Todo
Apuntes
Ejercicios
Exámenes
Otros
Prácticas
chevron_left
chevron_right
Anónimo

@Anónimo

Ejercicios del 5.1 al 5.70 del libro de problemas y cuestiones de química resueltos

22 páginas

apuntes

-

Parcial 2

Disoluciones tampón, solubilidad, ácido-base, formación de complejos, y redox.

Redox-2.jpg
Complejos-Redox-1.jpg
Solubilidad.jpg
Acido-base-2.jpg
Acido-base-1.jpg
Disoluciones-tampon.jpg
Anónimo

@Anónimo

Diagrama de flujo practica 6: reacciones de precipitación, determinacion de la constante de producto de solubilidad

1 página

Diagrama de flujo práctica 1

1 página
Anónimo

@Anónimo

Diagrama de flujo práctica 5

1 página

He publicado nuevos ejercicios de 1º Fundamentos de Química: Problemas-practicas.pdf

2 páginas

Resumen del tema de Redox

1 página

He publicado nuevos ejercicios de 1º Fundamentos de Química: Ejercicios-libro-resueltosSEGUNDO-PARCIAL.pdf

31 páginas

He publicado nuevos apuntes de 1º Fundamentos de Química: Diagrama-flujo-practica-4.pdf

1 página

He publicado nuevos ejercicios de 1º Fundamentos de Química: Preguntas-examen-temas-1-y-2.pdf

9 páginas

He publicado nuevos apuntes de 1º Fundamentos de Química: EJERCICIOS-PARCIAL-1-SEMINARIO-QUIMICA.pdf

4 páginas

He publicado nuevos practicas de 1º Fundamentos de Química: DIAGRAMA-DE-FLUJO-PRACTICA-4.pdf

1 página

He publicado nuevos practicas de 1º Fundamentos de Química: DIAGRAMA-DE-FLUJO-PRACTICA-3.pdf

1 página

He publicado nuevos practicas de 1º Fundamentos de Química: DIAGRAMA-DE-FLUJO-PRACTICA-2.pdf

1 página

He publicado nuevos apuntes de 1º Fundamentos de Química: TEMA-6.-EQUILIBRIOS-ACIDO-BASE.pdf

12 páginas

He publicado nuevos apuntes de 1º Fundamentos de Química: TEMA-5.-PRINCIPIOS-DEL-EQUILIBRIO.pdf

6 páginas

He publicado nuevos apuntes de 1º Fundamentos de Química: TEMA-4.-DISOLUCIONES-Y-SUS-PROPIEDADES.pdf

13 páginas

He publicado nuevos apuntes de 1º Fundamentos de Química: TEMA-3.-FUERZAS-INTERMOLECULARES.pdf

8 páginas

He publicado nuevos apuntes de 1º Fundamentos de Química: TEMA-2.-ENLACE-QUIMICO-ll.pdf

9 páginas

He publicado nuevos apuntes de 1º Fundamentos de Química: TEMA-1.-ENLACE-QUIMICO.pdf

6 páginas

He publicado nuevos ejercicios de 1º Fundamentos de Química: EJERCICIOS-SEMINARIO-PARCIAL-2.pdf

2 páginas

He publicado nuevos ejercicios de 1º Fundamentos de Química: EJERCICIOS-SEMINARIO-PARCIAL-1.pdf

4 páginas

He publicado nuevos apuntes de 1º Fundamentos de Química: Parciales-1-y-2-completo.pdf

38 páginas

He publicado nuevos practicas de 1º Fundamentos de Química: TODOS-los-informes-de-laboratorio--Practicas-2-6.pdf

12 páginas

He publicado nuevos practicas de 1º Fundamentos de Química: Informe-laboratorio-practica-6.pdf

2 páginas

He publicado nuevos practicas de 1º Fundamentos de Química: Informe-laboratorio-practica-5.pdf

2 páginas

He publicado nuevos apuntes de 1º Fundamentos de Química: Diagrama-de-flujo-6-Solubilidad.pdf

1 página

He publicado nuevos apuntes de 1º Fundamentos de Química: TODOS-los-diagramas-de-flujo.pdf

5 páginas

He publicado nuevos apuntes de 1º Fundamentos de Química: Diagrama-flujo-5-Tampones-Acido-Base.pdf

1 página

He publicado nuevos practicas de 1º Fundamentos de Química: Informe-laboratorio-practica-4.pdf

4 páginas

He publicado nuevos practicas de 1º Fundamentos de Química: Informe-laboratorio-practica-3.pdf

2 páginas

He publicado nuevos practicas de 1º Fundamentos de Química: Informe-laboratorio-practica-2.pdf

2 páginas

He publicado nuevos apuntes de 1º Fundamentos de Química: Diagrama-flujo-4-Equilibrios-Acido-Base.pdf

1 página

He publicado nuevos apuntes de 1º Fundamentos de Química: Diagrama-flujo-3-Equilibrio-quimico.pdf

1 página

He publicado nuevos apuntes de 1º Fundamentos de Química: Diagrama-de-flujo-2-Fuerzas-intermoleculares.pdf

1 página

apuntes

-

Resumenes Segundo Parcial

He publicado nuevos apuntes de 1º Fundamentos de Química: Resumenes Segundo Parcial

Tema-6-Equilibrio-Acido-Base.pdf
Tema-7-Aspectos-adicionales-del-equilibrio-acido-base.pdf
Tema-8-Equilibrios-Heterogeneos.pdf
Tema-9-Formacion-de-complejos.pdf
Tema-10-Equilibrio-redox.pdf

He publicado nuevos practicas de 1º Fundamentos de Química: Diagrama-Flujo-Practica-5.pdf

1 página

He publicado nuevos practicas de 1º Fundamentos de Química: Diagrama-Flujo-Practica-4.pdf

1 página

He publicado nuevos practicas de 1º Fundamentos de Química: Diagrama-Flujo-Practica-6.pdf

1 página

He publicado nuevos practicas de 1º Fundamentos de Química: Informe-Practica-6.pdf

2 páginas

He publicado nuevos apuntes de 1º Fundamentos de Química: ApT9EqdeFormaciomdeComplejos.pdf

3 páginas

He publicado nuevos apuntes de 1º Fundamentos de Química: ApT10RQRedox.pdf

10 páginas

He publicado nuevos apuntes de 1º Fundamentos de Química: ApT8EqHeterogeneos.pdf

6 páginas

He publicado nuevos apuntes de 1º Fundamentos de Química: ApT6EqAcBsI.pdf

15 páginas

He publicado nuevos apuntes de 1º Fundamentos de Química: ApT7DionesTampon.pdf

10 páginas

He publicado nuevos apuntes de 1º Fundamentos de Química: ApQcaT3FuerzasIntermoleculares.pdf

5 páginas

He publicado nuevos apuntes de 1º Fundamentos de Química: Tema-4Disoluciones.pdf

8 páginas

He publicado nuevos apuntes de 1º Fundamentos de Química: Tema-2EnlaceQuimico.pdf

9 páginas

practicas

-

Informes corregidos prácticas 2, 3 y 7

He publicado nuevos practicas de 1º Fundamentos de Química: Informes corregidos prácticas 2, 3 y 7

Informe-practica-2.pdf
Informe-practica-3.pdf
Informe-practica-7.pdf

apuntes

-

Diagramas de flujo de todas las practicas

He publicado nuevos apuntes de 1º Fundamentos de Química: Diagramas de flujo de todas las practicas

diagrama-de-flujo-1-Fuerzas-intermoleculares-y-punto-de-congelacionI.pdf
diagrama-de-flujo-3-Equilibrio-quimico.pdf
diagrama-de-flujo-4-Mezclas-de-acidos-y-bases.pdf
diagrama-de-flujo-5-Tampones.pdf
diagrama-de-flujo-6-Disoluciones.pdf

practicas

-

Calculos de todas las practicas para el examen de practicas

He publicado nuevos practicas de 1º Fundamentos de Química: Calculos de todas las practicas para el examen de practicas

Calculos-P3.pdf
Calculos-P4.pdf
Calculos-P5.pdf
Calculos-P6.pdf
Calculos-P2.pdf

practicas

-

Informes finales de las practicas de quimica

He publicado nuevos practicas de 1º Fundamentos de Química: Informes finales de las practicas de quimica

Practica-3.pdf
Practica-4.pdf
Practica-5.pdf
Practica-6.pdf

apuntes

-

Apuntes de fundamentos de quimica

He publicado nuevos apuntes de 1º Fundamentos de Química: Apuntes de fundamentos de quimica

TEMA-1.pdf
TEMA-3.pdf
TEMA-6.pdf
TEMA-7.pdf
TEMA-8.pdf
TEMA-9.pdf
Anónimo

@Anónimo

ejercicios

-

Ejercicios seminario parcial 2

He publicado nuevos ejercicios de 1º Fundamentos de Química: Ejercicios seminario parcial 2

Hojas-seminario-acido-base.pdf
Hojas-seminario-complejos.pdf
Hojas-seminario-equilibrios-heterogeneos.pdf
Hojas-seminario-redox.pdf
Parcial-2-hojas.pdf
Parcial-2.pdf

ejercicios

-

EJERCICIOS

He publicado nuevos ejercicios de 1º Fundamentos de Química: EJERCICIOS

Ejercicios-equilibrio-de-solubilidad-2.pdf
Ejercicios-equilibrios-de-solubilidad-1.pdf
Ejercicios-equilibrio-acio-base-2.pdf
Ejercicios-quilibrio-acido-base-1.pdf
Ejercicios-seminario-segundo-parcial-parte-2.pdf
Ejercicios-seminario-segundo-pacial-1.pdf

examenes

-

PARCIALES

He publicado nuevos examenes de 1º Fundamentos de Química: PARCIALES

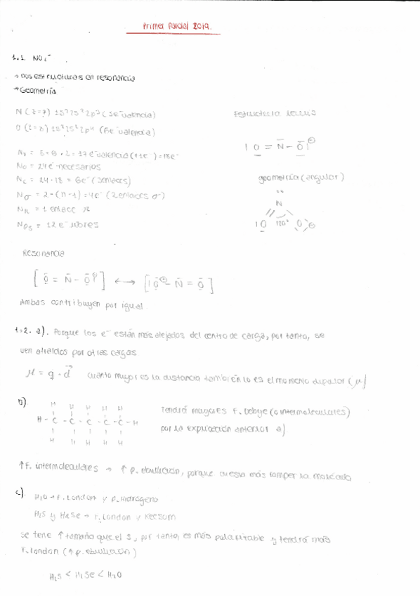
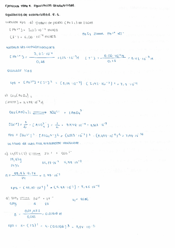
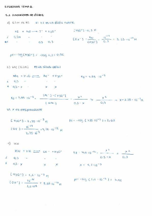
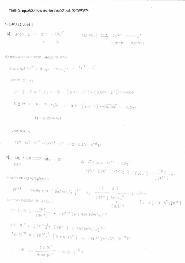
Primer-parcial-2019.pdf
Primer-parcial-2021.pdf
Primer-parcial-2022.pdf
Primer-parcial-2018.pdf
Examen-segundo-parcial-2015.pdf

He publicado nuevos apuntes de 1º Fundamentos de Química: Resumen-apuntes-segundo-parcial.pdf

11 páginas

He publicado nuevos apuntes de 1º Fundamentos de Química: Resumen-primer-parcial.pdf

10 páginas

He publicado nuevos apuntes de 1º Fundamentos de Química: Tema-8.-Equilibrios-heterogeneos.pdf

11 páginas

He publicado nuevos apuntes de 1º Fundamentos de Química: Tema-7.-Equilibrios-acido-base.pdf

9 páginas