Fundamentos de Mecánica

chevron_left
chevron_right
Todo
Apuntes
chevron_left
chevron_right

He publicado nuevos apuntes de 1º Fundamentos de Mecánica: Resumen-Fundamentos-de-mecanica.pdf

12 páginas

He publicado nuevos apuntes de 1º Fundamentos de Mecánica: Tema-4-Sistemas-de-particulas.pdf

17 páginas

He publicado nuevos apuntes de 1º Fundamentos de Mecánica: Tema-3-Trabajo-y-Energia.pdf

4 páginas

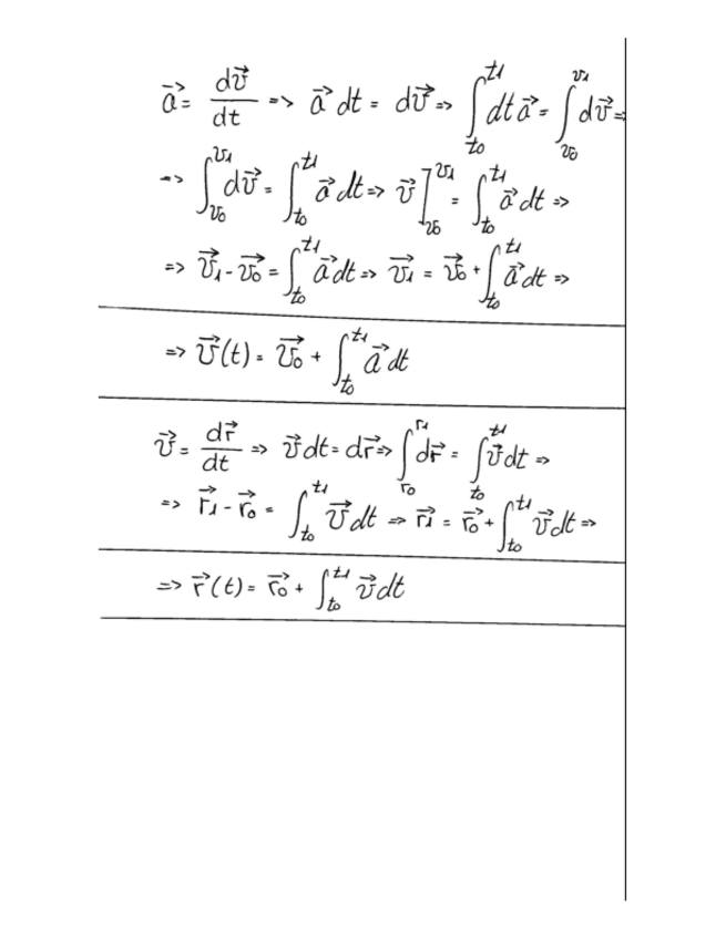
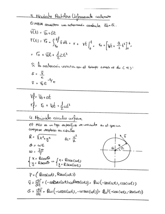
He publicado nuevos apuntes de 1º Fundamentos de Mecánica: Tema-1-Cinematica.pdf

4 páginas

He publicado nuevos apuntes de 1º Fundamentos de Mecánica: Tema-2-Dinamica.pdf

9 páginas
¡Estás al día!

¡Estás al día!

Has visto todos los archivos