Todo
Apuntes
Ejercicios
Exámenes
Otros
chevron_left
chevron_right

He publicado nuevos ejercicios de 1º Fundamentos de Química: Seminario-resuelto-Serie-1-Disoluciones2526.pdf.pdf

3 páginas
Anónimo

@Anónimo

apuntes

-

Formulación Orgánica 25-26

He publicado nuevos apuntes de 1º Fundamentos de Química: Formulación Orgánica 25-26

Formulacion-Organica-Apuntes.pdf
Formulacion-Organica-Examen.pdf

He publicado nuevos ejercicios de 1º Fundamentos de Química: Seminario-resuelto-Tema-12-Serie-1.pdf.pdf

2 páginas

apuntes

-

FORMULACIÓN ORGANICA

He publicado nuevos apuntes de 1º Fundamentos de Química: FORMULACIÓN ORGANICA

SEMINARIO-DE-FORMULACION-ORGANICA-SERIE-1.pdf
Seminario-1FO-1.pdf
Seminario-2FO.pdf
SEMINARIO-DE-FORMULACION-ORGANICA-SERIE-2.pdf

He publicado nuevos apuntes de 1º Fundamentos de Química: apuntes-formulacion-organica.pdf

10 páginas

He publicado nuevos ejercicios de 1º Fundamentos de Química: ejercicios-resueltos-sem-1.pdf

16 páginas

ejemplos de cada tipo de compuesto del libro

13 páginas

He publicado nuevos examenes de 1º Fundamentos de Química: examen-formulacion-organica.pdf

7 páginas

He publicado nuevos ejercicios de 1º Fundamentos de Química: Libro-nomenclatura-organica.pdf

196 páginas

apuntes

-

Formulación Inorgánica

He publicado nuevos apuntes de 1º Fundamentos de Química: Formulación Inorgánica

Nomenclatura-y-formulacion-de-Compuestos-Inorganicos.pdf
Ejercicios-Formulacion-Inorganica-con-solucion.pdf
Anónimo

@Anónimo

apuntes

-

Primer Cuatri Fundamentos de química

He publicado nuevos apuntes de 1º Fundamentos de Química: Primer Cuatri Fundamentos de química

IMG20251008203256.jpg
IMG20251008203303.jpg
IMG20251008203308.jpg
IMG20251008203318.jpg
IMG20251008203330.jpg
IMG20251008203337.jpg

He publicado nuevos apuntes de 1º Fundamentos de Química: Tema-6.-Enlace-covalente-II.pdf

3 páginas

He publicado nuevos apuntes de 1º Fundamentos de Química: Tercer-examen-de-formulacion-recuperacion-resuelto.pdf

2 páginas

Resumen de la teoría más importante para el examen con justificaciones.

4 páginas

He publicado nuevos examenes de 1º Fundamentos de Química: examen-f.organica.pdf

2 páginas
Anónimo

@Anónimo

resumen temas 3-5 para el primer parcial de fundamentos

5 páginas

He publicado nuevos apuntes de 1º Fundamentos de Química: T2-ORIGENES-DE-LA-TEORIA-CUANTICA-DEL-ATOMO.pdf.pdf

5 páginas

He publicado nuevos apuntes de 1º Fundamentos de Química: Tema-5-Enlance-covalente-I.pdf

3 páginas

He publicado nuevos apuntes de 1º Fundamentos de Química: Tema-4-Atomos-polielectronicos-y-propiedades-periodicas.pdf

3 páginas

He publicado nuevos apuntes de 1º Fundamentos de Química: Tema-3Modelo-mecanico-cuantico-del-hidrogeno.pdf

4 páginas

He publicado nuevos apuntes de 1º Fundamentos de Química: Tema-2-O4igenes-de-la-teoria-cuantica-del-atomo.pdf

5 páginas

He publicado nuevos ejercicios de 1º Fundamentos de Química: Seminario-Tema-6.pdf

6 páginas

He publicado nuevos ejercicios de 1º Fundamentos de Química: Seminario-tema-7.pdf

12 páginas

He publicado nuevos ejercicios de 1º Fundamentos de Química: seminario-tema-5.pdf

28 páginas

He publicado nuevos ejercicios de 1º Fundamentos de Química: Seminario-tema-8-parte-1-y-2.pdf

13 páginas

He publicado nuevos ejercicios de 1º Fundamentos de Química: seminario-tema-4.pdf

11 páginas

He publicado nuevos ejercicios de 1º Fundamentos de Química: seminario-tema-3.pdf

8 páginas

He publicado nuevos ejercicios de 1º Fundamentos de Química: seminario-tema-2.pdf

12 páginas

He publicado nuevos ejercicios de 1º Fundamentos de Química: seminario-tema-1.pdf

7 páginas

He publicado nuevos apuntes de 1º Fundamentos de Química: tema-8-termodinamica.pdf

4 páginas

He publicado nuevos apuntes de 1º Fundamentos de Química: Tema-7-estado-gaseoso.pdf

3 páginas

He publicado nuevos apuntes de 1º Fundamentos de Química: tema-4-enlace-ionico.pdf

9 páginas

He publicado nuevos apuntes de 1º Fundamentos de Química: tema-3-atomos-polielectronicos-y-propiedades-periodicas.pdf

8 páginas

He publicado nuevos apuntes de 1º Fundamentos de Química: tema-2-modelo-mecanocuantico-del-atomo-de-hidrogeno.pdf

5 páginas

He publicado nuevos apuntes de 1º Fundamentos de Química: tema-1-origenes-teoria-cuantica-del-atomo.pdf

7 páginas

He publicado nuevos apuntes de 1º Fundamentos de Química: apuntes-formulacion-inorganica.pdf

9 páginas

He publicado nuevos ejercicios de 1º Fundamentos de Química: formulacion-inorganica-ejercicios.pdf

8 páginas

apuntes

-

Seminarios Fundamentos de Química

He publicado nuevos apuntes de 1º Fundamentos de Química: Seminarios Fundamentos de Química

seminario-1-F.Inorganica.pdf
Seminario2-F.Inorganica.pdf
Soluciones-al-seminario-1-F.Inorganica.pdf
Soluciones-al-seminario-2-F.Inorganica.pdf
Soluciones-al-seminario-Tema-2.pdf
Soluciones-al-Seminario-del-Tema-3.-Modelo-mecano-cuantico-del-atomo-de-hidrogeno.pdf

He publicado nuevos apuntes de 1º Fundamentos de Química: Apuntes.pdf

22 páginas

He publicado nuevos apuntes de 1º Fundamentos de Química: Disoluciones.pdf

2 páginas

He publicado nuevos ejercicios de 1º Fundamentos de Química: Seminario-1-Acido-base..pdf

4 páginas

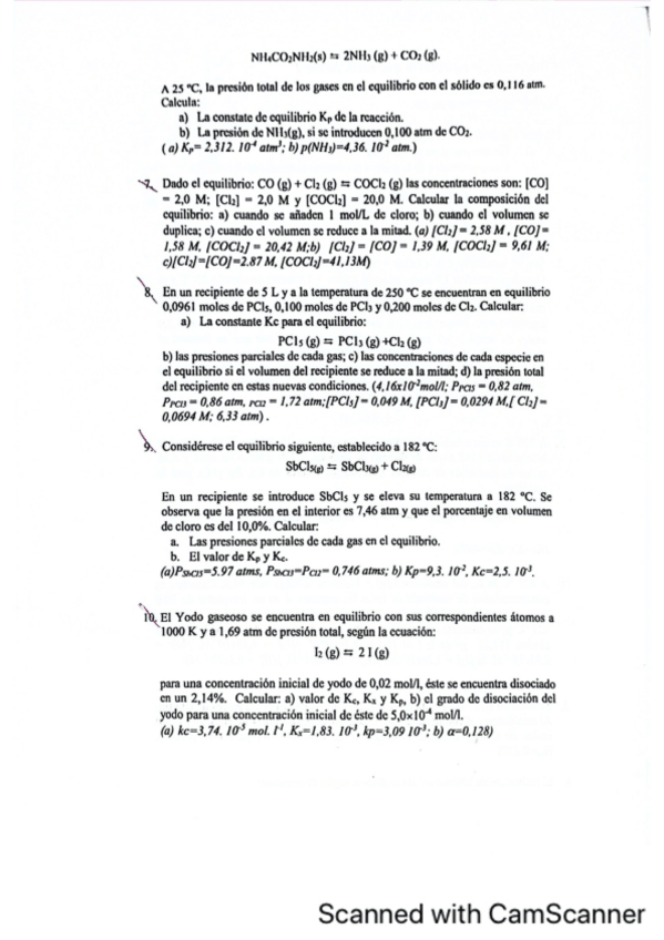
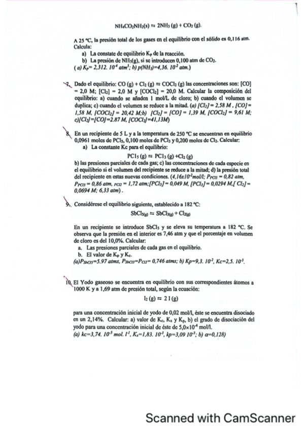
He publicado nuevos ejercicios de 1º Fundamentos de Química: Seminario-1-de-equilibrio.pdf

8 páginas

He publicado nuevos ejercicios de 1º Fundamentos de Química: Seminario-1-de-disoluciones.pdf

2 páginas

No está en blanco, hay que darle a abrir para ver los resultados.

2 páginas

He publicado nuevos ejercicios de 1º Fundamentos de Química: Seminario-2-de-precipitados.pdf

4 páginas

He publicado nuevos apuntes de 1º Fundamentos de Química: Formulacion-inorganica.pdf

4 páginas
Anónimo

@Anónimo

He publicado nuevos apuntes de 1º Fundamentos de Química: Tema-7-gases.pdf

11 páginas
Anónimo

@Anónimo

He publicado nuevos apuntes de 1º Fundamentos de Química: Tema-9-cinetica.pdf

5 páginas
Anónimo

@Anónimo

He publicado nuevos apuntes de 1º Fundamentos de Química: Tema-6-enlace-ionico-metalico-y-fuerzas.pdf

13 páginas
Anónimo

@Anónimo

He publicado nuevos apuntes de 1º Fundamentos de Química: Tema-8-termodinamica.pdf

9 páginas

primer parcial quimica 2023

2 páginas

He publicado nuevos examenes de 1º Fundamentos de Química: 2-Parcial-2-Cuatri.pdf

3 páginas

He publicado nuevos apuntes de 1º Fundamentos de Química: Teoria-tema-2-completa.pdf

6 páginas

He publicado nuevos apuntes de 1º Fundamentos de Química: Eq-precipitacioncomplejosRedox.pdf

14 páginas

He publicado nuevos apuntes de 1º Fundamentos de Química: Sem-Equilibrio-Acido-base.pdf

27 páginas

He publicado nuevos apuntes de 1º Fundamentos de Química: Sem-Equilibrio-quimico.pdf

16 páginas

He publicado nuevos apuntes de 1º Fundamentos de Química: FORMULACION-Y-NOMENCLATURA-INORGANICA.pdf

6 páginas

He publicado nuevos apuntes de 1º Fundamentos de Química: TEMA-7.pdf

2 páginas

He publicado nuevos apuntes de 1º Fundamentos de Química: TEMA-6.pdf

2 páginas

He publicado nuevos apuntes de 1º Fundamentos de Química: TEMA-5.pdf

2 páginas