chevron_left
chevron_right
Todo
Apuntes
Ejercicios
Exámenes
Test
chevron_left
chevron_right

He publicado nuevos apuntes de 1º Fundamentos de Matemáticas: examen2diciembre2025.pdf

2 páginas

ejercicios

-

Ejercicios resueltos de todos los temas

He publicado nuevos ejercicios de 1º Fundamentos de Matemáticas: Ejercicios resueltos de todos los temas

Ej-resueltos-limites-funciones-teoremas-infinitesimos-y-polinomio-de-taylor.pdf
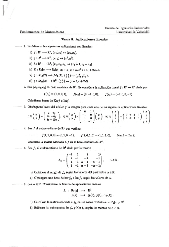
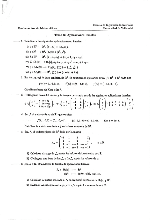
Ej.-resueltos-Aplicaciones-Lineales.pdf
Ej.-resueltos-Diagonalizacion.pdf
Miniatura no disponible
Ej.-resueltos-Ecuaciones-diferenciales-de-orden-uno.pdf
Miniatura no disponible
Ej.-resueltos-Espacios-euclideos.pdf
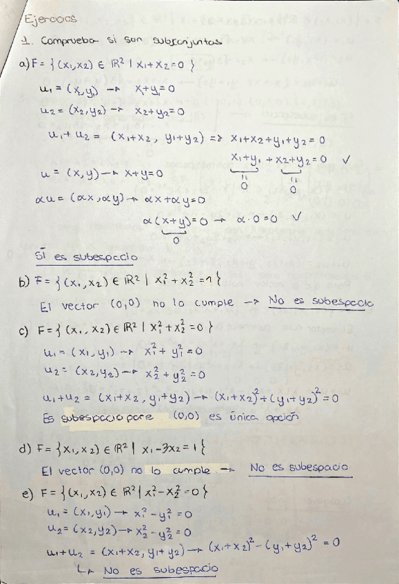
Ej.-resueltos-Espacios-Vectoriales.pdf

apuntes

-

Apuntes de los temas explicados

He publicado nuevos apuntes de 1º Fundamentos de Matemáticas: Apuntes de los temas explicados

Miniatura no disponible
Apuntes-Ecuaciones-Diferenciales-con-explicaciones.pdf
Miniatura no disponible
Apuntes-Espacios-Cuadraticos.pdf
Miniatura no disponible
Apuntes-Espacios-Euclideos.pdf
Miniatura no disponible
Apuntes-Espacios-Vectoriales.pdf
Miniatura no disponible
Apuntes-limites-funciones-infinitesimos-teoremas-y-polinomio-de-taylor.pdf
Miniatura no disponible
Apuntes-Matrices-y-Determinantes.pdf

He publicado nuevos examenes de 1º Fundamentos de Matemáticas: Examen.pdf

1 página

He publicado nuevos apuntes de 1º Fundamentos de Matemáticas: Test-de-matematicasexamen-ordinario-2223.pdf

16 páginas

He publicado nuevos test de 1º Fundamentos de Matemáticas: testcalculo3dic2021.pdf

3 páginas

He publicado nuevos examenes de 1º Fundamentos de Matemáticas: examencalculo3dic2021.pdf

1 página

He publicado nuevos examenes de 1º Fundamentos de Matemáticas: examenalgebra3mayo2023.pdf

2 páginas

He publicado nuevos examenes de 1º Fundamentos de Matemáticas: pruebaalgebra.pdf

1 página

apuntes

-

Apuntes Fundamentos

He publicado nuevos apuntes de 1º Fundamentos de Matemáticas: Apuntes Fundamentos

Parte1_CalculoDiferencial.pdf
Parte2_CalculoIntegral.pdf
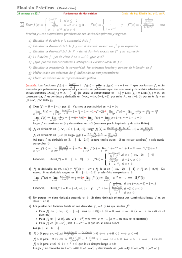
Exa-Ord_10pt_15-16_Resolucion (1).pdf
Parte4_AlgebraLineal.pdf
Documento-de-El-Rey-de-la-Baraja.pdf

apuntes

-

Temas 7-10

He publicado nuevos apuntes de 1º Fundamentos de Matemáticas: Temas 7-10

Espacios-euclideos.pdf
Formas-cuadraticas.pdf
Aplicaciones-lineales.pdf
Diagonalizacion.pdf

apuntes

-

Tema 6

He publicado nuevos apuntes de 1º Fundamentos de Matemáticas: Tema 6

Subespacios-Vectoriales.pdf
Espacios-Vectoriales.pdf

apuntes

-

Tema 5

He publicado nuevos apuntes de 1º Fundamentos de Matemáticas: Tema 5

Matrices.pdf
Problemas.pdf
Determinantes.pdf
Sistemas-Lineales.pdf

He publicado nuevos apuntes de 1º Fundamentos de Matemáticas: Prueba-1.pdf

1 página

He publicado nuevos apuntes de 1º Fundamentos de Matemáticas: Test-Matematicas.pdf

13 páginas

examenes

-

Exámenes Resueltos

He publicado nuevos examenes de 1º Fundamentos de Matemáticas: Exámenes Resueltos

Parcial2014 F. matemáticas resuelto.pdf
unidos tt en orden.pdf
Fund_ExO_14-15_Enu.pdf
Exa-Ord_10pt_15-16_Enunciado.pdf
Examen algebra lineal.pdf
Fund_ExP_Calculo_13-14_OpS_Enu.pdf

examenes

-

Exámenes resueltos 2013-2018

He publicado nuevos examenes de 1º Fundamentos de Matemáticas: Exámenes resueltos 2013-2018

Examen-Ordinario_16-17_Resolucion.pdf
Examen-Ordinario_17-18_Resolucion.pdf
Exa-Ord_10pt_15-16_Resolucion.pdf
Fund_ExO_14-15_Sol.pdf
Fund_ExP_Calculo_13-14_OpC_Sol.pdf
Fund_ExP_Calculo_13-14_OpS_Sol.pdf

examenes

-

Exámenes resueltos 2011 a 2017

He publicado nuevos examenes de 1º Fundamentos de Matemáticas: Exámenes resueltos 2011 a 2017

Examen-Ordinario_16-17_Resolucion.pdf
Exa-Ord_10pt_15-16_Resolucion.pdf
ExP1-ITI-Mat1_11-12_Sol.pdf
Fund_ExO_14-15_Sol.pdf
Fund_ExP_Calculo_13-14_OpC_Sol.pdf
Fund_ExP_Calculo_14-15_Sol.pdf
¡Estás al día!

¡Estás al día!

Has visto todos los archivos