Todo
Apuntes
Ejercicios
Exámenes
Otros
Prácticas
Test
chevron_left
chevron_right

examenes

-

Problemas Segundo Parcial

He publicado nuevos examenes de 3º Fundamentos de Propulsión: Problemas Segundo Parcial

Boletin-de-problemas-TH.pdf
PROBLEMAS-DE-EXAMEN-HELICES.pdf
PROBLEMAS-DE-EXAMEN-MC.pdf
PROBLEMAS-EXAMEN-TH.pdf

examenes

-

Problemas Primer Parcial

Boletines y exámenes resueltos

Boletin-TURBORREACTORES-CON-POSTCOMBUSTOR.pdf
Boletin-TURBORREACTORES.pdf
Problemas-de-boletin-TURBOFAN.pdf
Problemas-de-EXAMEN-de-TURBOFAN.pdf

He publicado nuevos examenes de 3º Fundamentos de Propulsión: Examen-sep-24.pdf

3 páginas

He publicado nuevos examenes de 3º Fundamentos de Propulsión: Examen-enero-24.pdf

5 páginas

He publicado nuevos examenes de 3º Fundamentos de Propulsión: Examen-junio-24.pdf

5 páginas

He publicado nuevos examenes de 3º Fundamentos de Propulsión: Examen-febrero-22.pdf

5 páginas

He publicado nuevos examenes de 3º Fundamentos de Propulsión: Examen-enero-23.pdf

5 páginas

He publicado nuevos examenes de 3º Fundamentos de Propulsión: Examen-junio-22.pdf

5 páginas

apuntes

-

Problemas Parcial 1

Problemas de hélices y toberas (Campus Virtual)

problemastoberas.pdf
problemashelices.pdf

He publicado nuevos ejercicios de 3º Fundamentos de Propulsión: Problemastoberasy-difusores2.pdf

13 páginas

He publicado nuevos ejercicios de 3º Fundamentos de Propulsión: Problemastoberasy-difusores1.pdf

14 páginas

He publicado nuevos ejercicios de 3º Fundamentos de Propulsión: Problema1clasehelicesanalisisdimensionalsolucion.pdf

4 páginas

He publicado nuevos ejercicios de 3º Fundamentos de Propulsión: Problemas-Teoria-de-Froude-o-de-la-cantidad-de-movimiento.pdf

9 páginas

He publicado nuevos ejercicios de 3º Fundamentos de Propulsión: Problemasclasehelicesanalisisdimensionalsolucion.pdf

24 páginas

He publicado nuevos ejercicios de 3º Fundamentos de Propulsión: Problemas-de-clasecantidad-de-movimiento.pdf

10 páginas

He publicado nuevos ejercicios de 3º Fundamentos de Propulsión: Analisis-Dimensional-1.pdf

9 páginas

He publicado nuevos ejercicios de 3º Fundamentos de Propulsión: Analisis-Dimensional-2.pdf

8 páginas

He publicado nuevos apuntes de 3º Fundamentos de Propulsión: formulario-completo-1-parcial.pdf

2 páginas

He publicado nuevos ejercicios de 3º Fundamentos de Propulsión: problemasaerorreactores2.pdf

8 páginas

He publicado nuevos ejercicios de 3º Fundamentos de Propulsión: problemasaerorreactores1.pdf

9 páginas

He publicado nuevos apuntes de 3º Fundamentos de Propulsión: Resumen-helices.pdf

4 páginas

He publicado nuevos ejercicios de 3º Fundamentos de Propulsión: Cantidad-De-Movimiento.pdf

6 páginas

He publicado nuevos apuntes de 3º Fundamentos de Propulsión: resumenhelices.pdf

4 páginas

apuntes

-

FORMULARIOS COMPLETOS

He publicado nuevos apuntes de 3º Fundamentos de Propulsión: FORMULARIOS COMPLETOS

turbofan.pdf
turbohelice.pdf
turborreactor.pdf

Teoría 1 bloque

17 páginas

El examen de Junio del 2024 está resuelto desde la página 3 o 4

10 páginas

He publicado nuevos apuntes de 3º Fundamentos de Propulsión: Tema-5-Estatorreactores.pdf

4 páginas

Relación de problemas de cantidad de movimiento

6 páginas

Toda la teoría de hélices

14 páginas

He publicado nuevos apuntes de 3º Fundamentos de Propulsión: Difusores-Y-Toberas.pdf

12 páginas

He publicado nuevos apuntes de 3º Fundamentos de Propulsión: Tema-4-Turborreactores.pdf

5 páginas

He publicado nuevos apuntes de 3º Fundamentos de Propulsión: Tema-3-Aerorreactores.pdf

6 páginas

He publicado nuevos apuntes de 3º Fundamentos de Propulsión: Tema-1-Introduccion-a-la-propulsion.pdf

2 páginas

ejercicios

-

EJERCICIOS PROPULSION

He publicado nuevos ejercicios de 3º Fundamentos de Propulsión: EJERCICIOS PROPULSION

Ejercicios-Toberas-y-Difusores230428134629.pdf
Problema-Cohetes230111111101.pdf
P1ExamenJunio2022soluciAn221121105746.pdf
P1toberas221121102140.pdf
Problemastoberasy-difusoresclase221117105732.pdf
P1ParcialNoviembrerespuestas221120100748.pdf

He publicado nuevos apuntes de 3º Fundamentos de Propulsión: Motores-Cohete.pdf

2 páginas

He publicado nuevos apuntes de 3º Fundamentos de Propulsión: Resumen-Helices.pdf

4 páginas

He publicado nuevos apuntes de 3º Fundamentos de Propulsión: Teoria-Aerorreactores.pdf

3 páginas

He publicado nuevos examenes de 3º Fundamentos de Propulsión: TODOS-TESTS-CONVOCATORIAS-PROPULSION.pdf

25 páginas

He publicado nuevos apuntes de 3º Fundamentos de Propulsión: METODOLOGIA-RESOL-PROBLEMAS-PROPU.pdf

Miniatura no disponible
5 páginas

He publicado nuevos apuntes de 3º Fundamentos de Propulsión: Formulario-falta-anadir-motor-cohete.pdf

5 páginas

He publicado nuevos apuntes de 3º Fundamentos de Propulsión: problemas-resueltos-2-parcial.pdf

23 páginas

He publicado nuevos apuntes de 3º Fundamentos de Propulsión: problemas-resueltos-1-parcial.pdf

26 páginas

He publicado nuevos apuntes de 3º Fundamentos de Propulsión: FORMULARIO-UTIL-COMPLETO-Aerorreactores.pdf

1 página

Problemas propuestos en el Campus

12 páginas

He publicado nuevos examenes de 3º Fundamentos de Propulsión: TEST-EXAMEN-1ER-PARCIAL-20-NOV--SEGUNDO-PARCIAL-PROPULSION.pdf

23 páginas

He publicado nuevos apuntes de 3º Fundamentos de Propulsión: formulario.pdf

6 páginas

apuntes

-

problemas de examen

He publicado nuevos apuntes de 3º Fundamentos de Propulsión: problemas de examen

helices.pdf
turborreactores.pdf
turborreactores-con-postcombustor.pdf
turbohelices.pdf
turbofanes.pdf
motores-cohete.pdf

apuntes

-

Examenes de Turborreactores y otros

He publicado nuevos apuntes de 3º Fundamentos de Propulsión: Examenes de Turborreactores y otros

Estatorreactor-Julio-2020.pdf
Turborreactor--PC-Noviembre-2020.pdf
Turborreactor-Enero-2018.pdf
Turborreactor-Julio-2020.pdf

apuntes

-

Examenes de Turbofan

He publicado nuevos apuntes de 3º Fundamentos de Propulsión: Examenes de Turbofan

Turbofan-2017.pdf
Turbofan-Diciembre-2019.pdf
Turbofan-Enero-2014.pdf
Turbofan-Enero-2015.pdf
Turbofan-Enero-2021.pdf
Turbofan-Julio-2020.pdf

examenes

-

Examenes Motor Cohete

He publicado nuevos examenes de 3º Fundamentos de Propulsión: Examenes Motor Cohete

Motor-Cohete-Enero-2017.pdf
Motor-Cohete-Enero-2018.pdf
Motor-Cohete-Enero-2021.pdf
Motor-Cohete-Julio-2020.pdf

examenes

-

Examenes de helices

He publicado nuevos examenes de 3º Fundamentos de Propulsión: Examenes de helices

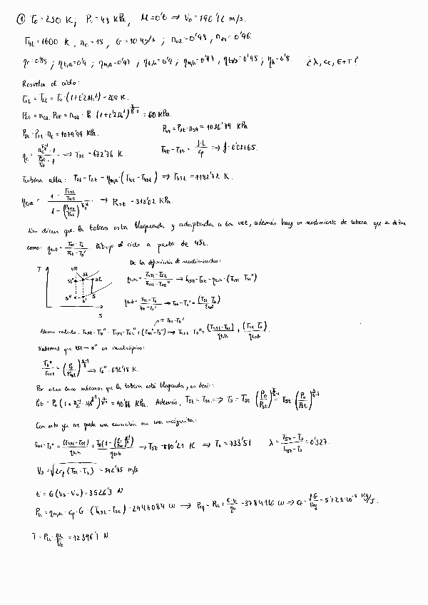
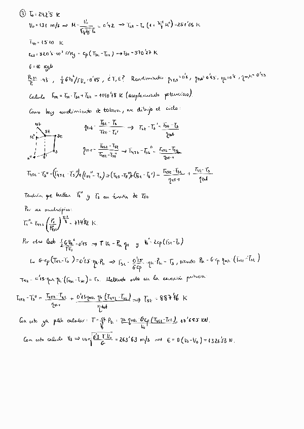
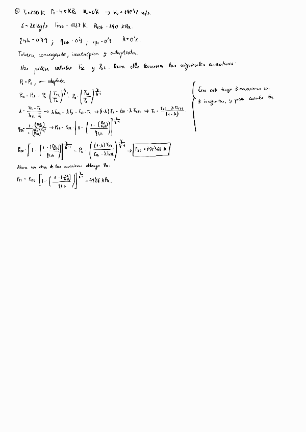
Helice-Julio-2013.pdf
Helice-Julio-2015.pdf
Helice-Julio-2020.pdf
Helice-Junio-2018.pdf
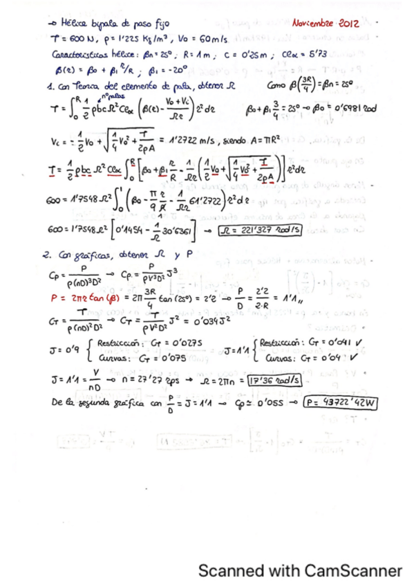
Helice-Noviembre-2012.pdf
Helice-Noviembre-2020.pdf

examenes

-

Exámenes de Turbohélices

He publicado nuevos examenes de 3º Fundamentos de Propulsión: Exámenes de Turbohélices

Problema-6-Boletin-Turbohelice.pdf
Problema-7-Boletin-Turbohelice.pdf
Turbohelice-3-07-2020.pdf
Turbohelice-Ejercicio-2-examen.pdf
Turbohelice-Enero-2015.pdf
Turbohelice-enero-2016.pdf

He publicado nuevos examenes de 3º Fundamentos de Propulsión: TESTS-PRIMER-Y-SEGUNDO-PARCIAL-PROPULSION.pdf

21 páginas

ejercicios

-

Formularios + Boletines Resueltos

He publicado nuevos ejercicios de 3º Fundamentos de Propulsión: Formularios + Boletines Resueltos

Motores-Cohete.pdf
Turbofan.pdf
Turbohelices.pdf
Turborreactores-con-PostCombustor.pdf
Turborreactores.pdf

He publicado nuevos apuntes de 3º Fundamentos de Propulsión: Boletin-TR--postcombustor-Resuelto.pdf

3 páginas

He publicado nuevos apuntes de 3º Fundamentos de Propulsión: Boletin-Turbohelices-Resuelto.pdf

5 páginas

He publicado nuevos apuntes de 3º Fundamentos de Propulsión: Boletin-Turborreactores-Resuelto.pdf

8 páginas

He publicado nuevos examenes de 3º Fundamentos de Propulsión: Problemas-Examen-Helices-Resueltos.pdf

2 páginas

He publicado nuevos examenes de 3º Fundamentos de Propulsión: MC-2parcial-enunciado-23.pdf

1 página

apuntes

-

RESUMEN

He publicado nuevos apuntes de 3º Fundamentos de Propulsión: RESUMEN

MOTORES-DE-TURBINA.pdf
SISTEMA-DE-ARRANQUE-Y-ENCENDIDO.pdf
SISTEMA-DE-COMBUSTIBLE-Y-FADEC-TURBINA.pdf
SISTEMA-DE-INDICACION-DEL-MOTOR.pdf
PRINCIPIOS-BASICOS-DEL-FUNCIONAMIENTO-DEL-MOTOR-DE-TURBINA.pdf
SISTEMA-DE-INDICADORES-MOTOR.pdf