Fundamentos del Periodismo

chevron_left
chevron_right
Todo
Apuntes
Ejercicios
Exámenes
Trabajos
chevron_left
chevron_right

examenes

-

Ejercicios de repaso

He publicado nuevos examenes de 1º Fundamentos del Periodismo: Ejercicios de repaso

Identifica-los-factores-de-noticiabiliad.pdf

apuntes

-

Temario con ejemplos

He publicado nuevos apuntes de 1º Fundamentos del Periodismo: Temario con ejemplos

Tema-1-fundamentos-del-periodismo-CON-EJEMPLOS.pdf
Tema-2-fundamentos-del-periodismo-CON-EJEMPLOS.pdf
Tema-3-de-fundamentos-CON-EJEMPLOS.pdf
Tema-4-de-fundamentos-del-periodismo-CON-EJEMPLOS.pdf
Tema-5-de-fundamentos-CON-EJEMPLOS.pdf

apuntes

-

Cosas importantes

He publicado nuevos apuntes de 1º Fundamentos del Periodismo: Cosas importantes

Clasificacion-de-fuentes-CON-EJEMPLOS.pdf
La-redaccion-en-los-mass-media-CON-EJEMPLOS.pdf

He publicado nuevos apuntes de 1º Fundamentos del Periodismo: tema-5-fundamentos.pdf

6 páginas

He publicado nuevos apuntes de 1º Fundamentos del Periodismo: tema-4-fundamentos.pdf

8 páginas

He publicado nuevos apuntes de 1º Fundamentos del Periodismo: tema-3-fundamentos.pdf

9 páginas

He publicado nuevos apuntes de 1º Fundamentos del Periodismo: 1Tema-1-fundamentos-del-periodismo.pdf

8 páginas

He publicado nuevos apuntes de 1º Fundamentos del Periodismo: tema-6-fundamentos.pdf

7 páginas

He publicado nuevos apuntes de 1º Fundamentos del Periodismo: Tema-2-Marco-Juridico-y-deontologico.pdf

11 páginas

He publicado nuevos apuntes de 1º Fundamentos del Periodismo: Tema-5-El-nuevo-ecosistema-mediatico.docx

word

He publicado nuevos apuntes de 1º Fundamentos del Periodismo: Tema-8-Periodismo-digital.docx

word

He publicado nuevos apuntes de 1º Fundamentos del Periodismo: Tema-7-Periodismo-audiovisual.docx

word

He publicado nuevos apuntes de 1º Fundamentos del Periodismo: Tema-6-El-periodismo-sonoro-pt-II.docx

word

He publicado nuevos apuntes de 1º Fundamentos del Periodismo: Tema-6-El-periodismo-sonoro-pt-I.docx

word

He publicado nuevos apuntes de 1º Fundamentos del Periodismo: Tema-3.pdf

5 páginas

He publicado nuevos apuntes de 1º Fundamentos del Periodismo: Tema-4.pdf

2 páginas

He publicado nuevos apuntes de 1º Fundamentos del Periodismo: Tema-2.pdf

6 páginas

He publicado nuevos apuntes de 1º Fundamentos del Periodismo: Tema-2-periodismo.pdf

10 páginas

He publicado nuevos apuntes de 1º Fundamentos del Periodismo: Tema-7-periodismo.pdf

6 páginas

He publicado nuevos apuntes de 1º Fundamentos del Periodismo: Tema-1-periodismo.pdf

3 páginas

He publicado nuevos apuntes de 1º Fundamentos del Periodismo: Tema-4-periodismo.pdf

4 páginas

He publicado nuevos apuntes de 1º Fundamentos del Periodismo: Tema-6-periodismo.pdf

10 páginas

He publicado nuevos apuntes de 1º Fundamentos del Periodismo: Tema-0.-Piramide-invertida.pdf.pdf

2 páginas

He publicado nuevos apuntes de 1º Fundamentos del Periodismo: Tema-5-periodismo.pdf

4 páginas

He publicado nuevos apuntes de 1º Fundamentos del Periodismo: Tema-8-periodismo.pdf

4 páginas

He publicado nuevos apuntes de 1º Fundamentos del Periodismo: Tema-3-periodismo.pdf

5 páginas

apuntes

-

BLOQUE 3 FUNDAMENTOS DEL PERIODISMO

He publicado nuevos apuntes de 1º Fundamentos del Periodismo: BLOQUE 3 FUNDAMENTOS DEL PERIODISMO

TEMA-6-FUNDAMENTOS.pdf
TEMA-7-FUNDAMENTOS.pdf
TEMA-8-FUNDAMENTOS.pdf

apuntes

-

BLOQUE 2 FUNDAMENTOS DEL PERIODISMO

He publicado nuevos apuntes de 1º Fundamentos del Periodismo: BLOQUE 2 FUNDAMENTOS DEL PERIODISMO

TEMA-3-FUNDAMENTOS.pdf
TEMA-4-FUNDAMENTOS.pdf
TEMA-5-FUNDAMENTOS.pdf

He publicado nuevos apuntes de 1º Fundamentos del Periodismo: NOTAS-FUNDAMENTOS-T8.pdf

2 páginas

He publicado nuevos apuntes de 1º Fundamentos del Periodismo: NOTAS-FUNDAMENTOS-T7.pdf

2 páginas

He publicado nuevos apuntes de 1º Fundamentos del Periodismo: NOTAS-FUNDAMENTOS-T6.pdf

2 páginas

He publicado nuevos apuntes de 1º Fundamentos del Periodismo: NOTAS-FUNDAMENTOS-T5.pdf

3 páginas

He publicado nuevos apuntes de 1º Fundamentos del Periodismo: NOTAS-FUNDAMENTOS-T4.pdf

2 páginas

apuntes

-

BLOQUE 1 FUNDAMENTOS DEL PERIODISMO

He publicado nuevos apuntes de 1º Fundamentos del Periodismo: BLOQUE 1 FUNDAMENTOS DEL PERIODISMO

T1-FUNDAMENTOS-CRITERIOS-DE-NOTICIABILIDAD.pdf
TEMA-1-FUNDAMENTOS.pdf
TEMA-2-FUNDAMENTOS.pdf

He publicado nuevos apuntes de 1º Fundamentos del Periodismo: FUNDAMNETOS-DEL-PERIODISMO.pdf

43 páginas

He publicado nuevos apuntes de 1º Fundamentos del Periodismo: Fundamentos-del-periodismo-tema-7.pdf

5 páginas

He publicado nuevos apuntes de 1º Fundamentos del Periodismo: Fundamentos-del-periodismo-tema-8.pdf

3 páginas

He publicado nuevos apuntes de 1º Fundamentos del Periodismo: Fundamentos-del-periodismo-tema-5.pdf

5 páginas

He publicado nuevos apuntes de 1º Fundamentos del Periodismo: Fundamentos-del-periodismo-tema-6.pdf

6 páginas

He publicado nuevos apuntes de 1º Fundamentos del Periodismo: Fundamentos-del-periodismo-tema-4.pdf

7 páginas

He publicado nuevos apuntes de 1º Fundamentos del Periodismo: Fundamentos-del-periodismo-tema-3.pdf

5 páginas

He publicado nuevos apuntes de 1º Fundamentos del Periodismo: Fundamentos-del-periodismo-tema-2.pdf

9 páginas

He publicado nuevos apuntes de 1º Fundamentos del Periodismo: Fundamentos-del-periodismo-tema-1.pdf

11 páginas
Anónimo

@Anónimo

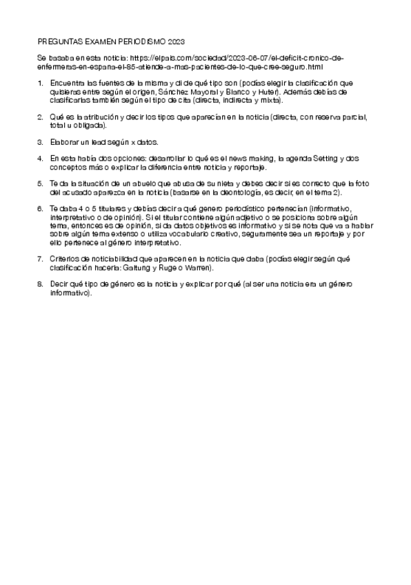
Preguntas desarrolladas de su exámen

13 páginas

apuntes

-

Fundamentos del periodismo

He publicado nuevos apuntes de 1º Fundamentos del Periodismo: Fundamentos del periodismo

BLOQUE-I-PERIODISMO-Y-MARCO-JURIDICO.docx
BLOQUE-II-datos-y-fact-cheking.docx
T3.2-PERIODISMO-DE-DATOS.docx
T4-Periodismo-tradicional-y-nuevas-formas-de-periodismo.docx
T5-El-nuevo-ecosistema-mediatico.docx
T6-LA-RADIO.docx

Temas 6 y 7 de Fundamentos del Periodismo

6 páginas

Temas 3, 4 y 5 de Fundamentos del Periodismo

8 páginas

He publicado nuevos apuntes de 1º Fundamentos del Periodismo: NOTAS-FUND-PERIOD-T3.pdf

3 páginas

He publicado nuevos apuntes de 1º Fundamentos del Periodismo: NOTAS-FUND-PERIOD-T2.pdf

4 páginas

He publicado nuevos apuntes de 1º Fundamentos del Periodismo: NOTAS-FUND-PERIOD-T1.pdf

2 páginas

He publicado nuevos apuntes de 1º Fundamentos del Periodismo: Periodismo.pdf

71 páginas

Temario completo

42 páginas

He publicado nuevos apuntes de 1º Fundamentos del Periodismo: APUNTES-desde-tema-6-8.pdf

22 páginas

apuntes

-

Fundamentos del Periodismo

Temas completos (se irán subiendo poco a poco).

Tema-1.-Construccion-periodistica-de-la-realidad.pdf
Tema-2.-Reglas-eticas-y-codigos-deontologicos.pdf
Tema-8.-Generos-de-opinion.pdf
Tema-7.-Generos-interpretativos.pdf
Tema-6.-Generos-informativos.pdf
Tema-4.-Las-fuentes.pdf

He publicado nuevos apuntes de 1º Fundamentos del Periodismo: Fundamentos del Periodismo.pdf

28 páginas

He publicado nuevos apuntes de 1º Fundamentos del Periodismo: Diferencias-titulares-generos-con-trucos.pdf

1 página

He publicado nuevos apuntes de 1º Fundamentos del Periodismo: Resumen-noticiabilidad-con-trucos.pdf

1 página

He publicado nuevos apuntes de 1º Fundamentos del Periodismo: Resumen-fuentes-con-trucos.pdf

1 página

Apuntes basados en los ppts e indicaciones de la profesora

1 página

He publicado nuevos apuntes de 1º Fundamentos del Periodismo: ERRORES-FRECUENTES-EN-LOS-MEDIOS-FUNDEU.pdf

16 páginas