chevron_left
chevron_right
Todo
Apuntes
Ejercicios
chevron_left
chevron_right

Formulario del primer parcial de termodinamica: tema 1 y 2 (completos), tema 3, 4 y 5 (incompletos)

2 páginas

Preguntas de teoria aplicada del primer parcial de termodinamica, con respuestas explicadas de manera entendible y sencilla

7 páginas

apuntes

-

Apuntes

He publicado nuevos apuntes de 2º Fundamentos de las Instalaciones: Apuntes

T1.pdf

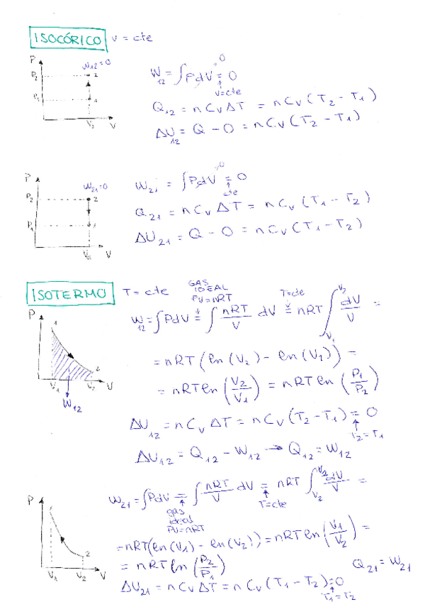
He publicado nuevos apuntes de 2º Fundamentos de las Instalaciones: Procesos-termodimamicos.pdf

3 páginas
¡Estás al día!

¡Estás al día!

Has visto todos los archivos