPO7-PRACTICA2.pdf

8 páginas

ejercicios

-

ejercicios

He publicado nuevos ejercicios de 1º Fundamentos de la Fisica: ejercicios

10GViernes.png
14GLunes.png
25.png
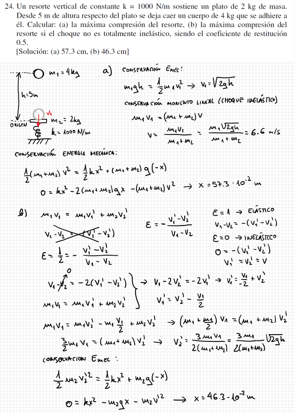
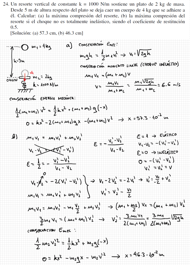
24.png
22.png
10GLunes.png

He publicado nuevos apuntes de 1º Fundamentos de la Fisica: Tema-I-Conceptos-fisicos-y-matematicos-basicos.pdf

4 páginas

apuntes

-

Apuntes de Academia Con Boletines Resueltos.

Resumen de todo el temario con decenas de problemas de examen.

Tema 1. Vectores Libres.pdf
Tema 2. Cinemática del punto..pdf
Tema 3. Dinámica del punto..pdf
Tema 4. Cinemática del sólido rígido..pdf
Tema 5. Movimiento relativo..pdf
Boletines.pdf
Anónimo

@Anónimo

otros

-

Fisica

Formularios

tema 2 formulas.pdf
tema 3 formulas.pdf
Tema 4 formulas.pdf
Tema 4 mvto angular y lineal resumen.pdf
tema 5 movimiento ondulatorio resumen.pdf
teoria.pdf
Anónimo

@Anónimo

practicas

-

Fisica Prácticas

He publicado nuevos practicas de 1º Fundamentos de la Fisica: Fisica Prácticas

Reflexion y refraccion de la luz.pdf
Puente de hilo.pdf
Anónimo

@Anónimo

examenes

-

Fisica

He publicado nuevos examenes de 1º Fundamentos de la Fisica: Fisica

control hoja7.pdf
examen año pasao fisica.pdf
examen resuelto hoja 7.pdf
test toria.pdf
TEST FISICA.pdf
Anónimo

@Anónimo

ejercicios

-

Fisica

He publicado nuevos ejercicios de 1º Fundamentos de la Fisica: Fisica

4 problemas (1).pdf
4 problemas (2).pdf
46817040.pdf
fisica tema 2.pdf
fisica tema 3.pdf
fisica tema 4.pdf
¡Estás al día!

¡Estás al día!

Has visto todos los archivos