Fundamentos de Química

chevron_left
chevron_right
Todo
Apuntes
Ejercicios
Exámenes
Prácticas
Trabajos
chevron_left
chevron_right

Es un resumen que hice para el examen parcial.

4 páginas

Examen de la convocatoria extraordinaria de fundamentos de química

2 páginas

apuntes

-

Resumenes previos prácticas de laboratorio

He publicado nuevos apuntes de 1º Fundamentos de Química: Resumenes previos prácticas de laboratorio

P5Q-ProcesosredoxespontaneospilasdeDaniellydeconcentracion.pdf
P4Q-Valoracionacidobase.pdf
P3Q-Entalpiadevaporizaciondelagua.pdf
P2Q-Determinaciondelaconstantedelosgases.pdf
P1Q-Preparaciondedisoluciones.pdf

trabajos

-

Resúmenes prácticas laboratorio

He publicado nuevos trabajos de 1º Fundamentos de Química: Resúmenes prácticas laboratorio

Miniatura no disponible
2o-Resumen-de-quimica.zip
2oResumendequimica.pdf
Miniatura no disponible
3o-Resumen-de-quimica.zip
3oResumendequimica.pdf
Miniatura no disponible
4o-Resumen-de-quimica.zip
4oResumendequimica.pdf

ejercicios

-

Ejercicios resueltos

He publicado nuevos ejercicios de 1º Fundamentos de Química: Ejercicios resueltos

00-Introduccion.pdf
01-Enlace.pdf
02-FIntermoleculares.pdf
03-Disoluciones.pdf
04-Termoquimica.pdf
05-Cinetica.pdf

He publicado nuevos practicas de 1º Fundamentos de Química: Preinforme-Disoluciones.pdf

4 páginas

He publicado nuevos practicas de 1º Fundamentos de Química: Preinforme-Acido-base.pdf

2 páginas

He publicado nuevos practicas de 1º Fundamentos de Química: Preinforme-Calculo-de-R.pdf

3 páginas

He publicado nuevos practicas de 1º Fundamentos de Química: Preinforme-Entalpia-vaporizacion.pdf

2 páginas

He publicado nuevos practicas de 1º Fundamentos de Química: Preinforme-Redox.pdf

3 páginas

ejercicios

-

Ejercicios cinética

He publicado nuevos ejercicios de 1º Fundamentos de Química: Ejercicios cinética

Ejercicio-3-con-teoria.pdf

ejercicios

-

Ejercicios disoluciones

He publicado nuevos ejercicios de 1º Fundamentos de Química: Ejercicios disoluciones

Ejercicios-1-11.pdf

ejercicios

-

Ejercicios Fuerzas intermoleculares

He publicado nuevos ejercicios de 1º Fundamentos de Química: Ejercicios Fuerzas intermoleculares

Ejercicios-1-11.pdf

ejercicios

-

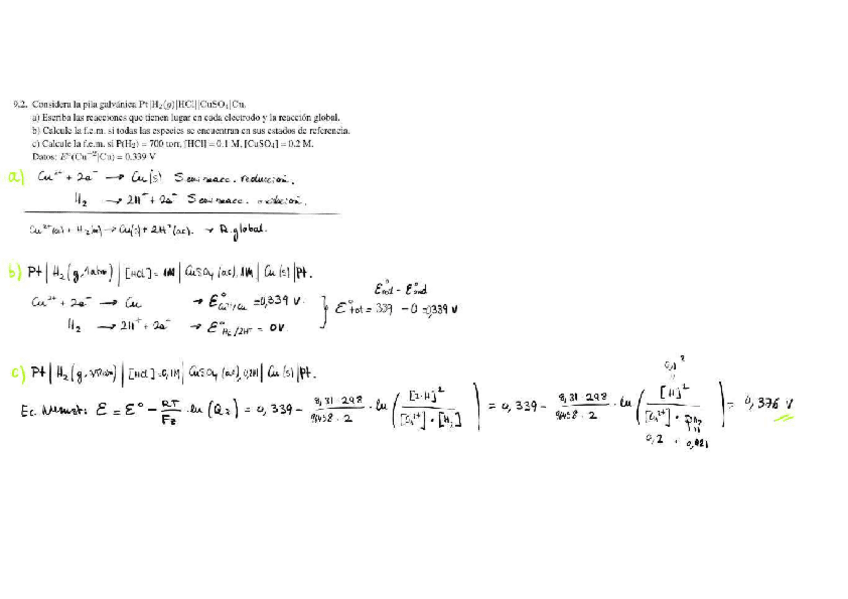
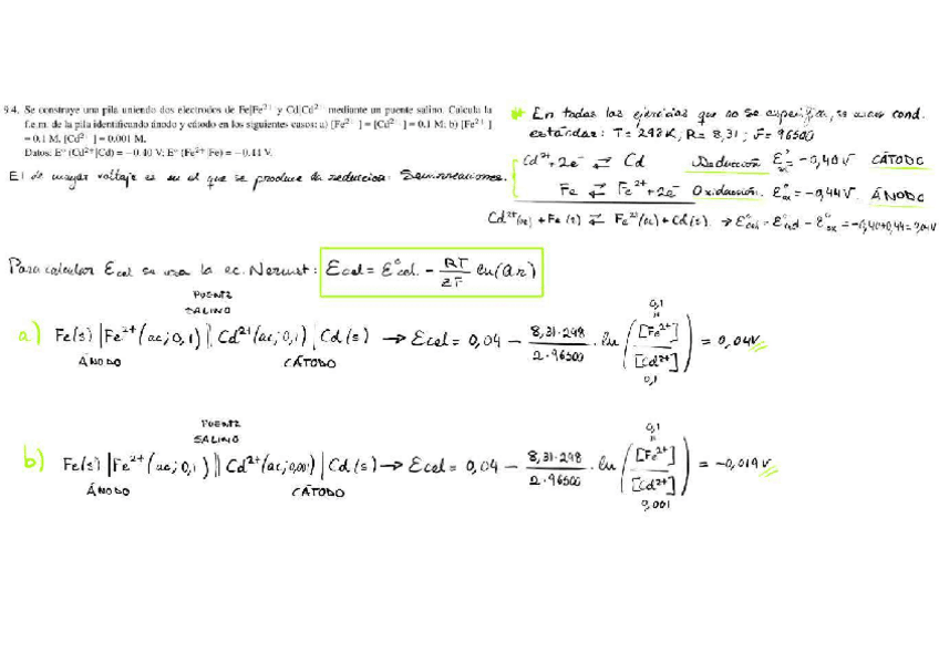
Ejercicios Redox

He publicado nuevos ejercicios de 1º Fundamentos de Química: Ejercicios Redox

Ejercicios-2-y-3.pdf
Ejercicio-4.pdf
Ejercicio-5.pdf
Ejercicio-6.pdf
Ejercicio-7.pdf
Ejercicio-8.pdf

ejercicios

-

Ejercicios solubilidad

He publicado nuevos ejercicios de 1º Fundamentos de Química: Ejercicios solubilidad

Quimitube.pdf
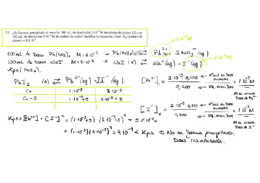
Hoja-7.8.pdf
Hoja-7.7.pdf
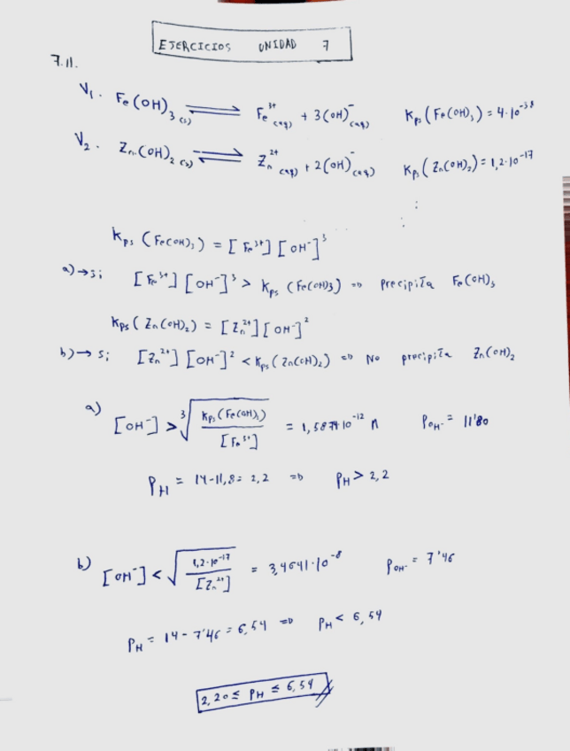
Hoja-7.6.pdf
Hoja-7.5.pdf
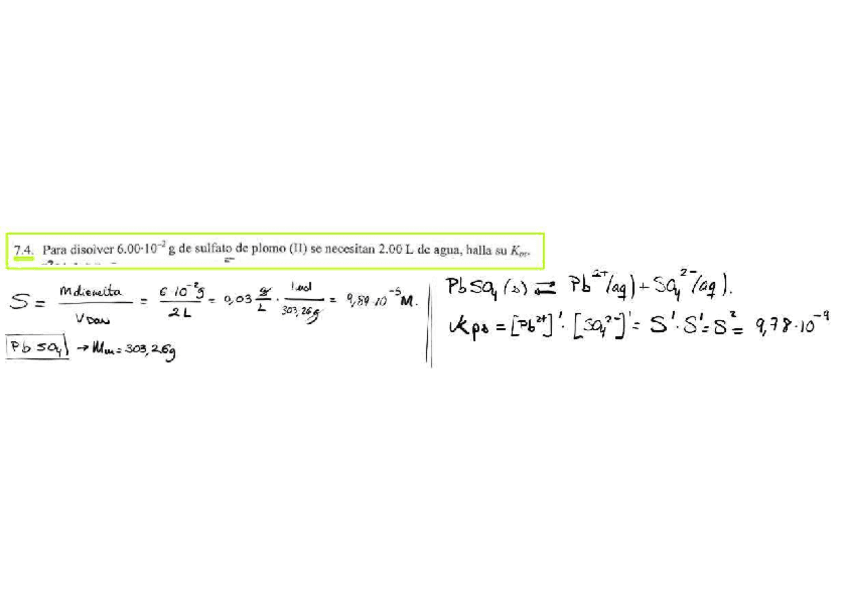
Hoja-7.4.pdf

ejercicios

-

Ejercicios Termodinámica

He publicado nuevos ejercicios de 1º Fundamentos de Química: Ejercicios Termodinámica

Ejercicio-4.3.pdf
Ejercicio-4.4.pdf
Ejercicio-4.5.pdf

ejercicios

-

Ejercicios equilibrio

He publicado nuevos ejercicios de 1º Fundamentos de Química: Ejercicios equilibrio

Ejercicio-1.pdf
Ejercicio-2.pdf
Ejercicio-3.pdf
Ejercicio-5.pdf
Ejercicio-6.pdf

ejercicios

-

Ejercicios ácido base

He publicado nuevos ejercicios de 1º Fundamentos de Química: Ejercicios ácido base

Ejercicio-2.pdf
Ejercicio-3.pdf
Ejercicio-4.pdf
Ejercicio-5.pdf
Ejercicio-6.pdf

He publicado nuevos examenes de 1º Fundamentos de Química: Correccion-parcial-1-2023-2024.pdf

9 páginas

He publicado nuevos apuntes de 1º Fundamentos de Química: Tema-9.pdf

1 página

He publicado nuevos apuntes de 1º Fundamentos de Química: Tema-8.pdf

1 página

He publicado nuevos apuntes de 1º Fundamentos de Química: Tema-7.pdf

1 página

He publicado nuevos apuntes de 1º Fundamentos de Química: Tema-6.pdf

1 página

He publicado nuevos apuntes de 1º Fundamentos de Química: Tema-4.pdf

1 página

He publicado nuevos apuntes de 1º Fundamentos de Química: Tema-3.pdf

1 página

He publicado nuevos apuntes de 1º Fundamentos de Química: Tema-2.pdf

1 página

He publicado nuevos apuntes de 1º Fundamentos de Química: Temas-0-y-1.pdf

1 página

practicas

-

Prácticas de química

Resúmenes de las cuatro prácticas de química y cálculos de todas ellas al final de los guiones

Guion-acido-base.pdf
Guion-entalpia.pdf
Guion-gases.pdf
Guion-redox.pdf
Practicas-quimica.pdf
Tabla-entalpia.xlsx

practicas

-

Resúmenes prácticas de química

He publicado nuevos practicas de 1º Fundamentos de Química: Resúmenes prácticas de química

QuimicapracticaVProcesosredoxespontaneospilasdeDanielydeconcentracion.pdf
QuimicapracticaIVValoracionacidobase.pdf
QuimicapracticaIIIEntalpiadevaporizaciondelagua.pdf
QuimicapracticaIIDeterminaciondeR.pdf
Preparaci.pdf

apuntes

-

FQ_ApuntesYEjercicios

He publicado nuevos apuntes de 1º Fundamentos de Química: FQ_ApuntesYEjercicios

FQ-Apuntes.pdf
FQ-ProblemasHoja0.pdf
FQ-ProblemasHoja1.pdf
FQ-ProblemasHoja2.pdf
FQ-ProblemasHoja3.pdf
FQ-ProblemasHoja4.pdf

He publicado nuevos apuntes de 1º Fundamentos de Química: Apuntes-quimica.pdf

18 páginas

He publicado nuevos examenes de 1º Fundamentos de Química: Examen-Quimica-Ordinaria-2021.pdf

11 páginas

ejercicios

-

Ejercicios Resueltos Fundamentos Quimica

He publicado nuevos ejercicios de 1º Fundamentos de Química: Ejercicios Resueltos Fundamentos Quimica

Resuelta-Hoja-2-Quimica.pdf
Hoja-3-Disoluciones-Quimica.pdf
Hoja-5-Cinetica-Quimica.pdf
Resuelta-Hoja-6-Quimica.pdf
Resuelta-Hoja-8-Acido-Base-Quimica.pdf

apuntes

-

Resúmenes Química

Resumen de las presentaciones de cada tema

Tema-0-Introduccion.pdf
Resumen-tema-2-Enlace.pdf
Tema-2-Fuerzas-Intermoleculares.pdf
Resumen-tema-4-Disoluciones.pdf
Temas-6-y-7-Equilibrio-quimico-y-solubilidad.pdf
Tema-5-Cinetica-quimica.pdf

practicas

-

PRÁCTICAS DE LABORATORIO - RESÚMENES Y CÁLCULOS

He publicado nuevos practicas de 1º Fundamentos de Química: PRÁCTICAS DE LABORATORIO - RESÚMENES Y CÁLCULOS

Calculo-de-la-constante-de-los-gases-ideales.pdf
Calculo-de-R.xlsx
Determinacion-de-la-Entalpia-Molar-del-Agua.xlsx

trabajos

-

RESÚMENES PRÁCTICAS DE LABORATORIO

He publicado nuevos trabajos de 1º Fundamentos de Química: RESÚMENES PRÁCTICAS DE LABORATORIO

Determinacion-de-la-Constante-de-los-Gases-Ideales.pdf
Preparacion-de-disoluciones.pdf
Procesos-Redox-Espontaneos.pdf
Valoracion-Acido-Base.pdf
Entalpia-de-Formacion-del-Agua.pdf

He publicado nuevos apuntes de 1º Fundamentos de Química: Apuntes-FQ-AIM.pdf

50 páginas

He publicado nuevos apuntes de 1º Fundamentos de Química: TODA-LA-TEORIA-PARCIAL-QUIMICA-Y-TERMODINAMICA.pdf

2 páginas

He publicado nuevos apuntes de 1º Fundamentos de Química: VALORACION-ACIDO-BASE.pdf

3 páginas

He publicado nuevos apuntes de 1º Fundamentos de Química: PROCESOS-REDOX-ESPONTANEOS.pdf

3 páginas

He publicado nuevos apuntes de 1º Fundamentos de Química: DETERMINACION-DE-LA-CONSTANTE-DE-LOS-GASES.pdf

3 páginas

He publicado nuevos apuntes de 1º Fundamentos de Química: ENTALPIA-DE-VAPORIZACION-DEL-AGUA.pdf

2 páginas

He publicado nuevos apuntes de 1º Fundamentos de Química: PRACTICA-1.-DISOLUCIONES.pdf

4 páginas
Anónimo

@Anónimo

ejercicios

-

Ejercicios Fundamentos de Química

(Selección, no al completo)

quimica-tema-1.pdf
quimica-tema-2.pdf
quimica-tema-3.pdf
quimica-tema-4.pdf
quimica-tema-5.pdf
quimica-tema-6.pdf

ejercicios

-

Ejercicios clase 19-20

He publicado nuevos ejercicios de 1º Fundamentos de Química: Ejercicios clase 19-20

QMCH0.pdf
QMCH1.pdf
QMCH3.pdf
QMCH2.pdf
QMCH4.pdf
QMCH5.pdf

ejercicios

-

Problemas Química 2022-23

He publicado nuevos ejercicios de 1º Fundamentos de Química: Problemas Química 2022-23

Problemas-Tema-0.pdf

He publicado nuevos apuntes de 1º Fundamentos de Química: Calculos-basicos-cifras-significativas.pdf

19 páginas

He publicado nuevos apuntes de 1º Fundamentos de Química: Introduccion.pdf

104 páginas

He publicado nuevos apuntes de 1º Fundamentos de Química: Estequiometria.pdf

11 páginas

He publicado nuevos apuntes de 1º Fundamentos de Química: Ejercicios-Extra-Equilibrios.pdf

5 páginas

apuntes

-

Prácticas especiales pandemia 19/20

He publicado nuevos apuntes de 1º Fundamentos de Química: Prácticas especiales pandemia 19/20

Practica-Equilibrios-Acido-Base.pdf
Practica-Procesos-Redox-espontaneos-y-no-espontaneos.pdf
Practica-1.pdf
Calculos-y-Cuestionarios-Practicas.pdf

apuntes

-

Tema 9 Curso pandemia 2019/2020

He publicado nuevos apuntes de 1º Fundamentos de Química: Tema 9 Curso pandemia 2019/2020

Tema-9.pdf
Ejercicios-Tema-9.pdf

apuntes

-

Tema 8 Curso pandemia 2019/2020

He publicado nuevos apuntes de 1º Fundamentos de Química: Tema 8 Curso pandemia 2019/2020

Ejercicios-Tema-8.pdf
Tema-8.pdf

apuntes

-

Temas 6,7 Curso pandemia 19/20

He publicado nuevos apuntes de 1º Fundamentos de Química: Temas 6,7 Curso pandemia 19/20

Ejercicios-Tema-7.pdf
Ejercicios-Tema-6.pdf
Temas-6-7.pdf

apuntes

-

Tema 5 Curso pandemia 2019/2020

He publicado nuevos apuntes de 1º Fundamentos de Química: Tema 5 Curso pandemia 2019/2020

Tema-5-F.pdf
Ejercicios-Tema-5.pdf

apuntes

-

Tema 4 Curso pandemia 2019/2020

He publicado nuevos apuntes de 1º Fundamentos de Química: Tema 4 Curso pandemia 2019/2020

Tema-4-Quimica.pdf

apuntes

-

Unidades 0-3 Curso pandemia 2019/2020

He publicado nuevos apuntes de 1º Fundamentos de Química: Unidades 0-3 Curso pandemia 2019/2020

Ejercicios-Tema-1-F.pdf
Ejercicios-de-la-Unidad-2.pdf
Temas-0-3-Quimica.pdf
Ejercicios-Tema-3.pdf

ejemplos

11 páginas
¡Estás al día!

¡Estás al día!

Has visto todos los archivos