Fundamentos de Señales y Sistemas

chevron_left
chevron_right
Todo
Apuntes
chevron_left
chevron_right

He publicado nuevos apuntes de 2º Fundamentos de Señales y Sistemas: Resum-Fourier.pdf

3 páginas

He publicado nuevos apuntes de 2º Fundamentos de Señales y Sistemas: Apunts-Fourier.pdf

18 páginas

He publicado nuevos apuntes de 2º Fundamentos de Señales y Sistemas: Resum-Fourier.pdf

2 páginas

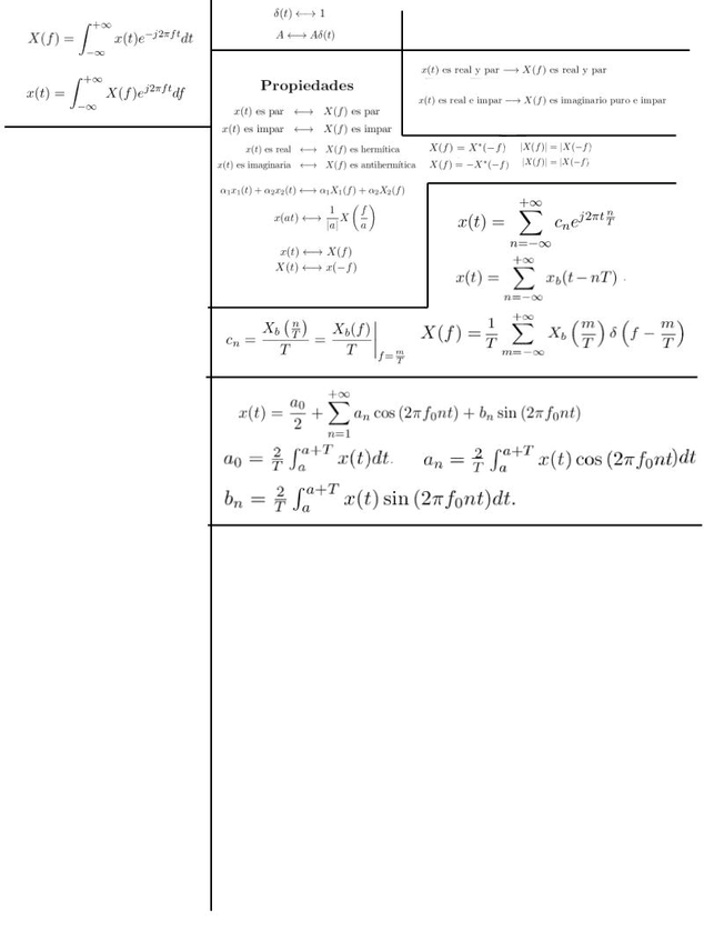
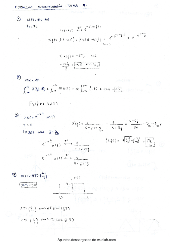
He publicado nuevos apuntes de 2º Fundamentos de Señales y Sistemas: E.Autoevaluacio-T4.pdf

3 páginas

He publicado nuevos apuntes de 2º Fundamentos de Señales y Sistemas: Resumen-Senyals-fourier.pdf

1 página
¡Estás al día!

¡Estás al día!

Has visto todos los archivos