Fundamentos de las Bases de Datos

Todo
Apuntes
Ejercicios
Exámenes
Prácticas
Test
chevron_left
chevron_right

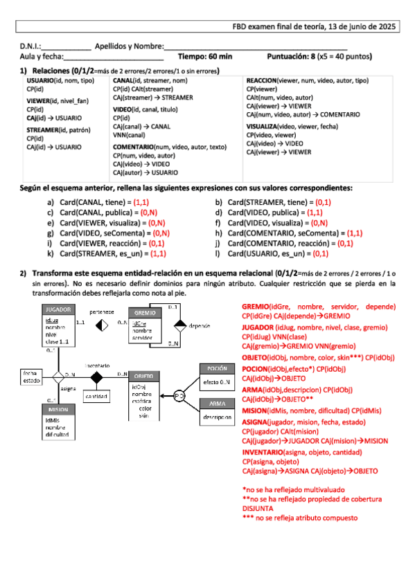
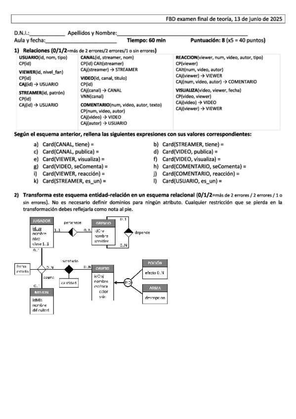
He publicado nuevos examenes de 1º Fundamentos de las Bases de Datos: Examen-FBD-junio-2025-para-hacer.pdf

2 páginas

He publicado nuevos examenes de 1º Fundamentos de las Bases de Datos: Solucion-junio-2025-FBD.pdf

2 páginas

He publicado nuevos apuntes de 1º Fundamentos de las Bases de Datos: Guia-transformaciones.pdf

1 página

He publicado nuevos apuntes de 1º Fundamentos de las Bases de Datos

https://wuolah.com/apuntes/diseno-de-bases-de-datos/12166338?utm_source=wuolah&utm_medium=referral&utm_content=document&utm_campaign=share-copy&utm_term=modal-share-copy
Anónimo

@Anónimo

test

-

Test intermedios FBD

He publicado nuevos test de 1º Fundamentos de las Bases de Datos: Test intermedios FBD

Semana-3.pdf
Semana-3.pdf
Semana-10.pdf
Semana-10.pdf
Semana-9.pdf
Semana-9.pdf

He publicado nuevos examenes de 1º Fundamentos de las Bases de Datos: DOSSIER-DISEÑO-EER-CON-SOLUCIONES.pdf

17 páginas

He publicado nuevos apuntes de 1º Fundamentos de las Bases de Datos: Trucos-Algebra-Relacional.pdf

7 páginas

examenes

-

Exámenes resueltos FBD

He publicado nuevos examenes de 1º Fundamentos de las Bases de Datos: Exámenes resueltos FBD

2011C3solu.pdf
2011C3solu.pdf
2023C3FBDsolu.pdf
2023C3FBDsolu.pdf
2021C3FINALsolu.pdf
2021C3FINALsolu.pdf

test

-

Intermedios

He publicado nuevos test de 1º Fundamentos de las Bases de Datos: Intermedios

I01-2024.pdf
I01-2024.pdf
I02-2024.pdf
I02-2024.pdf
I03-2024.pdf
I03-2024.pdf

examenes

-

SQL-2024

He publicado nuevos examenes de 1º Fundamentos de las Bases de Datos: SQL-2024

SQL-A-2024.pdf
SQL-A-2024.pdf
SQL-B-2024.pdf
SQL-B-2024.pdf

He publicado nuevos examenes de 1º Fundamentos de las Bases de Datos: Solucion explicada dossier examenes (2019-2023).pdf

27 páginas

examenes

-

Exámenes explicados 2019-2023

He publicado nuevos examenes de 1º Fundamentos de las Bases de Datos: Exámenes explicados 2019-2023

https://wuolah.com/sandbox/apuntes/fundamentos-de-las-bases-de-datos/fbd-guia-ejercicios-examen-pdf-10491448?utm_source=wuolah&utm_medium=referral&utm_campaign=file-sharefile&referral=Mga09041
https://wuolah.com/sandbox/apuntes/fundamentos-de-las-bases-de-datos/fbd-guia-ejercicios-examen-pdf-10491448?utm_source=wuolah&utm_medium=referral&utm_campaign=file-sharefile&referral=Mga09041
JUNIO-2019.pdf
JUNIO-2019.pdf
https://wuolah.com/sandbox/apuntes/fundamentos-de-las-bases-de-datos/dossier-examenes-2019-2023-pdf-10502893?utm_source=wuolah&utm_medium=referral&utm_campaign=file-sharefile&referral=Mga09041
https://wuolah.com/sandbox/apuntes/fundamentos-de-las-bases-de-datos/dossier-examenes-2019-2023-pdf-10502893?utm_source=wuolah&utm_medium=referral&utm_campaign=file-sharefile&referral=Mga09041

He publicado nuevos ejercicios de 1º Fundamentos de las Bases de Datos: Cuaderno-de-ejercicios-de-Algebra-Relacional.pdf

10 páginas

He publicado nuevos examenes de 1º Fundamentos de las Bases de Datos: Examen-C3-2018-Resuelto-Fundamentos-de-las-Bases-de-Datos.pdf

6 páginas

He publicado nuevos examenes de 1º Fundamentos de las Bases de Datos: Dossier-examenes-2019-2023.pdf

31 páginas

He publicado nuevos ejercicios de 1º Fundamentos de las Bases de Datos: Soluciones-a-todos-los-ejercicios.pdf

13 páginas

He publicado nuevos examenes de 1º Fundamentos de las Bases de Datos: Examen-C3-2021-Resuelto-Fundamentos-de-las-Bases-de-Datos.pdf

2 páginas

He publicado nuevos examenes de 1º Fundamentos de las Bases de Datos: Examen-C3-2021-Explicado-paso-a-paso-Fundamentos-de-las-Bases-de-Datos.pdf

8 páginas

He publicado nuevos apuntes de 1º Fundamentos de las Bases de Datos: FBD Guía completa ejercicios examen.pdf

13 páginas

examenes

-

FBD Guía resolución ejercicios de examen

He publicado nuevos examenes de 1º Fundamentos de las Bases de Datos: FBD Guía resolución ejercicios de examen

Guía ejercicios cardinalidades.pdf
Guía ejercicios cardinalidades.pdf
Guía ejercicios transformaciones.pdf
Guía ejercicios transformaciones.pdf
Guia-ejercicios-normalizacion.pdf
Guia-ejercicios-normalizacion.pdf

He publicado nuevos apuntes de 1º Fundamentos de las Bases de Datos: Resumen-Cardinalidad-FBD.pdf

1 página

He publicado nuevos apuntes de 1º Fundamentos de las Bases de Datos: Apuntes-T2-Entidad-Relacion-FBD.pdf

3 páginas

He publicado nuevos apuntes de 1º Fundamentos de las Bases de Datos: Apuntes-T1-Modelo-de-datos-FBD.pdf

3 páginas

He publicado nuevos apuntes de 1º Fundamentos de las Bases de Datos: Apuntes-Temas-1-y-2-FBD.pdf

6 páginas

He publicado nuevos ejercicios de 1º Fundamentos de las Bases de Datos: Todos-los-Tipos-de-Ejercicios-de-Examen-Explicados-FBD.pdf

12 páginas

He publicado nuevos ejercicios de 1º Fundamentos de las Bases de Datos: Ejercicios-Explicados-Algebra-Relacional-AR.pdf

4 páginas

He publicado nuevos examenes de 1º Fundamentos de las Bases de Datos: Examen-C3-2023-Explicado-paso-a-paso-Fundamentos-de-las-Bases-de-Datos.pdf

8 páginas

He publicado nuevos apuntes de 1º Fundamentos de las Bases de Datos: SQL-completo-y-sencillo.pdf

8 páginas

He publicado nuevos examenes de 1º Fundamentos de las Bases de Datos: Examen-C3-2023-Resuelto-Fundamentos-de-las-Bases-de-Datos.pdf

4 páginas

He publicado nuevos examenes de 1º Fundamentos de las Bases de Datos: EXAMEN-SQL-B-2024.pdf

3 páginas

Dossier con todos los tipos de ejercicios de FBD, todos los enunciados son de exámenes de años anteriores

18 páginas

apuntes

-

Resumenes fbddocs

Resúmenes del contenido de la página web de cada sesión

T.01-Database-and-relation.pdf
T.01-Database-and-relation.pdf
OnlineStore-E-R.pdf
OnlineStore-E-R.pdf
FBDdocsENG-OS-Relational.pdf
FBDdocsENG-OS-Relational.pdf

apuntes

-

Resúmenes FBD por temas

He publicado nuevos apuntes de 1º Fundamentos de las Bases de Datos: Resúmenes FBD por temas

Modelos-de-datos.pdf
Modelos-de-datos.pdf
Entidad-Relacion.pdf
Entidad-Relacion.pdf
Transformacion-ER-a-MR.pdf
Transformacion-ER-a-MR.pdf

He publicado nuevos apuntes de 1º Fundamentos de las Bases de Datos: Resumen-FBD-teoria-completo.pdf

20 páginas

He publicado nuevos examenes de 1º Fundamentos de las Bases de Datos: TODOS-LOS-ENUNCIADOS-DE-FBD-2011-2023.pdf

63 páginas

examenes

-

ENUNCIADOS EXÁMENES FBD 2011-2023

He publicado nuevos examenes de 1º Fundamentos de las Bases de Datos: ENUNCIADOS EXÁMENES FBD 2011-2023

2011C1FBDjuevesARA.pdf
2011C1FBDjuevesARA.pdf
2011C1FBDlunesIM.pdf
2011C1FBDlunesIM.pdf
2011C1FBDmiercoles0830.pdf
2011C1FBDmiercoles0830.pdf

He publicado nuevos examenes de 1º Fundamentos de las Bases de Datos: Soluciones-SQL-B-2011-2023.pdf

22 páginas
Anónimo

@Anónimo

He publicado nuevos practicas de 1º Fundamentos de las Bases de Datos: Soluciones-de-todas-las-practicas.pdf

27 páginas

He publicado nuevos apuntes de 1º Fundamentos de las Bases de Datos: apuntes-parcial-2.pdf

9 páginas

He publicado nuevos apuntes de 1º Fundamentos de las Bases de Datos: apuntes-parcial-1.pdf

4 páginas

He publicado nuevos apuntes de 1º Fundamentos de las Bases de Datos: ResumenTeoriayEjs.pdf

8 páginas

He publicado nuevos examenes de 1º Fundamentos de las Bases de Datos: Examen-SQL-A-2024.pdf

2 páginas

practicas

-

Soluciones prácticas

He publicado nuevos practicas de 1º Fundamentos de las Bases de Datos: Soluciones prácticas

T08-Soluciones-a-los-ejercicios.pdf
T08-Soluciones-a-los-ejercicios.pdf
T02-Soluciones-a-los-ejercicios.pdf
T02-Soluciones-a-los-ejercicios.pdf
T04B-Soluciones-a-los-ejercicios.pdf
T04B-Soluciones-a-los-ejercicios.pdf

He publicado nuevos practicas de 1º Fundamentos de las Bases de Datos: Soluciones-ejercicios-SQL.pdf

49 páginas
Anónimo

@Anónimo

He publicado nuevos practicas de 1º Fundamentos de las Bases de Datos: Respuestas-SQL.pdf

23 páginas
Anónimo

@Anónimo

He publicado nuevos apuntes de 1º Fundamentos de las Bases de Datos: FBD-resumen.pdf

50 páginas

He publicado nuevos apuntes de 1º Fundamentos de las Bases de Datos: FBDdocs-2023-2024-SQL-A.pdf

8 páginas

He publicado nuevos apuntes de 1º Fundamentos de las Bases de Datos: Resumen-SQL-fbddocs.pdf

10 páginas

He publicado nuevos apuntes de 1º Fundamentos de las Bases de Datos: Join-resumen.pdf

1 página

He publicado nuevos apuntes de 1º Fundamentos de las Bases de Datos: SQL-Basics.pdf

2 páginas

He publicado nuevos apuntes de 1º Fundamentos de las Bases de Datos: Resumen-SQL.pdf

2 páginas

He publicado nuevos examenes de 1º Fundamentos de las Bases de Datos: Examenes-2012.pdf

14 páginas

He publicado nuevos examenes de 1º Fundamentos de las Bases de Datos: Examenes-2011.pdf

24 páginas

He publicado nuevos examenes de 1º Fundamentos de las Bases de Datos: Examenes-2014.pdf

12 páginas

He publicado nuevos examenes de 1º Fundamentos de las Bases de Datos: Examenes-2013.pdf

13 páginas

He publicado nuevos examenes de 1º Fundamentos de las Bases de Datos: Examenes-2015.pdf

8 páginas

He publicado nuevos examenes de 1º Fundamentos de las Bases de Datos: Examenes-2018.pdf

16 páginas

He publicado nuevos examenes de 1º Fundamentos de las Bases de Datos: Examenes-2016.pdf

16 páginas

He publicado nuevos examenes de 1º Fundamentos de las Bases de Datos: Examenes-2017.pdf

16 páginas

He publicado nuevos examenes de 1º Fundamentos de las Bases de Datos: Examenes-2019.pdf

16 páginas