chevron_left
chevron_right
Todo
Apuntes
Ejercicios
Exámenes
publication
Test
chevron_left
chevron_right

test de teoria examen resuelto

16 páginas

Test de teoría ordinario 24/25

17 páginas

Este fue el segundo examen de prácticas 24/25 Nota: 9.75

3 páginas

He publicado nuevos apuntes de 1º Fundamentos de Programación II: CURSO-ENTERO-JAVA.pdf

13 páginas

Exámenes JAVA

Buenas, Podéis subir los exámenes de Java que cuelgan en el campus virtual en inglés? En esa carpeta faltan los del año 2015/16 en inglés y todos los extraordinarios… Se agradecería Un saludo

He publicado nuevos apuntes de 1º Fundamentos de Programación II: Apuntes.zip

Miniatura no disponible
zip

apuntes

-

FUNDAMENTOS DE LA PROGRAMACION II

He publicado nuevos apuntes de 1º Fundamentos de Programación II: FUNDAMENTOS DE LA PROGRAMACION II

APUNTES-PROGRAMACION-ORIENTADA-A-OBJETOS.pdf

He publicado nuevos apuntes de 1º Fundamentos de Programación II: APUNTES-PARA-TEST-ORDINARIO.pdf

6 páginas

examenes

-

EXAMEN SEGUNDO PARCIAL 2022/2023 - TEORIA Y PRACTICA

He publicado nuevos examenes de 1º Fundamentos de Programación II: EXAMEN SEGUNDO PARCIAL 2022/2023 - TEORIA Y PRACTICA

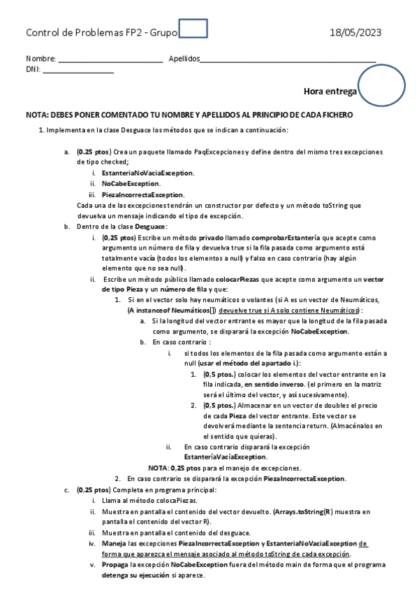
ControlProblemas2.pdf
ControlPracticas2.pdf
Miniatura no disponible
EsqueletoControlProblemas2.zip
Miniatura no disponible
EsqueletoControlPracticas2.zip

ejercicios

-

EJERCICIO EJEMPLO SEGUNDO PARCIAL

He publicado nuevos ejercicios de 1º Fundamentos de Programación II: EJERCICIO EJEMPLO SEGUNDO PARCIAL

Caso-Practico-Libreria.pdf
Miniatura no disponible
SolucionCasoPracticoLibreria.zip
Miniatura no disponible
Ejercicio6v2-3.zip
Miniatura no disponible
Solucion-Ejercicio-Inmobiliaria-2.zip
ControlProblemasGC2-IMMOBILIARIA.pdf

examenes

-

EXAMEN PRIMER PARCIAL 2022/2023 - TEORIA Y PRACTICA

He publicado nuevos examenes de 1º Fundamentos de Programación II: EXAMEN PRIMER PARCIAL 2022/2023 - TEORIA Y PRACTICA

ControlProblemas-1-2022-2023.pdf
ControlPracticas-1-2022-2023.pdf
Miniatura no disponible
SolucionControlProblemas.zip
ESQUELTO-CONTROL-PRACTICAS.pdf

apuntes

-

Teoría

Curso 2017-2018

FPII-1718-lesson4-slides.pdf
Anónimo

@Anónimo

He publicado nuevos examenes de 1º Fundamentos de Programación II: ORDINARIOS-Y-EXTRAORDINARIOS.pdf

11 páginas

apuntes

-

Temas FP II

He publicado nuevos apuntes de 1º Fundamentos de Programación II: Temas FP II

1.pdf

apuntes

-

Anexos FP II

He publicado nuevos apuntes de 1º Fundamentos de Programación II: Anexos FP II

AnexoII.pdf
AnexoVI.pdf
AnexoIII.pdf
AnexoI.pdf
AnexoV.pdf
Anónimo

@Anónimo

apuntes

-

Soluciones Test Ejemplos - Ordinario

He publicado nuevos apuntes de 1º Fundamentos de Programación II: Soluciones Test Ejemplos - Ordinario

Solucion-Test-Ejemplo-2.pdf
Solucion-Test-Ejemplo.pdf

apuntes

-

Memoria Trabajo

He publicado nuevos apuntes de 1º Fundamentos de Programación II: Memoria Trabajo

B1BurgosOrtegaJorgeMemoria.pdf
EnunciadoProyectoPractico2122.pdf

He publicado nuevos apuntes de 1º Fundamentos de Programación II: Cuestiones.pdf

5 páginas

He publicado nuevos apuntes de 1º Fundamentos de Programación II: EjercicioSolucion.pdf

8 páginas

He publicado nuevos apuntes de 1º Fundamentos de Programación II: enunciadoexamenFPIITAextraord2021soluciones-1.pdf

6 páginas

apuntes

-

Talavera de la Reina (Iván) (2020-21)

He publicado nuevos apuntes de 1º Fundamentos de Programación II: Talavera de la Reina (Iván) (2020-21)

ModificadoresAccesoJava.pdf
Anónimo

@Anónimo

examenes

-

Examenes - JAVA

He publicado nuevos examenes de 1º Fundamentos de Programación II: Examenes - JAVA

1011Control1.pdf
1112Control2.pdf
1213Control3.pdf
1112Control1.pdf
1617Control1.pdf
1011Control2.pdf

He publicado nuevos apuntes de 1º Fundamentos de Programación II: Macrorresumen MP.pdf

34 páginas
¡Estás al día!

¡Estás al día!

Has visto todos los archivos